Laatste update :
18/03/2026
Antibioticum   Clindamycin phosphate  
injecteerbaar geneesmiddel
Stabiliteit in oplossing Stabiliteit in mengsels Factoren die de stabiliteit beïnvloeden Verenigbaarheden Toedieningswijze Literatuur pdf
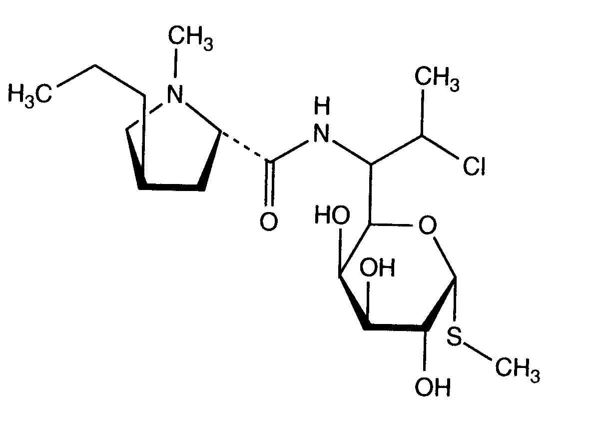
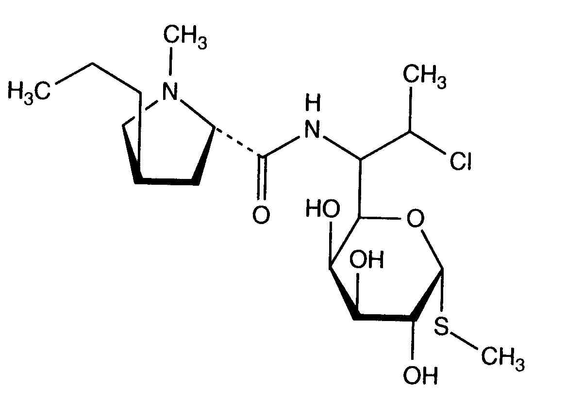
   Molecuulstructuur  

Merknamen in verschillende landen   Merknamen in verschillende landen     

Handelsnamen zijn slechts een indicatie; de samenstelling van hulpstoffen kan per land variëren afhankelijk van de fabrikant

Biodaclin Mexico
Camyda Indië
Cinbiot Mexico
Cleocin Oostenrijk, Turkije, USA
Clinamsa Mexico
Clinbac Colombia, Peru
Clincina Portugal
Clinda-Saar Duitsland
Clindacid Venezuela
Clindacin Maleisië
Clindalaf Argentinië
Clindamicina Argentinië, Brazilië, Chili, Colombia, Ecuador, Italië, Mexico, Peru, Portugal, Spanje, Venezuela
Clindamycin Canada, Duitsland, Iran, Noorwegen, Oostenrijk, Roemenië, Saudi-Arabië, USA, Zweden
Clindamycin-Hameln Duitsland
Clindamycine België, Frankrijk, Nederland, Tunisie
Clindanovag Argentinië
Clindarix Brazilië
Clindasol Duitsland
Clindaval Venezuela
Clindazyn Mexico
Clindo Polen
Clysvic Mexico
Daclin Chili
Dalacin Australië, België, Canada, Chili, Colombia, Denemarken, Ecuador, Egypte, Finland, Griekenland, Groot Britannië, Hongarije, Ierland, IJsland, Indië, Iran, Italië, Luxemburg, Maleisië, Mexico, Nederland, nieuw Zeeland, Noorwegen, Polen, Saudi-Arabië, Tunisie, Venezuela, Verenigde Arabische Emiraten, Zweden, Zwitserland
Dalacine Frankrijk, Tunisie
Daladic Iran
Dalcinex Indië
Damclid Indië
Damicin Colombia, Mexico
Damicine Colombia
Dolarclin Colombia
Euroclin Colombia, Ecuador
Gynasafe Indië
Indamid Mexico
Klimicin Polen
Klindan Turkije
Klindaver Turkije
Lanacine Oostenrijk
Lincocin Maleisië
Lincosa Maleisië
Meneklin Turkije
Sobelin Duitsland
Tidact Maleisië
Verenigbaarheden   injecteerbaar geneesmiddel   Verenigbaarheden : Clindamycin phosphate              
In dit scherm worden de verenigbaarheden en onverenigbaarheden weergegeven. In het geval van een onverenigbaarheid wordt ook het type (neerslag, kleurverandering, modificatie van een emulsie, etc) weergegeven. De weergegeven verenigbaarheden zijn meestal alleen op uiterlijk beoordeeld, er heeft zelden een chemische beoordeling van iedere component plaatsgevonden. De verenigbaarheden betreffen gelijktijdige toediening aan de patient middels de Y-site. De data kan niet gebruikt worden in de beoordeling van verenigbaarheden van componenten in infuuszakken of spuiten. Die informatie is te vinden onder ‘stabiliteit in mengsels’.
