Letztes “update” :
18/03/2026
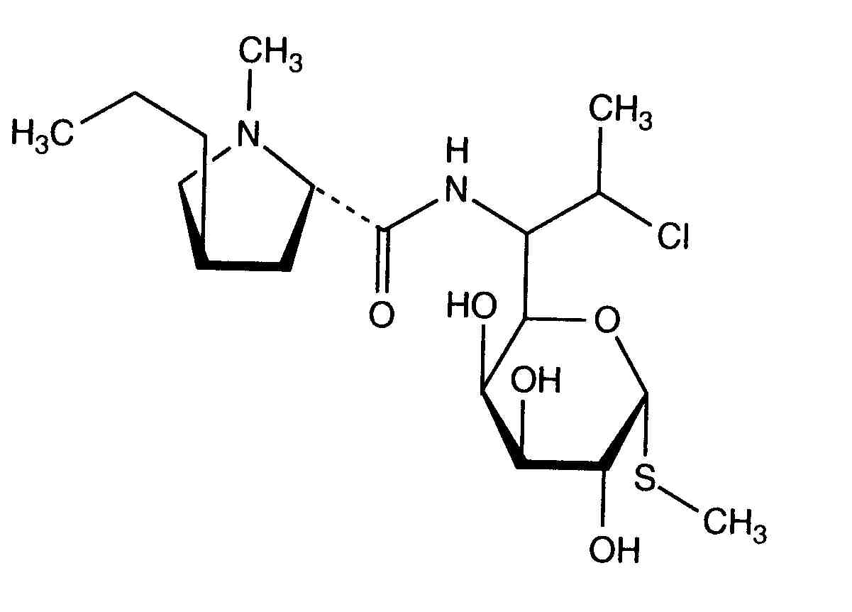
Antibiotikum   Clindamycin phosphate  
Injektion
Stabilität der Lösung Gemengestabilität Stabilitätbeeinflussende Faktoren Kompatibilitäten Applikationsart Literaturverzeichnis pdf
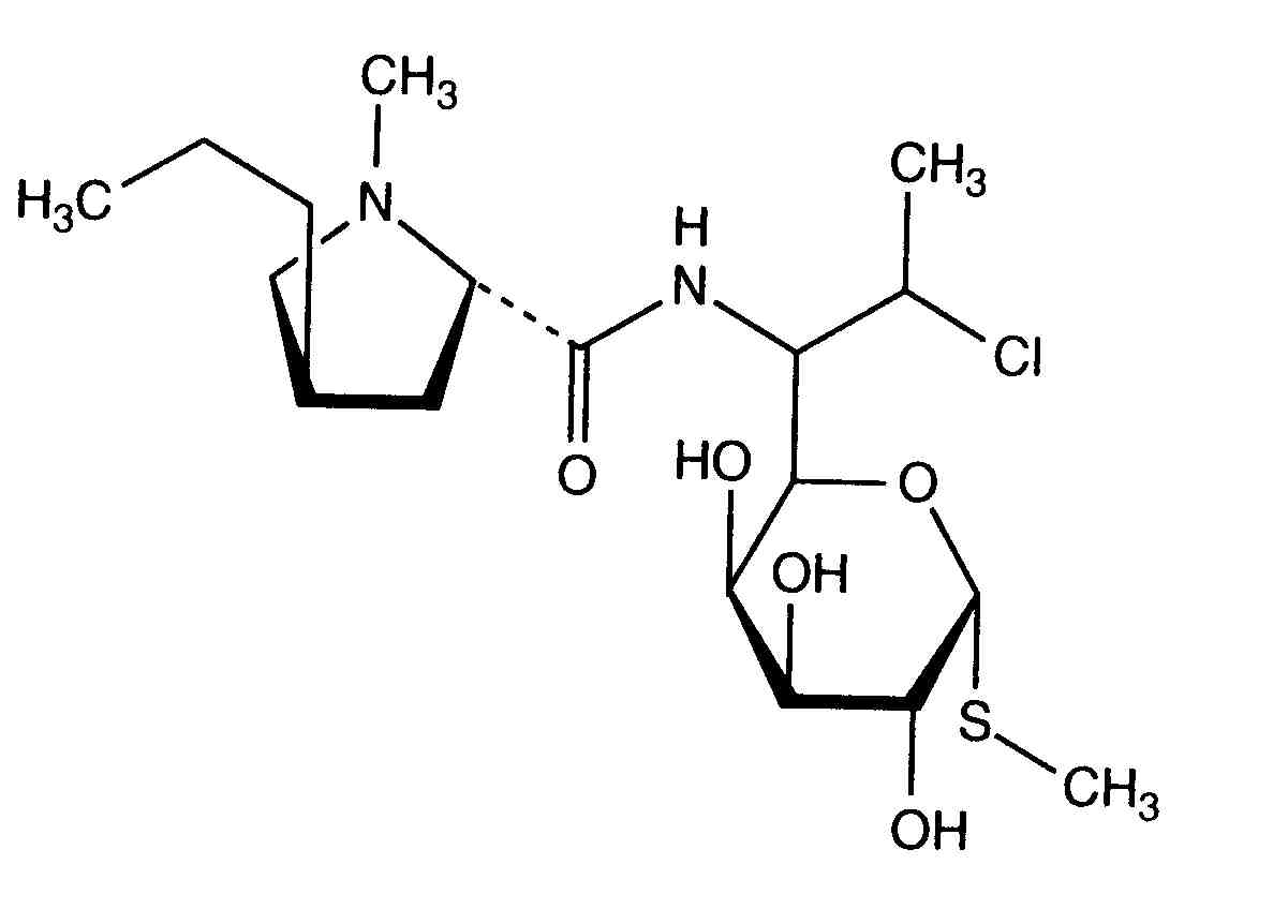
   Chemische Struktur  

Handelsmarke   Handelsmarke     

Handelsnamen sind als beispielhaft anzusehen. Sonstige Bestandteile können je nach Hersteller oder Land verschieden sein

Biodaclin Mexiko
Camyda Indien
Cinbiot Mexiko
Cleocin Österreich, Türkei, Vereinigte Staaten von Amerika
Clinamsa Mexiko
Clinbac Kolumbien, Peru
Clincina Portugal
Clinda-Saar Deutschland
Clindacid Venezuela
Clindacin Malaysia
Clindalaf Argentinien
Clindamicina Argentinien, Brasilien, Chile, Ecuador, Italien, Kolumbien, Mexiko, Peru, Portugal, Spanien, Venezuela
Clindamycin Deutschland, Iran, Kanada, Norwegen, Österreich, Rumänien, Saudi-Arabien, Schweden, Vereinigte Staaten von Amerika
Clindamycin-Hameln Deutschland
Clindamycine Belgien, Frankreich, Niederlande, Tunesien
Clindanovag Argentinien
Clindarix Brasilien
Clindasol Deutschland
Clindaval Venezuela
Clindazyn Mexiko
Clindo Polen
Clysvic Mexiko
Daclin Chile
