Utolsó frissítés :
18/03/2026
Antibiotikum   Clindamycin phosphate  
Injekció
Az oldatok stabilitása A keverékek stabilitása Stabilitást befolyásoló tényezők Kompatibilitás Az alkalmazás módja Irodalom pdf
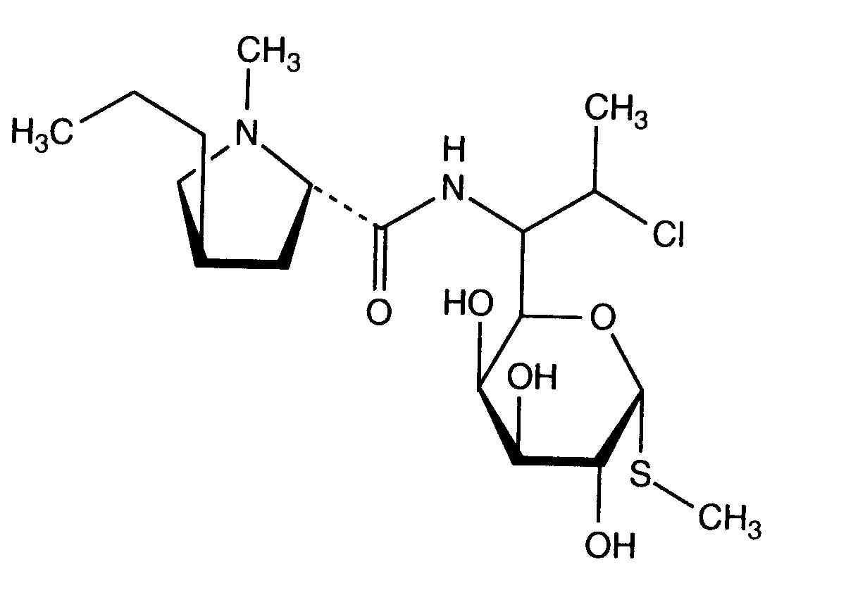
   Kémiai szerkezet   

Kereskedelmi név   Kereskedelmi név     

A kereskedelmi név meghatározó jelentőségű: a készítmények összetétele országonként, előállítóként eltérő lehet

Biodaclin Mexikó
Camyda India
Cinbiot Mexikó
Cleocin Amerikai Egyesült Államok, Ausztria, Törökország
Clinamsa Mexikó
Clinbac Colombia, Peru
Clincina Portugália
Clinda-Saar Németország
Clindacid Venezuela
Clindacin Malaysia
Clindalaf Argentína
Clindamicina Argentína, Brazília, Chile, Colombia, Ecuador, Mexikó, Olaszország, Peru, Portugália, Spanyolország, Venezuela
Clindamycin Amerikai Egyesült Államok, Ausztria, Irán, Kanada, Németország, Norvégia, Románia, Svédország, Szaúd-Arábiában
Clindamycin-Hameln Németország
Clindamycine Belgium, Franciaország, Hollandia, Tunézia
Clindanovag Argentína
Clindarix Brazília
Clindasol Németország
Clindaval Venezuela
Clindazyn Mexikó
Clindo Lengyelország
Clysvic Mexikó
Daclin Chile
Dalacin Ausztrália, Belgium, Chile, Colombia, Dánia, Ecuador, Egyesült Arab Emírségek, Egyiptom, Finnország, Görögország, Hollandia, India, Irán, Írország, Izland, Kanada, Lengyelország, Luxemburg, Magyarország, Malaysia, Mexikó, Nagy-Britannia, Norvégia, Olaszország, Svájc, Svédország, Szaúd-Arábiában, Tunézia, új-Zéland, Venezuela
Dalacine Franciaország, Tunézia
Daladic Irán
Dalcinex India
Damclid India
Damicin Colombia, Mexikó
Damicine Colombia
Dolarclin Colombia
Euroclin Colombia, Ecuador
Gynasafe India
Indamid Mexikó
Klimicin Lengyelország
Klindan Törökország
Klindaver Törökország
Lanacine Ausztria
Lincocin Malaysia
Lincosa Malaysia
Meneklin Törökország
Sobelin Németország
Tidact Malaysia
Kompatibilitás   Injekció   Kompatibilitás : Clindamycin phosphate              
Ovdje su prikazane kompatibilnosti ili nekompatibilnosti s tipom nekompatibilnosti (taloženje, promjena boje, modifikacija emulzije itd.) u ovom slučaju. Kompatibilnosti prikazane ovdje najčešće su fizikalne dok se kemijska stabilnost molekule rijetko procjenjuje. Procjena ovih mikstura je proučavana kako bi se razmotrila mogućnost primjene lijeka putem Y-mjesta. Ovi se podaci ne smiju koristiti za pripremu mikstura unaprijed u vrećicama ili štrcaljkama. Ova vrsta informacije se može pronaći u odjeljku « stabilnost u miksturama ».