Stof Oplosmiddel Literatuur
Verenigbaar
injecteerbaar geneesmiddel Clindamycin phosphate 12 mg/ml
injecteerbaar geneesmiddel Aciclovir sodium 5 mg/ml
Glucose 5% 336
Onmiddellijke neerslag Onverenigbaar
injecteerbaar geneesmiddel Clindamycin phosphate 10 mg/ml
injecteerbaar geneesmiddel Allopurinol sodium 3 mg/ml
Natriumchloride 0,9% 307
Verenigbaar
injecteerbaar geneesmiddel Clindamycin phosphate 10 mg/ml
injecteerbaar geneesmiddel Amifostine 10 mg/ml
Glucose 5% 3
Verenigbaar
injecteerbaar geneesmiddel Clindamycin phosphate
injecteerbaar geneesmiddel Amikacin sulfate
Natriumchloride 0,9% 3526
Verenigbaar
injecteerbaar geneesmiddel Clindamycin phosphate 9 mg/ml
injecteerbaar geneesmiddel Amikacin sulfate 4 mg/ml
Natriumchloride 0,9% 565
Verenigbaar
injecteerbaar geneesmiddel Clindamycin phosphate 9 mg/ml
injecteerbaar geneesmiddel Amikacin sulfate 4 mg/ml
Glucose 5% 565
Verenigbaar
injecteerbaar geneesmiddel Clindamycin phosphate
injecteerbaar geneesmiddel Amikacin sulfate
Glucose 5% 3526
Verenigbaar
injecteerbaar geneesmiddel Clindamycin phosphate 90 mg/ml
injecteerbaar geneesmiddel Amikacin sulfate 75 mg/ml
Natriumchloride 0,9% 639
Niet-gespecificeerde incompatibiliteit Onverenigbaar
injecteerbaar geneesmiddel Clindamycin phosphate
injecteerbaar geneesmiddel Aminophylline
3526
Verenigbaar
injecteerbaar geneesmiddel Clindamycin phosphate 6 mg/ml
injecteerbaar geneesmiddel Amiodarone hydrochloride 4 mg/ml
Natriumchloride 0,9% 385
Verenigbaar
injecteerbaar geneesmiddel Clindamycin phosphate 6 mg/ml
injecteerbaar geneesmiddel Amiodarone hydrochloride 4 mg/ml
Glucose 5% 385
Troebelheid in een uur Onverenigbaar
injecteerbaar geneesmiddel Clindamycin phosphate 150 mg/ml
injecteerbaar geneesmiddel Amoxicillin sodium / clavulanic acid 100/10 mg/ml
3824
Verenigbaar
injecteerbaar geneesmiddel Clindamycin phosphate 10 mg/ml
injecteerbaar geneesmiddel Amphotericin B cholesteryl sulfate complex 0.83 mg/ml
Glucose 5% 921
Niet-gespecificeerde incompatibiliteit Onverenigbaar
injecteerbaar geneesmiddel Clindamycin phosphate
injecteerbaar geneesmiddel Ampicillin sodium
3526
Verenigbaar
injecteerbaar geneesmiddel Clindamycin phosphate
Glucose 5% 3526
Niet-gespecificeerde incompatibiliteit Onverenigbaar
injecteerbaar geneesmiddel Clindamycin phosphate
injecteerbaar geneesmiddel Amobarbital sodium
3526
Verenigbaar
injecteerbaar geneesmiddel Clindamycin phosphate 10 mg/ml
injecteerbaar geneesmiddel Amsacrine 1 mg/ml
Glucose 5% 253
Verenigbaar
injecteerbaar geneesmiddel Clindamycin phosphate 10 mg/ml
injecteerbaar geneesmiddel Anidulafungin 0.5 mg/ml