Dalacin Ägypten, Australien, Belgien, Chile, Dänemark, Ecuador, Finnland, Griechenland, Großbritannien, Indien, Iran, Irland, Island, Italien, Kanada, Kolumbien, Luxemburg, Malaysia, Mexiko, Neuseeland, Niederlande, Norwegen, Polen, Saudi-Arabien, Schweden, Schweiz, Tunesien, Ungarn, Venezuela, Vereinigte Arabische Emirate
Dalacine Frankreich, Tunesien
Daladic Iran
Dalcinex Indien
Damclid Indien
Damicin Kolumbien, Mexiko
Damicine Kolumbien
Dolarclin Kolumbien
Euroclin Ecuador, Kolumbien
Gynasafe Indien
Indamid Mexiko
Klimicin Polen
Klindan Türkei
Klindaver Türkei
Lanacine Österreich
Lincocin Malaysia
Lincosa Malaysia
Meneklin Türkei
Sobelin Deutschland
Tidact Malaysia
Kompatibilitäten   Injektion   Kompatibilitäten : Clindamycin phosphate              
Dieser Bildschirm zeigt die Kompatibilitäten oder Inkompatibilitäten mit der Art der Inkompatibilität (hier: Ausfällung, Farbänderung, Modifikation einer Emulsion usw.) an. Die hier gezeigten Kompatibilitäten sind meist nur physikalisch, wobei die chemische Stabilität jedes Moleküls selten bewertet wird. Die Bewertung dieser Gemische wurde untersucht, um die Möglichkeit einer Verabreichung über eine Y-Verbindung zu berücksichtigen. Diese Daten können daher nicht zur Herstellung von Mischungen im Voraus in Beuteln oder Spritzen verwendet werden. Sie finden diese Informationen auf dem Bildschirm "Stabilität in Mischung».