Vegyület Oldószer Irodalom
Összeegyeztethető
Injekció Clindamycin phosphate 12 mg/ml
Injekció Aciclovir sodium 5 mg/ml
5% glükóz 336
Azonnali csapadék Összeegyeztethetetlen
Injekció Clindamycin phosphate 10 mg/ml
Injekció Allopurinol sodium 3 mg/ml
0,9% nátrium-klorid 307
Összeegyeztethető
Injekció Clindamycin phosphate 10 mg/ml
Injekció Amifostine 10 mg/ml
5% glükóz 3
Összeegyeztethető
Injekció Clindamycin phosphate
Injekció Amikacin sulfate
0,9% nátrium-klorid 3526
Összeegyeztethető
Injekció Clindamycin phosphate 9 mg/ml
Injekció Amikacin sulfate 4 mg/ml
0,9% nátrium-klorid 565
Összeegyeztethető
Injekció Clindamycin phosphate 9 mg/ml
Injekció Amikacin sulfate 4 mg/ml
5% glükóz 565
Összeegyeztethető
Injekció Clindamycin phosphate
Injekció Amikacin sulfate
5% glükóz 3526
Összeegyeztethető
Injekció Clindamycin phosphate 90 mg/ml
Injekció Amikacin sulfate 75 mg/ml
0,9% nátrium-klorid 639
Meghatározatlan összeférhetetlenség Összeegyeztethetetlen
Injekció Clindamycin phosphate
Injekció Aminophylline
3526
Összeegyeztethető
Injekció Clindamycin phosphate 6 mg/ml
Injekció Amiodarone hydrochloride 4 mg/ml
0,9% nátrium-klorid 385
Összeegyeztethető
Injekció Clindamycin phosphate 6 mg/ml
Injekció Amiodarone hydrochloride 4 mg/ml
5% glükóz 385
Zavarosság egy órán belül Összeegyeztethetetlen
Injekció Clindamycin phosphate 150 mg/ml
Injekció Amoxicillin sodium / clavulanic acid 100/10 mg/ml
3824
Összeegyeztethető
Injekció Clindamycin phosphate 10 mg/ml
Injekció Amphotericin B cholesteryl sulfate complex 0.83 mg/ml
5% glükóz 921
Meghatározatlan összeférhetetlenség Összeegyeztethetetlen
Injekció Clindamycin phosphate
Injekció Ampicillin sodium
3526
Összeegyeztethető
Injekció Clindamycin phosphate
5% glükóz 3526
Meghatározatlan összeférhetetlenség Összeegyeztethetetlen
Injekció Clindamycin phosphate
Injekció Amobarbital sodium
3526
Összeegyeztethető
Injekció Clindamycin phosphate 10 mg/ml
Injekció Amsacrine 1 mg/ml
5% glükóz 253
Összeegyeztethető
Injekció Clindamycin phosphate 10 mg/ml
Injekció Anidulafungin 0.5 mg/ml
5% glükóz 1982
A pH módosítása> 1 pH egység Összeegyeztethetetlen
Injekció Clindamycin phosphate 9 mg/ml
Injekció Atosiban 0,75 mg/ml
4642
Összeegyeztethető
Injekció Clindamycin phosphate 6 mg/ml
Injekció Aztreonam 10 mg/ml
5% glükóz 419
Összeegyeztethető
Injekció Clindamycin phosphate 9 mg/ml
Injekció Aztreonam 20 mg/ml
5% glükóz 432
Összeegyeztethető
Injekció Clindamycin phosphate 60 mg/ml
Injekció Aztreonam 200 mg/ml
0,9% nátrium-klorid 644
Összeegyeztethető
Injekció Clindamycin phosphate
Injekció Aztreonam
0,9% nátrium-klorid 3526
Összeegyeztethető
Injekció Clindamycin phosphate 3 mg/ml
Injekció Aztreonam 10 mg/ml
5% glükóz 419
Összeegyeztethető
Injekció Clindamycin phosphate
Injekció Aztreonam
5% glükóz 3526
Összeegyeztethető
Injekció Clindamycin phosphate 24 mg/ml
Parenterális táplálás (lipid-mentes) 3379
Azonnali csapadék Összeegyeztethetetlen
Injekció Clindamycin phosphate 30 mg/ml
Injekció Azithromycine 2 mg/ml
0,9% nátrium-klorid 1800
Összeegyeztethető
Injekció Clindamycin phosphate 3 mg/ml
Parenterális táplálás (lipid-mentes) 1055
Összeegyeztethető
Injekció Clindamycin phosphate 6 mg/ml