Glucose 5% 1982
Wijziging van pH> 1 pH-eenheid Onverenigbaar
injecteerbaar geneesmiddel Clindamycin phosphate 9 mg/ml
injecteerbaar geneesmiddel Atosiban 0,75 mg/ml
4642
Verenigbaar
injecteerbaar geneesmiddel Clindamycin phosphate 6 mg/ml
injecteerbaar geneesmiddel Aztreonam 10 mg/ml
Glucose 5% 419
Verenigbaar
injecteerbaar geneesmiddel Clindamycin phosphate 9 mg/ml
injecteerbaar geneesmiddel Aztreonam 20 mg/ml
Glucose 5% 432
Verenigbaar
injecteerbaar geneesmiddel Clindamycin phosphate 60 mg/ml
injecteerbaar geneesmiddel Aztreonam 200 mg/ml
Natriumchloride 0,9% 644
Verenigbaar
injecteerbaar geneesmiddel Clindamycin phosphate
injecteerbaar geneesmiddel Aztreonam
Natriumchloride 0,9% 3526
Verenigbaar
injecteerbaar geneesmiddel Clindamycin phosphate 3 mg/ml
injecteerbaar geneesmiddel Aztreonam 10 mg/ml
Glucose 5% 419
Verenigbaar
injecteerbaar geneesmiddel Clindamycin phosphate
injecteerbaar geneesmiddel Aztreonam
Glucose 5% 3526
Verenigbaar
injecteerbaar geneesmiddel Clindamycin phosphate 24 mg/ml
Parenterale voeding (zonder vet) 3379
Onmiddellijke neerslag Onverenigbaar
injecteerbaar geneesmiddel Clindamycin phosphate 30 mg/ml
injecteerbaar geneesmiddel Azithromycine 2 mg/ml
Natriumchloride 0,9% 1800
Verenigbaar
injecteerbaar geneesmiddel Clindamycin phosphate 3 mg/ml
Parenterale voeding (zonder vet) 1055
Verenigbaar
injecteerbaar geneesmiddel Clindamycin phosphate 6 mg/ml
injecteerbaar geneesmiddel Aztreonam 20 mg/ml
Natriumchloride 0,9% 419
Verenigbaar
injecteerbaar geneesmiddel Clindamycin phosphate 3 mg/ml
injecteerbaar geneesmiddel Aztreonam 20 mg/ml
Natriumchloride 0,9% 419
Verenigbaar
injecteerbaar geneesmiddel Clindamycin phosphate 3 mg/ml
injecteerbaar geneesmiddel Aztreonam 20 mg/ml
Glucose 5% 419
Verenigbaar
injecteerbaar geneesmiddel Clindamycin phosphate 6 mg/ml
injecteerbaar geneesmiddel Aztreonam 20 mg/ml
Glucose 5% 419
Verenigbaar
injecteerbaar geneesmiddel Clindamycin phosphate 10 mg/ml
injecteerbaar geneesmiddel Aztreonam 40 mg/ml
Glucose 5% 99
Verenigbaar
injecteerbaar geneesmiddel Clindamycin phosphate 3 mg/ml
injecteerbaar geneesmiddel Aztreonam 10 mg/ml
Natriumchloride 0,9% 419
Verenigbaar
injecteerbaar geneesmiddel Clindamycin phosphate 6 mg/ml
injecteerbaar geneesmiddel Aztreonam 10 mg/ml
Natriumchloride 0,9% 419
Verenigbaar
injecteerbaar geneesmiddel Clindamycin phosphate 9 mg/ml
injecteerbaar geneesmiddel Aztreonam 20 mg/ml
Natriumchloride 0,9% 432
Verenigbaar
injecteerbaar geneesmiddel Clindamycin phosphate 10 mg/ml
injecteerbaar geneesmiddel Bivalirudin 5 mg/ml
Glucose 5% 1713