Molekül Lösungsmittel Literaturverzeichnis
kompatibel
Injektion Clindamycin phosphate 12 mg/ml
Injektion Aciclovir sodium 5 mg/ml
5% Glucose 336
Sofortiger Niederschlag nicht kompatibel
Injektion Clindamycin phosphate 10 mg/ml
Injektion Allopurinol sodium 3 mg/ml
0,9% Natriumchlorid 307
kompatibel
Injektion Clindamycin phosphate 10 mg/ml
Injektion Amifostine 10 mg/ml
5% Glucose 3
kompatibel
Injektion Clindamycin phosphate
Injektion Amikacin sulfate
0,9% Natriumchlorid 3526
kompatibel
Injektion Clindamycin phosphate 9 mg/ml
Injektion Amikacin sulfate 4 mg/ml
0,9% Natriumchlorid 565
kompatibel
Injektion Clindamycin phosphate 9 mg/ml
Injektion Amikacin sulfate 4 mg/ml
5% Glucose 565
kompatibel
Injektion Clindamycin phosphate
Injektion Amikacin sulfate
5% Glucose 3526
kompatibel
Injektion Clindamycin phosphate 90 mg/ml
Injektion Amikacin sulfate 75 mg/ml
0,9% Natriumchlorid 639
Nicht spezifizierte Inkompatibilität nicht kompatibel
Injektion Clindamycin phosphate
Injektion Aminophylline
3526
kompatibel
Injektion Clindamycin phosphate 6 mg/ml
Injektion Amiodarone hydrochloride 4 mg/ml
0,9% Natriumchlorid 385
kompatibel
Injektion Clindamycin phosphate 6 mg/ml
Injektion Amiodarone hydrochloride 4 mg/ml
5% Glucose 385
Trübung in einer Stunde nicht kompatibel
Injektion Clindamycin phosphate 150 mg/ml
Injektion Amoxicillin sodium / clavulanic acid 100/10 mg/ml
3824
kompatibel
Injektion Clindamycin phosphate 10 mg/ml
Injektion Amphotericin B cholesteryl sulfate complex 0.83 mg/ml
5% Glucose 921
Nicht spezifizierte Inkompatibilität nicht kompatibel
Injektion Clindamycin phosphate
Injektion Ampicillin sodium
3526
kompatibel
Injektion Clindamycin phosphate
5% Glucose 3526
Nicht spezifizierte Inkompatibilität nicht kompatibel
Injektion Clindamycin phosphate
Injektion Amobarbital sodium
3526
kompatibel
Injektion Clindamycin phosphate 10 mg/ml
Injektion Amsacrine 1 mg/ml
5% Glucose 253
kompatibel
Injektion Clindamycin phosphate 10 mg/ml
Injektion Anidulafungin 0.5 mg/ml
5% Glucose 1982
Modifikation des pH> 1 pH-Einheit nicht kompatibel
Injektion Clindamycin phosphate 9 mg/ml
Injektion Atosiban 0,75 mg/ml
4642
kompatibel
Injektion Clindamycin phosphate 6 mg/ml
Injektion Aztreonam 10 mg/ml
5% Glucose 419
kompatibel
Injektion Clindamycin phosphate 9 mg/ml
Injektion Aztreonam 20 mg/ml
5% Glucose 432
kompatibel
Injektion Clindamycin phosphate 60 mg/ml
Injektion Aztreonam 200 mg/ml
0,9% Natriumchlorid 644
kompatibel
Injektion Clindamycin phosphate
Injektion Aztreonam
0,9% Natriumchlorid 3526
kompatibel
Injektion Clindamycin phosphate 3 mg/ml
Injektion Aztreonam 10 mg/ml
5% Glucose 419
kompatibel
Injektion Clindamycin phosphate
Injektion Aztreonam
5% Glucose 3526
kompatibel
Injektion Clindamycin phosphate 24 mg/ml
Parenterale Ernährung (Lipid-frei) 3379
Sofortiger Niederschlag nicht kompatibel
Injektion Clindamycin phosphate 30 mg/ml
Injektion Azithromycine 2 mg/ml
0,9% Natriumchlorid 1800
kompatibel
Injektion Clindamycin phosphate 3 mg/ml
Parenterale Ernährung (Lipid-frei) 1055
kompatibel
Injektion Clindamycin phosphate 6 mg/ml
Injektion Aztreonam 20 mg/ml
0,9% Natriumchlorid 419
kompatibel
Injektion Clindamycin phosphate 3 mg/ml
Injektion Aztreonam 20 mg/ml
0,9% Natriumchlorid 419
kompatibel
Injektion Clindamycin phosphate 3 mg/ml
Injektion Aztreonam 20 mg/ml
5% Glucose 419
kompatibel
Injektion Clindamycin phosphate 6 mg/ml
Injektion Aztreonam 20 mg/ml
5% Glucose 419
kompatibel
Injektion Clindamycin phosphate 10 mg/ml
Injektion Aztreonam 40 mg/ml
5% Glucose 99
kompatibel
Injektion Clindamycin phosphate 3 mg/ml