Injekció Aztreonam 20 mg/ml
0,9% nátrium-klorid 419
Összeegyeztethető
Injekció Clindamycin phosphate 3 mg/ml
Injekció Aztreonam 20 mg/ml
0,9% nátrium-klorid 419
Összeegyeztethető
Injekció Clindamycin phosphate 3 mg/ml
Injekció Aztreonam 20 mg/ml
5% glükóz 419
Összeegyeztethető
Injekció Clindamycin phosphate 6 mg/ml
Injekció Aztreonam 20 mg/ml
5% glükóz 419
Összeegyeztethető
Injekció Clindamycin phosphate 10 mg/ml
Injekció Aztreonam 40 mg/ml
5% glükóz 99
Összeegyeztethető
Injekció Clindamycin phosphate 3 mg/ml
Injekció Aztreonam 10 mg/ml
0,9% nátrium-klorid 419
Összeegyeztethető
Injekció Clindamycin phosphate 6 mg/ml
Injekció Aztreonam 10 mg/ml
0,9% nátrium-klorid 419
Összeegyeztethető
Injekció Clindamycin phosphate 9 mg/ml
Injekció Aztreonam 20 mg/ml
0,9% nátrium-klorid 432
Összeegyeztethető
Injekció Clindamycin phosphate 10 mg/ml
Injekció Bivalirudin 5 mg/ml
5% glükóz 1713
Összeegyeztethető
Injekció Clindamycin phosphate 150 mg/ml
Injekció Caffeine 10 mg/ml
Egy sem 3964
Meghatározatlan összeférhetetlenség Összeegyeztethetetlen
Injekció Clindamycin phosphate
Injekció Calcium gluconate
3644
Meghatározatlan összeférhetetlenség Összeegyeztethetetlen
Injekció Clindamycin phosphate
Injekció Calcium gluconate
3526
Összeegyeztethetetlen
Injekció Clindamycin phosphate
Injekció Calcium gluconate
4964
Azonnali csapadék Összeegyeztethetetlen
Injekció Clindamycin phosphate 10 mg/ml
Injekció Caspofungin acetate 0,7 mg/ml
0,9% nátrium-klorid 2247
Azonnali csapadék Összeegyeztethetetlen
Injekció Clindamycin phosphate 60 mg/ml
Injekció Caspofungin acetate 0.5 mg/ml
0,9% nátrium-klorid 2233
Összeegyeztethető
Injekció Clindamycin phosphate 9 mg/ml
Injekció Cefamandole nafate 10 mg/ml
5% glükóz 418
Összeegyeztethető
Injekció Clindamycin phosphate
Injekció Cefamandole nafate
0,9% nátrium-klorid 3526
Összeegyeztethető
Injekció Clindamycin phosphate 9 mg/ml
Injekció Cefamandole nafate 10 mg/ml
0,9% nátrium-klorid 418
Összeegyeztethető
Injekció Clindamycin phosphate
Injekció Cefamandole nafate
5% glükóz 3526
Összeegyeztethető
Injekció Clindamycin phosphate 9 mg/ml
Injekció Cefazolin sodium 10 mg/ml
0,9% nátrium-klorid 418
Összeegyeztethető
Injekció Clindamycin phosphate
Injekció Cefazolin sodium
0,9% nátrium-klorid 3526
Összeegyeztethető
Injekció Clindamycin phosphate 9 mg/ml
Injekció Cefazolin sodium 10 mg/ml
5% glükóz 418
Összeegyeztethető
Injekció Clindamycin phosphate 0,25 & 6 mg/ml
Injekció Cefepime dihydrochloride 4 & 40 mg/ml
5% glükóz 3548
Összeegyeztethető
Injekció Clindamycin phosphate 10 mg/ml
Injekció Cefiderocol sulfate tosylate 20 mg/mL
5% glükóz 4528
Összeegyeztethető
Injekció Clindamycin phosphate 12 mg/ml
Injekció Cefoperazone sodium 20 mg/ml
5% glükóz 644
Meghatározatlan összeférhetetlenség Összeegyeztethetetlen
Injekció Clindamycin phosphate
NaHCO3 3526
Összeegyeztethető
Injekció Clindamycin phosphate 12 mg/ml
Injekció Cefonicid sodium 10 mg/ml
0,9% nátrium-klorid 644
Összeegyeztethető
Injekció Clindamycin phosphate 10 mg/ml
Parenterális táplálás (lipid-mentes) 301
Összeegyeztethető
Injekció Clindamycin phosphate
Injekció Cefazolin sodium
5% glükóz 3526
Összeegyeztethető