Verenigbaar
injecteerbaar geneesmiddel Clindamycin phosphate 150 mg/ml
injecteerbaar geneesmiddel Caffeine 10 mg/ml
Geen 3964
Niet-gespecificeerde incompatibiliteit Onverenigbaar
injecteerbaar geneesmiddel Clindamycin phosphate
injecteerbaar geneesmiddel Calcium gluconate
3644
Niet-gespecificeerde incompatibiliteit Onverenigbaar
injecteerbaar geneesmiddel Clindamycin phosphate
injecteerbaar geneesmiddel Calcium gluconate
3526
Onverenigbaar
injecteerbaar geneesmiddel Clindamycin phosphate
injecteerbaar geneesmiddel Calcium gluconate
4964
Onmiddellijke neerslag Onverenigbaar
injecteerbaar geneesmiddel Clindamycin phosphate 10 mg/ml
injecteerbaar geneesmiddel Caspofungin acetate 0,7 mg/ml
Natriumchloride 0,9% 2247
Onmiddellijke neerslag Onverenigbaar
injecteerbaar geneesmiddel Clindamycin phosphate 60 mg/ml
injecteerbaar geneesmiddel Caspofungin acetate 0.5 mg/ml
Natriumchloride 0,9% 2233
Verenigbaar
injecteerbaar geneesmiddel Clindamycin phosphate 9 mg/ml
injecteerbaar geneesmiddel Cefamandole nafate 10 mg/ml
Glucose 5% 418
Verenigbaar
injecteerbaar geneesmiddel Clindamycin phosphate
injecteerbaar geneesmiddel Cefamandole nafate
Natriumchloride 0,9% 3526
Verenigbaar
injecteerbaar geneesmiddel Clindamycin phosphate 9 mg/ml
injecteerbaar geneesmiddel Cefamandole nafate 10 mg/ml
Natriumchloride 0,9% 418
Verenigbaar
injecteerbaar geneesmiddel Clindamycin phosphate
injecteerbaar geneesmiddel Cefamandole nafate
Glucose 5% 3526
Verenigbaar
injecteerbaar geneesmiddel Clindamycin phosphate 9 mg/ml
injecteerbaar geneesmiddel Cefazolin sodium 10 mg/ml
Natriumchloride 0,9% 418
Verenigbaar
injecteerbaar geneesmiddel Clindamycin phosphate
injecteerbaar geneesmiddel Cefazolin sodium
Natriumchloride 0,9% 3526
Verenigbaar
injecteerbaar geneesmiddel Clindamycin phosphate 9 mg/ml
injecteerbaar geneesmiddel Cefazolin sodium 10 mg/ml
Glucose 5% 418
Verenigbaar
injecteerbaar geneesmiddel Clindamycin phosphate 0,25 & 6 mg/ml
injecteerbaar geneesmiddel Cefepime dihydrochloride 4 & 40 mg/ml
Glucose 5% 3548
Verenigbaar
injecteerbaar geneesmiddel Clindamycin phosphate 10 mg/ml
injecteerbaar geneesmiddel Cefiderocol sulfate tosylate 20 mg/mL
Glucose 5% 4528
Verenigbaar
injecteerbaar geneesmiddel Clindamycin phosphate 12 mg/ml
injecteerbaar geneesmiddel Cefoperazone sodium 20 mg/ml
Glucose 5% 644
Niet-gespecificeerde incompatibiliteit Onverenigbaar
injecteerbaar geneesmiddel Clindamycin phosphate
NaHCO3 3526
Verenigbaar
injecteerbaar geneesmiddel Clindamycin phosphate 12 mg/ml
injecteerbaar geneesmiddel Cefonicid sodium 10 mg/ml
Natriumchloride 0,9% 644