Injektion Aztreonam 10 mg/ml
0,9% Natriumchlorid 419
kompatibel
Injektion Clindamycin phosphate 6 mg/ml
Injektion Aztreonam 10 mg/ml
0,9% Natriumchlorid 419
kompatibel
Injektion Clindamycin phosphate 9 mg/ml
Injektion Aztreonam 20 mg/ml
0,9% Natriumchlorid 432
kompatibel
Injektion Clindamycin phosphate 10 mg/ml
Injektion Bivalirudin 5 mg/ml
5% Glucose 1713
kompatibel
Injektion Clindamycin phosphate 150 mg/ml
Injektion Caffeine 10 mg/ml
Kein 3964
Nicht spezifizierte Inkompatibilität nicht kompatibel
Injektion Clindamycin phosphate
Injektion Calcium gluconate
3644
Nicht spezifizierte Inkompatibilität nicht kompatibel
Injektion Clindamycin phosphate
Injektion Calcium gluconate
3526
nicht kompatibel
Injektion Clindamycin phosphate
Injektion Calcium gluconate
4964
Sofortiger Niederschlag nicht kompatibel
Injektion Clindamycin phosphate 10 mg/ml
Injektion Caspofungin acetate 0,7 mg/ml
0,9% Natriumchlorid 2247
Sofortiger Niederschlag nicht kompatibel
Injektion Clindamycin phosphate 60 mg/ml
Injektion Caspofungin acetate 0.5 mg/ml
0,9% Natriumchlorid 2233
kompatibel
Injektion Clindamycin phosphate 9 mg/ml
Injektion Cefamandole nafate 10 mg/ml
5% Glucose 418
kompatibel
Injektion Clindamycin phosphate
Injektion Cefamandole nafate
0,9% Natriumchlorid 3526
kompatibel
Injektion Clindamycin phosphate 9 mg/ml
Injektion Cefamandole nafate 10 mg/ml
0,9% Natriumchlorid 418
kompatibel
Injektion Clindamycin phosphate
Injektion Cefamandole nafate
5% Glucose 3526
kompatibel
Injektion Clindamycin phosphate 9 mg/ml
Injektion Cefazolin sodium 10 mg/ml
0,9% Natriumchlorid 418
kompatibel
Injektion Clindamycin phosphate
Injektion Cefazolin sodium
0,9% Natriumchlorid 3526
kompatibel
Injektion Clindamycin phosphate 9 mg/ml
Injektion Cefazolin sodium 10 mg/ml
5% Glucose 418
kompatibel
Injektion Clindamycin phosphate 0,25 & 6 mg/ml
Injektion Cefepime dihydrochloride 4 & 40 mg/ml
5% Glucose 3548
kompatibel
Injektion Clindamycin phosphate 10 mg/ml
Injektion Cefiderocol sulfate tosylate 20 mg/mL
5% Glucose 4528
kompatibel
Injektion Clindamycin phosphate 12 mg/ml
Injektion Cefoperazone sodium 20 mg/ml
5% Glucose 644
Nicht spezifizierte Inkompatibilität nicht kompatibel
Injektion Clindamycin phosphate
NaHCO3 3526
kompatibel
Injektion Clindamycin phosphate 12 mg/ml
Injektion Cefonicid sodium 10 mg/ml
0,9% Natriumchlorid 644
kompatibel
Injektion Clindamycin phosphate 10 mg/ml
Parenterale Ernährung (Lipid-frei) 301
kompatibel
Injektion Clindamycin phosphate
Injektion Cefazolin sodium
5% Glucose 3526
kompatibel
Injektion Clindamycin phosphate 0,25 & 6 mg/ml
Injektion Cefepime dihydrochloride 4 & 40 mg/ml
0,9% Natriumchlorid 3548
kompatibel
Injektion Clindamycin phosphate 10 mg/ml
Injektion Cefiderocol sulfate tosylate 20 mg/mL
0,9% Natriumchlorid 4528
kompatibel
Injektion Clindamycin phosphate 12 mg/ml
Injektion Cefonicid sodium 10 mg/ml
5% Glucose 644
kompatibel
Injektion Clindamycin phosphate 12 mg/ml
Injektion Cefoperazone sodium 20 mg/ml
0,9% Natriumchlorid 644
kompatibel
Injektion Clindamycin phosphate 150 mg/ml
Parenterale Ernährung (Lipid-frei) 999
kompatibel
Injektion Clindamycin phosphate
Injektion Cefotaxime sodium
5% Glucose 3526
kompatibel
Injektion Clindamycin phosphate 9 mg/ml
Injektion Cefotaxime sodium 20 mg/ml
5% Glucose 421
kompatibel
Injektion Clindamycin phosphate 9 mg/ml
Injektion Cefotaxime sodium 20 mg/ml
0,9% Natriumchlorid 421
kompatibel
Injektion Clindamycin phosphate
Injektion Cefotaxime sodium
0,9% Natriumchlorid 3526
kompatibel
Injektion Clindamycin phosphate
Injektion Cefoxitin sodium
0,9% Natriumchlorid 3526