Injekció Clindamycin phosphate 0,25 & 6 mg/ml
Injekció Cefepime dihydrochloride 4 & 40 mg/ml
0,9% nátrium-klorid 3548
Összeegyeztethető
Injekció Clindamycin phosphate 10 mg/ml
Injekció Cefiderocol sulfate tosylate 20 mg/mL
0,9% nátrium-klorid 4528
Összeegyeztethető
Injekció Clindamycin phosphate 12 mg/ml
Injekció Cefonicid sodium 10 mg/ml
5% glükóz 644
Összeegyeztethető
Injekció Clindamycin phosphate 12 mg/ml
Injekció Cefoperazone sodium 20 mg/ml
0,9% nátrium-klorid 644
Összeegyeztethető
Injekció Clindamycin phosphate 150 mg/ml
Parenterális táplálás (lipid-mentes) 999
Összeegyeztethető
Injekció Clindamycin phosphate
Injekció Cefotaxime sodium
5% glükóz 3526
Összeegyeztethető
Injekció Clindamycin phosphate 9 mg/ml
Injekció Cefotaxime sodium 20 mg/ml
5% glükóz 421
Összeegyeztethető
Injekció Clindamycin phosphate 9 mg/ml
Injekció Cefotaxime sodium 20 mg/ml
0,9% nátrium-klorid 421
Összeegyeztethető
Injekció Clindamycin phosphate
Injekció Cefotaxime sodium
0,9% nátrium-klorid 3526
Összeegyeztethető
Injekció Clindamycin phosphate
Injekció Cefoxitin sodium
0,9% nátrium-klorid 3526
Összeegyeztethető
Injekció Clindamycin phosphate 9 mg/ml
Injekció Cefoxitin sodium 20 mg/ml
5% glükóz 418
Összeegyeztethető
Injekció Clindamycin phosphate 9 mg/ml
Injekció Cefoxitin sodium 20 mg/ml
0,9% nátrium-klorid 418
Összeegyeztethető
Injekció Clindamycin phosphate
Injekció Cefoxitin sodium
5% glükóz 3526
Összeegyeztethető
Injekció Clindamycin phosphate 12 mg/ml
Injekció Cefpirome sulfate 50 mg/ml
0,9% nátrium-klorid 280
Összeegyeztethető
Injekció Clindamycin phosphate 12 mg/ml
Injekció Cefpirome sulfate 50 mg/ml
0,45% nátrium-klorid 280
Összeegyeztethető
Injekció Clindamycin phosphate 12 mg/ml
Injekció Cefpirome sulfate 50 mg/ml
5% glükóz 280
Összeegyeztethető
Injekció Clindamycin phosphate 12 mg/ml
Injekció Cefpirome sulfate 50 mg/ml
Ringer-laktát oldat 280
Összeegyeztethető
Injekció Clindamycin phosphate 10 mg/ml
Injekció Ceftaroline fosamil 2,22 mg/ml
Ringer-laktát oldat 3249
Összeegyeztethető
Injekció Clindamycin phosphate
Injekció Ceftazidime
5% glükóz 3526
Összeegyeztethető
Injekció Clindamycin phosphate 9 mg/ml
Injekció Ceftizoxime sodium 20 mg/ml
0,9% nátrium-klorid 418
Összeegyeztethető
Injekció Clindamycin phosphate
Injekció Ceftizoxime sodium
5% glükóz 3526
Összeegyeztethető
Injekció Clindamycin phosphate 10 mg/ml
Injekció Ceftobiprole medocaril sodium 2 mg/ml
0,9% nátrium-klorid 2269
Összeegyeztethető
Injekció Clindamycin phosphate 10 mg/ml
Injekció Ceftobiprole medocaril sodium 2 mg/ml
5% glükóz 2269
Összeegyeztethető
Injekció Clindamycin phosphate 10 mg/ml
Injekció Ceftobiprole medocaril sodium 2 mg/ml
Ringer-laktát oldat 2269
Összeegyeztethető
Injekció Clindamycin phosphate 5,77 mg/ml
Parenterális táplálás (lipid) 4440
Összeegyeztethető
Injekció Clindamycin phosphate 1.2 mg/ml
Injekció Cimetidine hydrochloride 1.2 & 5 mg/ml
5% glükóz 1201
Összeegyeztethető
Injekció Clindamycin phosphate 1.2 mg/ml
Injekció Cimetidine hydrochloride 1.2 & 5 mg/ml
0,9% nátrium-klorid 1201
Azonnali csapadék Összeegyeztethetetlen
Injekció Clindamycin phosphate 7 mg/ml
Injekció Ciprofloxacin lactate 1.5 mg/ml
5% glükóz 434