Verenigbaar
injecteerbaar geneesmiddel Clindamycin phosphate 10 mg/ml
Parenterale voeding (zonder vet) 301
Verenigbaar
injecteerbaar geneesmiddel Clindamycin phosphate
injecteerbaar geneesmiddel Cefazolin sodium
Glucose 5% 3526
Verenigbaar
injecteerbaar geneesmiddel Clindamycin phosphate 0,25 & 6 mg/ml
injecteerbaar geneesmiddel Cefepime dihydrochloride 4 & 40 mg/ml
Natriumchloride 0,9% 3548
Verenigbaar
injecteerbaar geneesmiddel Clindamycin phosphate 10 mg/ml
injecteerbaar geneesmiddel Cefiderocol sulfate tosylate 20 mg/mL
Natriumchloride 0,9% 4528
Verenigbaar
injecteerbaar geneesmiddel Clindamycin phosphate 12 mg/ml
injecteerbaar geneesmiddel Cefonicid sodium 10 mg/ml
Glucose 5% 644
Verenigbaar
injecteerbaar geneesmiddel Clindamycin phosphate 12 mg/ml
injecteerbaar geneesmiddel Cefoperazone sodium 20 mg/ml
Natriumchloride 0,9% 644
Verenigbaar
injecteerbaar geneesmiddel Clindamycin phosphate 150 mg/ml
Parenterale voeding (zonder vet) 999
Verenigbaar
injecteerbaar geneesmiddel Clindamycin phosphate
injecteerbaar geneesmiddel Cefotaxime sodium
Glucose 5% 3526
Verenigbaar
injecteerbaar geneesmiddel Clindamycin phosphate 9 mg/ml
injecteerbaar geneesmiddel Cefotaxime sodium 20 mg/ml
Glucose 5% 421
Verenigbaar
injecteerbaar geneesmiddel Clindamycin phosphate 9 mg/ml
injecteerbaar geneesmiddel Cefotaxime sodium 20 mg/ml
Natriumchloride 0,9% 421
Verenigbaar
injecteerbaar geneesmiddel Clindamycin phosphate
injecteerbaar geneesmiddel Cefotaxime sodium
Natriumchloride 0,9% 3526
Verenigbaar
injecteerbaar geneesmiddel Clindamycin phosphate
injecteerbaar geneesmiddel Cefoxitin sodium
Natriumchloride 0,9% 3526
Verenigbaar
injecteerbaar geneesmiddel Clindamycin phosphate 9 mg/ml
injecteerbaar geneesmiddel Cefoxitin sodium 20 mg/ml
Glucose 5% 418
Verenigbaar
injecteerbaar geneesmiddel Clindamycin phosphate 9 mg/ml
injecteerbaar geneesmiddel Cefoxitin sodium 20 mg/ml
Natriumchloride 0,9% 418
Verenigbaar
injecteerbaar geneesmiddel Clindamycin phosphate
injecteerbaar geneesmiddel Cefoxitin sodium
Glucose 5% 3526
Verenigbaar
injecteerbaar geneesmiddel Clindamycin phosphate 12 mg/ml
injecteerbaar geneesmiddel Cefpirome sulfate 50 mg/ml
Natriumchloride 0,9% 280
Verenigbaar
injecteerbaar geneesmiddel Clindamycin phosphate 12 mg/ml
injecteerbaar geneesmiddel Cefpirome sulfate 50 mg/ml
Natriumchloride 0,45 % 280
Verenigbaar
injecteerbaar geneesmiddel Clindamycin phosphate 12 mg/ml
injecteerbaar geneesmiddel Cefpirome sulfate 50 mg/ml
Glucose 5% 280
Verenigbaar
injecteerbaar geneesmiddel Clindamycin phosphate 12 mg/ml