kompatibel
Injektion Clindamycin phosphate 9 mg/ml
Injektion Cefoxitin sodium 20 mg/ml
5% Glucose 418
kompatibel
Injektion Clindamycin phosphate 9 mg/ml
Injektion Cefoxitin sodium 20 mg/ml
0,9% Natriumchlorid 418
kompatibel
Injektion Clindamycin phosphate
Injektion Cefoxitin sodium
5% Glucose 3526
kompatibel
Injektion Clindamycin phosphate 12 mg/ml
Injektion Cefpirome sulfate 50 mg/ml
0,9% Natriumchlorid 280
kompatibel
Injektion Clindamycin phosphate 12 mg/ml
Injektion Cefpirome sulfate 50 mg/ml
0,45% Natriumchlorid 280
kompatibel
Injektion Clindamycin phosphate 12 mg/ml
Injektion Cefpirome sulfate 50 mg/ml
5% Glucose 280
kompatibel
Injektion Clindamycin phosphate 12 mg/ml
Injektion Cefpirome sulfate 50 mg/ml
Ringer Lactat - Lösung 280
kompatibel
Injektion Clindamycin phosphate 10 mg/ml
Injektion Ceftaroline fosamil 2,22 mg/ml
Ringer Lactat - Lösung 3249
kompatibel
Injektion Clindamycin phosphate
Injektion Ceftazidime
5% Glucose 3526
kompatibel
Injektion Clindamycin phosphate 9 mg/ml
Injektion Ceftizoxime sodium 20 mg/ml
0,9% Natriumchlorid 418
kompatibel
Injektion Clindamycin phosphate
Injektion Ceftizoxime sodium
5% Glucose 3526
kompatibel
Injektion Clindamycin phosphate 10 mg/ml
Injektion Ceftobiprole medocaril sodium 2 mg/ml
0,9% Natriumchlorid 2269
kompatibel
Injektion Clindamycin phosphate 10 mg/ml
Injektion Ceftobiprole medocaril sodium 2 mg/ml
5% Glucose 2269
kompatibel
Injektion Clindamycin phosphate 10 mg/ml
Injektion Ceftobiprole medocaril sodium 2 mg/ml
Ringer Lactat - Lösung 2269
kompatibel
Injektion Clindamycin phosphate 5,77 mg/ml
Parenterale Ernährung (mit Lipiden) 4440
kompatibel
Injektion Clindamycin phosphate 1.2 mg/ml
Injektion Cimetidine hydrochloride 1.2 & 5 mg/ml
5% Glucose 1201
kompatibel
Injektion Clindamycin phosphate 1.2 mg/ml
Injektion Cimetidine hydrochloride 1.2 & 5 mg/ml
0,9% Natriumchlorid 1201
Sofortiger Niederschlag nicht kompatibel
Injektion Clindamycin phosphate 7 mg/ml
Injektion Ciprofloxacin lactate 1.5 mg/ml
5% Glucose 434
kompatibel
Injektion Clindamycin phosphate 10 mg/ml
Injektion Cisatracurium besylate 0.1 >> 5 mg/ml
5% Glucose 299
kompatibel
Injektion Clindamycin phosphate 150 mg/ml
Injektion Cloxacillin sodium 100 mg/ml
Wasser für injektable präparate 3012
kompatibel
Injektion Clindamycin phosphate 10 mg/ml
Injektion Docetaxel 0.9 mg/ml
5% Glucose 1754
Produktion von Gasblasen nicht kompatibel
Injektion Clindamycin phosphate 10 mg/ml
Injektion Doxapram hydrochloride 2 mg/ml
5% Glucose 1802
kompatibel
Injektion Clindamycin phosphate 10 mg/ml
Injektion Doxorubicin hydrochloride liposome peg 0.4 mg/ml
5% Glucose 251
kompatibel
Injektion Clindamycin phosphate 9 mg/ml
Injektion Esmolol hydrochloride 10 mg/ml
5% Glucose 384
kompatibel
Injektion Clindamycin phosphate 9 mg/ml
Injektion Fentanyl citrate 50 µg/ml
5% Glucose 63
kompatibel
Injektion Clindamycin phosphate 10 mg/ml
Parenterale Ernährung (mit Lipiden) 3967
kompatibel
Injektion Clindamycin phosphate 10 mg/ml
Injektion Ceftaroline fosamil 2,22 mg/ml
5% Glucose 3249
kompatibel
Injektion Clindamycin phosphate 10 mg/ml
Injektion Ceftaroline fosamil 2,22 mg/ml
0,9% Natriumchlorid 3249
kompatibel
Injektion Clindamycin phosphate 9 mg/ml
Injektion Ceftazidime 20 mg/ml
5% Glucose 432
kompatibel
Injektion Clindamycin phosphate
Injektion Ceftazidime
0,9% Natriumchlorid 3526
kompatibel
Injektion Clindamycin phosphate 9 mg/ml
Injektion Ceftazidime 20 mg/ml
0,9% Natriumchlorid 432
kompatibel
Injektion Clindamycin phosphate 10 mg/ml
Parenterale Ernährung (mit Lipiden) 1415
kompatibel