Összeegyeztethető
Injekció Clindamycin phosphate 10 mg/ml
Injekció Cisatracurium besylate 0.1 >> 5 mg/ml
5% glükóz 299
Összeegyeztethető
Injekció Clindamycin phosphate 150 mg/ml
Injekció Cloxacillin sodium 100 mg/ml
Injekcióhoz való víz 3012
Összeegyeztethető
Injekció Clindamycin phosphate 10 mg/ml
Injekció Docetaxel 0.9 mg/ml
5% glükóz 1754
Gázbuborékok előállítása Összeegyeztethetetlen
Injekció Clindamycin phosphate 10 mg/ml
Injekció Doxapram hydrochloride 2 mg/ml
5% glükóz 1802
Összeegyeztethető
Injekció Clindamycin phosphate 10 mg/ml
Injekció Doxorubicin hydrochloride liposome peg 0.4 mg/ml
5% glükóz 251
Összeegyeztethető
Injekció Clindamycin phosphate 9 mg/ml
Injekció Esmolol hydrochloride 10 mg/ml
5% glükóz 384
Összeegyeztethető
Injekció Clindamycin phosphate 9 mg/ml
Injekció Fentanyl citrate 50 µg/ml
5% glükóz 63
Összeegyeztethető
Injekció Clindamycin phosphate 10 mg/ml
Parenterális táplálás (lipid) 3967
Összeegyeztethető
Injekció Clindamycin phosphate 10 mg/ml
Injekció Ceftaroline fosamil 2,22 mg/ml
5% glükóz 3249
Összeegyeztethető
Injekció Clindamycin phosphate 10 mg/ml
Injekció Ceftaroline fosamil 2,22 mg/ml
0,9% nátrium-klorid 3249
Összeegyeztethető
Injekció Clindamycin phosphate 9 mg/ml
Injekció Ceftazidime 20 mg/ml
5% glükóz 432
Összeegyeztethető
Injekció Clindamycin phosphate
Injekció Ceftazidime
0,9% nátrium-klorid 3526
Összeegyeztethető
Injekció Clindamycin phosphate 9 mg/ml
Injekció Ceftazidime 20 mg/ml
0,9% nátrium-klorid 432
Összeegyeztethető
Injekció Clindamycin phosphate 10 mg/ml
Parenterális táplálás (lipid) 1415
Összeegyeztethető
Injekció Clindamycin phosphate 9 mg/ml
Injekció Ceftizoxime sodium 20 mg/ml
5% glükóz 418
Összeegyeztethető
Injekció Clindamycin phosphate
Injekció Ceftizoxime sodium
0,9% nátrium-klorid 3526
Kémiai instabilitás Összeegyeztethetetlen
Injekció Clindamycin phosphate 12 mg/ml
Injekció Ceftriaxone disodium 20 mg/ml
5% glükóz 432
Meghatározatlan összeférhetetlenség Összeegyeztethetetlen
Injekció Clindamycin phosphate
Injekció Ceftriaxone disodium
3526
Kémiai instabilitás Összeegyeztethetetlen
Injekció Clindamycin phosphate 12 mg/ml
Injekció Ceftriaxone disodium 20 mg/ml
0,9% nátrium-klorid 432
Összeegyeztethető
Injekció Clindamycin phosphate 9 mg/ml
Injekció Cefuroxime sodium 15 mg/ml
0,9% nátrium-klorid 644
Összeegyeztethető
Injekció Clindamycin phosphate 9 mg/ml
Injekció Cefuroxime sodium 15 mg/ml
5% glükóz 644
Azonnali csapadék Összeegyeztethetetlen
Injekció Clindamycin phosphate 7 mg/ml
Injekció Ciprofloxacin lactate 1.5 mg/ml
0,9% nátrium-klorid 434
Meghatározatlan összeférhetetlenség Összeegyeztethetetlen
Injekció Clindamycin phosphate
Injekció Ciprofloxacin lactate
3526
Összeegyeztethető
Injekció Clindamycin phosphate 10 mg/ml
Injekció Dexmedetomidine 4 µg/ml
0,9% nátrium-klorid 1712
Összeegyeztethető
Injekció Clindamycin phosphate 12 & 150 mg/ml
Injekció Diltiazem hydrochloride 5 mg/ml
0,9% nátrium-klorid 198
Összeegyeztethető
Injekció Clindamycin phosphate
Injekció Dimenhydrinate
2087
Összeegyeztethető
Injekció Clindamycin phosphate 9 mg/ml
Injekció Enalaprilate 0.05 mg/ml
0,9% nátrium-klorid 1315
Összeegyeztethető