injecteerbaar geneesmiddel Cefpirome sulfate 50 mg/ml
Ringer-lactaat 280
Verenigbaar
injecteerbaar geneesmiddel Clindamycin phosphate 10 mg/ml
injecteerbaar geneesmiddel Ceftaroline fosamil 2,22 mg/ml
Ringer-lactaat 3249
Verenigbaar
injecteerbaar geneesmiddel Clindamycin phosphate
injecteerbaar geneesmiddel Ceftazidime
Glucose 5% 3526
Verenigbaar
injecteerbaar geneesmiddel Clindamycin phosphate 9 mg/ml
injecteerbaar geneesmiddel Ceftizoxime sodium 20 mg/ml
Natriumchloride 0,9% 418
Verenigbaar
injecteerbaar geneesmiddel Clindamycin phosphate
injecteerbaar geneesmiddel Ceftizoxime sodium
Glucose 5% 3526
Verenigbaar
injecteerbaar geneesmiddel Clindamycin phosphate 10 mg/ml
injecteerbaar geneesmiddel Ceftobiprole medocaril sodium 2 mg/ml
Natriumchloride 0,9% 2269
Verenigbaar
injecteerbaar geneesmiddel Clindamycin phosphate 10 mg/ml
injecteerbaar geneesmiddel Ceftobiprole medocaril sodium 2 mg/ml
Glucose 5% 2269
Verenigbaar
injecteerbaar geneesmiddel Clindamycin phosphate 10 mg/ml
injecteerbaar geneesmiddel Ceftobiprole medocaril sodium 2 mg/ml
Ringer-lactaat 2269
Verenigbaar
injecteerbaar geneesmiddel Clindamycin phosphate 5,77 mg/ml
Parenterale voeding (met lipiden) 4440
Verenigbaar
injecteerbaar geneesmiddel Clindamycin phosphate 1.2 mg/ml
injecteerbaar geneesmiddel Cimetidine hydrochloride 1.2 & 5 mg/ml
Glucose 5% 1201
Verenigbaar
injecteerbaar geneesmiddel Clindamycin phosphate 1.2 mg/ml
injecteerbaar geneesmiddel Cimetidine hydrochloride 1.2 & 5 mg/ml
Natriumchloride 0,9% 1201
Onmiddellijke neerslag Onverenigbaar
injecteerbaar geneesmiddel Clindamycin phosphate 7 mg/ml
injecteerbaar geneesmiddel Ciprofloxacin lactate 1.5 mg/ml
Glucose 5% 434
Verenigbaar
injecteerbaar geneesmiddel Clindamycin phosphate 10 mg/ml
injecteerbaar geneesmiddel Cisatracurium besylate 0.1 >> 5 mg/ml
Glucose 5% 299
Verenigbaar
injecteerbaar geneesmiddel Clindamycin phosphate 150 mg/ml
injecteerbaar geneesmiddel Cloxacillin sodium 100 mg/ml
Water voor injectie 3012
Verenigbaar
injecteerbaar geneesmiddel Clindamycin phosphate 10 mg/ml
injecteerbaar geneesmiddel Docetaxel 0.9 mg/ml
Glucose 5% 1754
Productie van gasbellen Onverenigbaar
injecteerbaar geneesmiddel Clindamycin phosphate 10 mg/ml
injecteerbaar geneesmiddel Doxapram hydrochloride 2 mg/ml
Glucose 5% 1802
Verenigbaar
injecteerbaar geneesmiddel Clindamycin phosphate 10 mg/ml
injecteerbaar geneesmiddel Doxorubicin hydrochloride liposome peg 0.4 mg/ml
Glucose 5% 251
Verenigbaar
injecteerbaar geneesmiddel Clindamycin phosphate 9 mg/ml
injecteerbaar geneesmiddel Esmolol hydrochloride 10 mg/ml
Glucose 5% 384