Injektion Clindamycin phosphate 9 mg/ml
Injektion Ceftizoxime sodium 20 mg/ml
5% Glucose 418
kompatibel
Injektion Clindamycin phosphate
Injektion Ceftizoxime sodium
0,9% Natriumchlorid 3526
Chemische Instabilität nicht kompatibel
Injektion Clindamycin phosphate 12 mg/ml
Injektion Ceftriaxone disodium 20 mg/ml
5% Glucose 432
Nicht spezifizierte Inkompatibilität nicht kompatibel
Injektion Clindamycin phosphate
Injektion Ceftriaxone disodium
3526
Chemische Instabilität nicht kompatibel
Injektion Clindamycin phosphate 12 mg/ml
Injektion Ceftriaxone disodium 20 mg/ml
0,9% Natriumchlorid 432
kompatibel
Injektion Clindamycin phosphate 9 mg/ml
Injektion Cefuroxime sodium 15 mg/ml
0,9% Natriumchlorid 644
kompatibel
Injektion Clindamycin phosphate 9 mg/ml
Injektion Cefuroxime sodium 15 mg/ml
5% Glucose 644
Sofortiger Niederschlag nicht kompatibel
Injektion Clindamycin phosphate 7 mg/ml
Injektion Ciprofloxacin lactate 1.5 mg/ml
0,9% Natriumchlorid 434
Nicht spezifizierte Inkompatibilität nicht kompatibel
Injektion Clindamycin phosphate
Injektion Ciprofloxacin lactate
3526
kompatibel
Injektion Clindamycin phosphate 10 mg/ml
Injektion Dexmedetomidine 4 µg/ml
0,9% Natriumchlorid 1712
kompatibel
Injektion Clindamycin phosphate 12 & 150 mg/ml
Injektion Diltiazem hydrochloride 5 mg/ml
0,9% Natriumchlorid 198
kompatibel
Injektion Clindamycin phosphate
Injektion Dimenhydrinate
2087
kompatibel
Injektion Clindamycin phosphate 9 mg/ml
Injektion Enalaprilate 0.05 mg/ml
0,9% Natriumchlorid 1315
kompatibel
Injektion Clindamycin phosphate 10 mg/ml
Injektion Etoposide phosphate 5 mg/ml
5% Glucose 1410
kompatibel
Injektion Clindamycin phosphate 10 mg/ml
Injektion Fenoldopam mesylate 80 µg/ml
0,9% Natriumchlorid 1803
Sofortiger Niederschlag nicht kompatibel
Injektion Clindamycin phosphate 10 mg/ml
Injektion Filgrastim 30 µg/ml
5% Glucose 244
kompatibel
Injektion Clindamycin phosphate 12 mg/ml
Injektion Fluconazole 2 mg/ml
Kein 256
Sofortiger Niederschlag nicht kompatibel
Injektion Clindamycin phosphate 24 mg/ml
Injektion Fluconazole 2 mg/ml
0,9% Natriumchlorid 496
kompatibel
Injektion Clindamycin phosphate 10 mg/ml
Injektion Fludarabine phosphate 1 mg/ml
5% Glucose 492
kompatibel
Injektion Clindamycin phosphate 12 mg/ml
Injektion Foscarnet sodium 24 mg/ml
5% Glucose 1135
kompatibel
Injektion Clindamycin phosphate 24 mg/ml
Injektion Foscarnet sodium 24 mg/ml
Kein 73
kompatibel
Injektion Clindamycin phosphate 12 mg/ml
Injektion Foscarnet sodium 24 mg/ml
0,9% Natriumchlorid 1135
kompatibel
Injektion Clindamycin phosphate 10 mg/ml
Injektion Gemcitabine hydrochloride 10 mg/ml
0,9% Natriumchlorid 1423
kompatibel
Injektion Clindamycin phosphate
Injektion Gentamicin sulfate
5% Glucose 3526
kompatibel
Injektion Clindamycin phosphate 90 mg/ml
Injektion Gentamicin sulfate 12 mg/ml
0,9% Natriumchlorid 639
kompatibel
Injektion Clindamycin phosphate 6 mg/ml
Injektion Gentamicin sulfate 0.67 mg/ml
5% Glucose 423
kompatibel
Injektion Clindamycin phosphate
Injektion Gentamicin sulfate
0,9% Natriumchlorid 3526
kompatibel
Injektion Clindamycin phosphate 10 mg/ml
Injektion Granisetron hydrochloride 0.05 mg/ml
5% Glucose 182
kompatibel
Injektion Clindamycin phosphate 12 mg/ml
Injektion Heparin sodium 50 UI/ml
Kein 317
kompatibel
Injektion Clindamycin phosphate 10 mg/ml
Injektion Hetastarch 60 mg/ml
spezifische Lösungsmittel 1721
kompatibel
Injektion Clindamycin phosphate 12 mg/ml
Injektion Hydromorphone hydrochloride 0.2 mg/ml
5% Glucose 405
Nicht spezifizierte Inkompatibilität nicht kompatibel
Injektion Clindamycin phosphate
Injektion Idarubicin hydrochloride