Injekció Clindamycin phosphate 10 mg/ml
Injekció Etoposide phosphate 5 mg/ml
5% glükóz 1410
Összeegyeztethető
Injekció Clindamycin phosphate 10 mg/ml
Injekció Fenoldopam mesylate 80 µg/ml
0,9% nátrium-klorid 1803
Azonnali csapadék Összeegyeztethetetlen
Injekció Clindamycin phosphate 10 mg/ml
Injekció Filgrastim 30 µg/ml
5% glükóz 244
Összeegyeztethető
Injekció Clindamycin phosphate 12 mg/ml
Injekció Fluconazole 2 mg/ml
Egy sem 256
Azonnali csapadék Összeegyeztethetetlen
Injekció Clindamycin phosphate 24 mg/ml
Injekció Fluconazole 2 mg/ml
0,9% nátrium-klorid 496
Összeegyeztethető
Injekció Clindamycin phosphate 10 mg/ml
Injekció Fludarabine phosphate 1 mg/ml
5% glükóz 492
Összeegyeztethető
Injekció Clindamycin phosphate 12 mg/ml
Injekció Foscarnet sodium 24 mg/ml
5% glükóz 1135
Összeegyeztethető
Injekció Clindamycin phosphate 24 mg/ml
Injekció Foscarnet sodium 24 mg/ml
Egy sem 73
Összeegyeztethető
Injekció Clindamycin phosphate 12 mg/ml
Injekció Foscarnet sodium 24 mg/ml
0,9% nátrium-klorid 1135
Összeegyeztethető
Injekció Clindamycin phosphate 10 mg/ml
Injekció Gemcitabine hydrochloride 10 mg/ml
0,9% nátrium-klorid 1423
Összeegyeztethető
Injekció Clindamycin phosphate
Injekció Gentamicin sulfate
5% glükóz 3526
Összeegyeztethető
Injekció Clindamycin phosphate 90 mg/ml
Injekció Gentamicin sulfate 12 mg/ml
0,9% nátrium-klorid 639
Összeegyeztethető
Injekció Clindamycin phosphate 6 mg/ml
Injekció Gentamicin sulfate 0.67 mg/ml
5% glükóz 423
Összeegyeztethető
Injekció Clindamycin phosphate
Injekció Gentamicin sulfate
0,9% nátrium-klorid 3526
Összeegyeztethető
Injekció Clindamycin phosphate 10 mg/ml
Injekció Granisetron hydrochloride 0.05 mg/ml
5% glükóz 182
Összeegyeztethető
Injekció Clindamycin phosphate 12 mg/ml
Injekció Heparin sodium 50 UI/ml
Egy sem 317
Összeegyeztethető
Injekció Clindamycin phosphate 10 mg/ml
Injekció Hetastarch 60 mg/ml
egyedi oldószer 1721
Összeegyeztethető
Injekció Clindamycin phosphate 12 mg/ml
Injekció Hydromorphone hydrochloride 0.2 mg/ml
5% glükóz 405
Meghatározatlan összeférhetetlenség Összeegyeztethetetlen
Injekció Clindamycin phosphate
Injekció Idarubicin hydrochloride
3526
Azonnali csapadék Összeegyeztethetetlen
Injekció Clindamycin phosphate 12 mg/ml
Injekció Idarubicin hydrochloride 1 mg/ml
0,9% nátrium-klorid 491
Összeegyeztethető
Injekció Clindamycin phosphate 150 mg/ml
Injekció Ketamine hydrochloride 50 mg/ml
2109
Összeegyeztethető
Injekció Clindamycin phosphate 9 mg/ml
Injekció Labetalol hydrochloride 1 mg/ml
5% glükóz 386
Azonnali csapadék Összeegyeztethetetlen
Injekció Clindamycin phosphate 10 mg/ml
Injekció Lansoprazole 0.55 mg/ml
0,9% nátrium-klorid 1625
Összeegyeztethető
Injekció Clindamycin phosphate 150 mg/ml
Injekció Levofloxacine 5 mg/ml
5% glükóz 1072
Összeegyeztethető
Injekció Clindamycin phosphate 10 mg/ml
Injekció Linezolid 2 mg/ml
Egy sem 1925
Meghatározatlan összeférhetetlenség Összeegyeztethetetlen
Injekció Clindamycin phosphate
Injekció Magnesium chloride
5012
Meghatározatlan összeférhetetlenség Összeegyeztethetetlen
Injekció Clindamycin phosphate
Injekció Magnesium sulfate
3838
Összeegyeztethető
Injekció Clindamycin phosphate 12 mg/ml
Injekció Magnesium sulfate 16.67 >> 100 mg/ml
5% glükóz 1047
Meghatározatlan összeférhetetlenség Összeegyeztethetetlen
Injekció Clindamycin phosphate
Injekció Magnesium sulfate
3526
Összeegyeztethető
Injekció Clindamycin phosphate 10 mg/ml
Injekció Melphalan 0.1 mg/ml
0,9% nátrium-klorid 169
Összeegyeztethető
Injekció Clindamycin phosphate 150 mg/ml
Injekció Meropenem 50 mg/ml
Injekcióhoz való víz 4319
Meghatározatlan összeférhetetlenség Összeegyeztethetetlen
Injekció Clindamycin phosphate
Injekció Methohexital sodium
3526
Összeegyeztethető
Injekció Clindamycin phosphate 10 mg/ml
Injekció Metronidazole 5 mg/ml
Egy sem 1035
Összeegyeztethető
Injekció Clindamycin phosphate
Injekció Metronidazole
3594
Összeegyeztethető
Injekció Clindamycin phosphate 9 mg/ml
Injekció Midazolam hydrochloride 1 mg/ml
5% glükóz 176
Összeegyeztethető
Injekció Clindamycin phosphate 12 mg/ml
Injekció Morphine sulfate 1 mg/ml
5% glükóz 405
Összeegyeztethető
Injekció Clindamycin phosphate 150 mg/ml
Injekció N-acetylcysteine 200 mg/ml
Egy sem 3766
Összeegyeztethető
Injekció Clindamycin phosphate 150 mg/ml
Injekció Naloxone hydrochloride 0.4 mg/ml
Egy sem 3408
Összeegyeztethető
Injekció Clindamycin phosphate
Injekció Netilmicin sulfate
0,9% nátrium-klorid 3526
Összeegyeztethető
Injekció Clindamycin phosphate 9 mg/ml
Injekció Netilmicin sulfate 3 mg/ml
5% glükóz 421
Összeegyeztethető
Injekció Clindamycin phosphate 9 mg/ml
Injekció Netilmicin sulfate 3 mg/ml
0,9% nátrium-klorid 421
Összeegyeztethető
Injekció Clindamycin phosphate
Injekció Netilmicin sulfate
5% glükóz 3526
Összeegyeztethető
Injekció Clindamycin phosphate 9 mg/ml
Injekció Nicardipine hydrochloride 0.1 mg/ml
0,9% nátrium-klorid 1490
Összeegyeztethető
Injekció Clindamycin phosphate 9 mg/ml
Injekció Nicardipine hydrochloride 0.1 mg/ml
5% glükóz 1490
Összeegyeztethető
Injekció Clindamycin phosphate 6 mg/ml
Injekció Ofloxacin 2 mg/ml
Egy sem 889
Összeegyeztethető
Injekció Clindamycin phosphate 10 mg/ml
Injekció Ondansetron hydrochloride 1 mg/ml
0,9% nátrium-klorid 334
Csapadék 1 óra után Összeegyeztethetetlen
Injekció Clindamycin phosphate 12 mg/ml
Injekció Oritavancin 0.8 >>2 mg/ml
5% glükóz 3152
Csapadék 1 óra után Összeegyeztethetetlen
Injekció Clindamycin phosphate
Injekció Pantoprazole sodium
2090
Összeegyeztethető
Injekció Clindamycin phosphate 150 mg/ml
Injekció Paracetamol 10 mg/ml
4742
Összeegyeztethető
Injekció Clindamycin phosphate 10 mg/ml
Injekció Paracetamol 10 mg/ml
Egy sem 3571
Összeegyeztethető
Injekció Clindamycin phosphate 10 mg/ml
Injekció Pemetrexed disodium 20 mg/ml
0,9% nátrium-klorid 1953
Meghatározatlan összeférhetetlenség Összeegyeztethetetlen
Injekció Clindamycin phosphate
Injekció Pentobarbital sodium
3526
Összeegyeztethető
Injekció Clindamycin phosphate 12 mg/ml
Injekció Pethidine hydrochloride 10 mg/ml
5% glükóz 405
Meghatározatlan összeférhetetlenség Összeegyeztethetetlen
Injekció Clindamycin phosphate
Injekció Phenobarbital sodium
3526
Meghatározatlan összeférhetetlenség Összeegyeztethetetlen
Injekció Clindamycin phosphate
Injekció Phenytoin sodium
3526
Összeegyeztethető
Injekció Clindamycin phosphate 18 mg/ml
Injekció Phloroglucinol 2,5 mg/ml