3526
Sofortiger Niederschlag nicht kompatibel
Injektion Clindamycin phosphate 12 mg/ml
Injektion Idarubicin hydrochloride 1 mg/ml
0,9% Natriumchlorid 491
kompatibel
Injektion Clindamycin phosphate 150 mg/ml
Injektion Ketamine hydrochloride 50 mg/ml
2109
kompatibel
Injektion Clindamycin phosphate 9 mg/ml
Injektion Labetalol hydrochloride 1 mg/ml
5% Glucose 386
Sofortiger Niederschlag nicht kompatibel
Injektion Clindamycin phosphate 10 mg/ml
Injektion Lansoprazole 0.55 mg/ml
0,9% Natriumchlorid 1625
kompatibel
Injektion Clindamycin phosphate 150 mg/ml
Injektion Levofloxacine 5 mg/ml
5% Glucose 1072
kompatibel
Injektion Clindamycin phosphate 10 mg/ml
Injektion Linezolid 2 mg/ml
Kein 1925
Nicht spezifizierte Inkompatibilität nicht kompatibel
Injektion Clindamycin phosphate
Injektion Magnesium chloride
5012
Nicht spezifizierte Inkompatibilität nicht kompatibel
Injektion Clindamycin phosphate
Injektion Magnesium sulfate
3838
kompatibel
Injektion Clindamycin phosphate 12 mg/ml
Injektion Magnesium sulfate 16.67 >> 100 mg/ml
5% Glucose 1047
Nicht spezifizierte Inkompatibilität nicht kompatibel
Injektion Clindamycin phosphate
Injektion Magnesium sulfate
3526
kompatibel
Injektion Clindamycin phosphate 10 mg/ml
Injektion Melphalan 0.1 mg/ml
0,9% Natriumchlorid 169
kompatibel
Injektion Clindamycin phosphate 150 mg/ml
Injektion Meropenem 50 mg/ml
Wasser für injektable präparate 4319
Nicht spezifizierte Inkompatibilität nicht kompatibel
Injektion Clindamycin phosphate
Injektion Methohexital sodium
3526
kompatibel
Injektion Clindamycin phosphate 10 mg/ml
Injektion Metronidazole 5 mg/ml
Kein 1035
kompatibel
Injektion Clindamycin phosphate
Injektion Metronidazole
3594
kompatibel
Injektion Clindamycin phosphate 9 mg/ml
Injektion Midazolam hydrochloride 1 mg/ml
5% Glucose 176
kompatibel
Injektion Clindamycin phosphate 12 mg/ml
Injektion Morphine sulfate 1 mg/ml
5% Glucose 405
kompatibel
Injektion Clindamycin phosphate 150 mg/ml
Injektion N-acetylcysteine 200 mg/ml
Kein 3766
kompatibel
Injektion Clindamycin phosphate 150 mg/ml
Injektion Naloxone hydrochloride 0.4 mg/ml
Kein 3408
kompatibel
Injektion Clindamycin phosphate
Injektion Netilmicin sulfate
0,9% Natriumchlorid 3526
kompatibel
Injektion Clindamycin phosphate 9 mg/ml
Injektion Netilmicin sulfate 3 mg/ml
5% Glucose 421
kompatibel
Injektion Clindamycin phosphate 9 mg/ml
Injektion Netilmicin sulfate 3 mg/ml
0,9% Natriumchlorid 421
kompatibel
Injektion Clindamycin phosphate
Injektion Netilmicin sulfate
5% Glucose 3526
kompatibel
Injektion Clindamycin phosphate 9 mg/ml
Injektion Nicardipine hydrochloride 0.1 mg/ml
0,9% Natriumchlorid 1490
kompatibel
Injektion Clindamycin phosphate 9 mg/ml
Injektion Nicardipine hydrochloride 0.1 mg/ml
5% Glucose 1490
kompatibel
Injektion Clindamycin phosphate 6 mg/ml
Injektion Ofloxacin 2 mg/ml
Kein 889
kompatibel
Injektion Clindamycin phosphate 10 mg/ml
Injektion Ondansetron hydrochloride 1 mg/ml
0,9% Natriumchlorid 334
Niederschlag nach 1 Stunde nicht kompatibel
Injektion Clindamycin phosphate 12 mg/ml
Injektion Oritavancin 0.8 >>2 mg/ml
5% Glucose 3152
Niederschlag nach 1 Stunde nicht kompatibel
Injektion Clindamycin phosphate
Injektion Pantoprazole sodium
2090
kompatibel
Injektion Clindamycin phosphate 150 mg/ml
Injektion Paracetamol 10 mg/ml
4742
kompatibel
Injektion Clindamycin phosphate 10 mg/ml
Injektion Paracetamol 10 mg/ml
Kein 3571
kompatibel
Injektion Clindamycin phosphate 10 mg/ml
Injektion Pemetrexed disodium 20 mg/ml
0,9% Natriumchlorid 1953
Nicht spezifizierte Inkompatibilität nicht kompatibel
Injektion Clindamycin phosphate
Injektion Pentobarbital sodium
3526
kompatibel
Injektion Clindamycin phosphate 12 mg/ml
Injektion Pethidine hydrochloride 10 mg/ml
5% Glucose 405
Nicht spezifizierte Inkompatibilität nicht kompatibel
Injektion Clindamycin phosphate
Injektion Phenobarbital sodium
3526
Nicht spezifizierte Inkompatibilität nicht kompatibel
Injektion Clindamycin phosphate
Injektion Phenytoin sodium
3526
kompatibel
Injektion Clindamycin phosphate 18 mg/ml
Injektion Phloroglucinol 2,5 mg/ml
3791
kompatibel
Injektion Clindamycin phosphate
Injektion Piperacillin sodium
5% Glucose 3526
kompatibel
Injektion Clindamycin phosphate
Injektion Piperacillin sodium
0,9% Natriumchlorid 3526
kompatibel
Injektion Clindamycin phosphate 9 mg/ml
Injektion Piperacillin sodium 40 mg/ml
5% Glucose 432
kompatibel
Injektion Clindamycin phosphate 9 mg/ml
Injektion Piperacillin sodium 40 mg/ml
0,9% Natriumchlorid 432
kompatibel
Injektion Clindamycin phosphate 10 mg/ml
Injektion Piperacillin sodium / tazobactam 40/5 mg/ml
5% Glucose 81
Sofortige Trübung nicht kompatibel
Injektion Clindamycin phosphate 150 mg/ml
Injektion Salbutamol sulfate 1 mg/ml
Kein 3216
Nicht spezifizierte Inkompatibilität nicht kompatibel
Injektion Clindamycin phosphate
Injektion Sodium bicarbonate
3526
Sofortiger Niederschlag nicht kompatibel
Injektion Clindamycin phosphate 12 mg/ml
Injektion Temocilline 83.33 mg/ml
Wasser für injektable präparate 2231
kompatibel
Injektion Clindamycin phosphate 10 mg/ml
Injektion Teniposide 0.1 mg/ml
5% Glucose 905
Nicht spezifizierte Inkompatibilität nicht kompatibel
Injektion Clindamycin phosphate
Injektion Thiopental sodium
3526
kompatibel
Injektion Clindamycin phosphate
0,9% Natriumchlorid 3526
kompatibel
Injektion Clindamycin phosphate 10 mg/ml
Injektion Propofol 10 mg/ml
Kein 300
Nicht spezifizierte Inkompatibilität nicht kompatibel
Injektion Clindamycin phosphate
Injektion Ranitidine hydrochloride
3526
kompatibel
Injektion Clindamycin phosphate 10 mg/ml
Injektion Remifentanil hydrochloride 25 & 250 µg/ml
0,9% Natriumchlorid 59
kompatibel
Injektion Clindamycin phosphate 10 mg/ml
Injektion Sargramostim 10 µg/ml
0,9% Natriumchlorid 335
kompatibel
Injektion Clindamycin phosphate 12 mg/ml
Injektion Tacrolimus 1000 µg/ml
0,9% Natriumchlorid 479
kompatibel
Injektion Clindamycin phosphate 12 mg/ml
Injektion Theophylline 4 mg/ml
Kein 317
Sofortiger Niederschlag nicht kompatibel
Injektion Clindamycin phosphate 150 mg/ml
Injektion Thiopental sodium 25 mg/ml
0,9% Natriumchlorid 3767
kompatibel
Injektion Clindamycin phosphate 10 mg/ml
Injektion Thiotepa 1 mg/ml
5% Glucose 249
kompatibel
Injektion Clindamycin phosphate
Injektion Tobramycin sulfate
0,9% Natriumchlorid 3526
Sofortiger Niederschlag nicht kompatibel
Injektion Clindamycin phosphate 90 mg/ml
Injektion Tobramycin sulfate 12 mg/ml
0,9% Natriumchlorid 639
kompatibel
Injektion Clindamycin phosphate
Injektion Tobramycin sulfate
5% Glucose 3526
Niederschlag nach 2 Stunden nicht kompatibel
Injektion Clindamycin phosphate 6 mg/ml
Injektion Tramadol hydrochloride 0,4 mg/ml
0,9% Natriumchlorid 2002
kompatibel
Injektion Clindamycin phosphate 1.2 mg/ml
Injektion Verapamil hydrochloride 0.08 mg/ml
0,9% Natriumchlorid 1057
kompatibel
Injektion Clindamycin phosphate 1.2 mg/ml
Injektion Verapamil hydrochloride 0.08 mg/ml
5% Glucose 1057
kompatibel
Injektion Clindamycin phosphate 10 mg/ml
Injektion Vinorelbine tartrate 1 mg/ml
0,9% Natriumchlorid 84
kompatibel
Injektion Clindamycin phosphate 12 mg/ml
Injektion Zidovudine 4 mg/ml
5% Glucose 337

  Mentions Légales