3791
Összeegyeztethető
Injekció Clindamycin phosphate
Injekció Piperacillin sodium
5% glükóz 3526
Összeegyeztethető
Injekció Clindamycin phosphate
Injekció Piperacillin sodium
0,9% nátrium-klorid 3526
Összeegyeztethető
Injekció Clindamycin phosphate 9 mg/ml
Injekció Piperacillin sodium 40 mg/ml
5% glükóz 432
Összeegyeztethető
Injekció Clindamycin phosphate 9 mg/ml
Injekció Piperacillin sodium 40 mg/ml
0,9% nátrium-klorid 432
Összeegyeztethető
Injekció Clindamycin phosphate 10 mg/ml
Injekció Piperacillin sodium / tazobactam 40/5 mg/ml
5% glükóz 81
Azonnali zavarosság Összeegyeztethetetlen
Injekció Clindamycin phosphate 150 mg/ml
Injekció Salbutamol sulfate 1 mg/ml
Egy sem 3216
Meghatározatlan összeférhetetlenség Összeegyeztethetetlen
Injekció Clindamycin phosphate
Injekció Sodium bicarbonate
3526
Azonnali csapadék Összeegyeztethetetlen
Injekció Clindamycin phosphate 12 mg/ml
Injekció Temocilline 83.33 mg/ml
Injekcióhoz való víz 2231
Összeegyeztethető
Injekció Clindamycin phosphate 10 mg/ml
Injekció Teniposide 0.1 mg/ml
5% glükóz 905
Meghatározatlan összeférhetetlenség Összeegyeztethetetlen
Injekció Clindamycin phosphate
Injekció Thiopental sodium
3526
Összeegyeztethető
Injekció Clindamycin phosphate
0,9% nátrium-klorid 3526
Összeegyeztethető
Injekció Clindamycin phosphate 10 mg/ml
Injekció Propofol 10 mg/ml
Egy sem 300
Meghatározatlan összeférhetetlenség Összeegyeztethetetlen
Injekció Clindamycin phosphate
Injekció Ranitidine hydrochloride
3526
Összeegyeztethető
Injekció Clindamycin phosphate 10 mg/ml
Injekció Remifentanil hydrochloride 25 & 250 µg/ml
0,9% nátrium-klorid 59
Összeegyeztethető
Injekció Clindamycin phosphate 10 mg/ml
Injekció Sargramostim 10 µg/ml
0,9% nátrium-klorid 335
Összeegyeztethető
Injekció Clindamycin phosphate 12 mg/ml
Injekció Tacrolimus 1000 µg/ml
0,9% nátrium-klorid 479
Összeegyeztethető
Injekció Clindamycin phosphate 12 mg/ml
Injekció Theophylline 4 mg/ml
Egy sem 317
Azonnali csapadék Összeegyeztethetetlen
Injekció Clindamycin phosphate 150 mg/ml
Injekció Thiopental sodium 25 mg/ml
0,9% nátrium-klorid 3767
Összeegyeztethető
Injekció Clindamycin phosphate 10 mg/ml
Injekció Thiotepa 1 mg/ml
5% glükóz 249
Összeegyeztethető
Injekció Clindamycin phosphate
Injekció Tobramycin sulfate
0,9% nátrium-klorid 3526
Azonnali csapadék Összeegyeztethetetlen
Injekció Clindamycin phosphate 90 mg/ml
Injekció Tobramycin sulfate 12 mg/ml
0,9% nátrium-klorid 639
Összeegyeztethető
Injekció Clindamycin phosphate
Injekció Tobramycin sulfate
5% glükóz 3526
Csapadék 2 óra után Összeegyeztethetetlen
Injekció Clindamycin phosphate 6 mg/ml
Injekció Tramadol hydrochloride 0,4 mg/ml
0,9% nátrium-klorid 2002
Összeegyeztethető
Injekció Clindamycin phosphate 1.2 mg/ml
Injekció Verapamil hydrochloride 0.08 mg/ml
0,9% nátrium-klorid 1057
Összeegyeztethető
Injekció Clindamycin phosphate 1.2 mg/ml
Injekció Verapamil hydrochloride 0.08 mg/ml
5% glükóz 1057
Összeegyeztethető
Injekció Clindamycin phosphate 10 mg/ml
Injekció Vinorelbine tartrate 1 mg/ml
0,9% nátrium-klorid 84
Összeegyeztethető
Injekció Clindamycin phosphate 12 mg/ml
Injekció Zidovudine 4 mg/ml
5% glükóz 337

  Mentions Légales