Verenigbaar
injecteerbaar geneesmiddel Clindamycin phosphate 9 mg/ml
injecteerbaar geneesmiddel Fentanyl citrate 50 µg/ml
Glucose 5% 63
Verenigbaar
injecteerbaar geneesmiddel Clindamycin phosphate 10 mg/ml
Parenterale voeding (met lipiden) 3967
Verenigbaar
injecteerbaar geneesmiddel Clindamycin phosphate 10 mg/ml
injecteerbaar geneesmiddel Ceftaroline fosamil 2,22 mg/ml
Glucose 5% 3249
Verenigbaar
injecteerbaar geneesmiddel Clindamycin phosphate 10 mg/ml
injecteerbaar geneesmiddel Ceftaroline fosamil 2,22 mg/ml
Natriumchloride 0,9% 3249
Verenigbaar
injecteerbaar geneesmiddel Clindamycin phosphate 9 mg/ml
injecteerbaar geneesmiddel Ceftazidime 20 mg/ml
Glucose 5% 432
Verenigbaar
injecteerbaar geneesmiddel Clindamycin phosphate
injecteerbaar geneesmiddel Ceftazidime
Natriumchloride 0,9% 3526
Verenigbaar
injecteerbaar geneesmiddel Clindamycin phosphate 9 mg/ml
injecteerbaar geneesmiddel Ceftazidime 20 mg/ml
Natriumchloride 0,9% 432
Verenigbaar
injecteerbaar geneesmiddel Clindamycin phosphate 10 mg/ml
Parenterale voeding (met lipiden) 1415
Verenigbaar
injecteerbaar geneesmiddel Clindamycin phosphate 9 mg/ml
injecteerbaar geneesmiddel Ceftizoxime sodium 20 mg/ml
Glucose 5% 418
Verenigbaar
injecteerbaar geneesmiddel Clindamycin phosphate
injecteerbaar geneesmiddel Ceftizoxime sodium
Natriumchloride 0,9% 3526
Chemische instabiliteit Onverenigbaar
injecteerbaar geneesmiddel Clindamycin phosphate 12 mg/ml
injecteerbaar geneesmiddel Ceftriaxone disodium 20 mg/ml
Glucose 5% 432
Niet-gespecificeerde incompatibiliteit Onverenigbaar
injecteerbaar geneesmiddel Clindamycin phosphate
injecteerbaar geneesmiddel Ceftriaxone disodium
3526
Chemische instabiliteit Onverenigbaar
injecteerbaar geneesmiddel Clindamycin phosphate 12 mg/ml
injecteerbaar geneesmiddel Ceftriaxone disodium 20 mg/ml
Natriumchloride 0,9% 432
Verenigbaar
injecteerbaar geneesmiddel Clindamycin phosphate 9 mg/ml
injecteerbaar geneesmiddel Cefuroxime sodium 15 mg/ml
Natriumchloride 0,9% 644
Verenigbaar
injecteerbaar geneesmiddel Clindamycin phosphate 9 mg/ml
injecteerbaar geneesmiddel Cefuroxime sodium 15 mg/ml
Glucose 5% 644
Onmiddellijke neerslag Onverenigbaar
injecteerbaar geneesmiddel Clindamycin phosphate 7 mg/ml
injecteerbaar geneesmiddel Ciprofloxacin lactate 1.5 mg/ml
Natriumchloride 0,9% 434
Niet-gespecificeerde incompatibiliteit Onverenigbaar
injecteerbaar geneesmiddel Clindamycin phosphate
injecteerbaar geneesmiddel Ciprofloxacin lactate
3526
Verenigbaar
injecteerbaar geneesmiddel Clindamycin phosphate 10 mg/ml
injecteerbaar geneesmiddel Dexmedetomidine 4 µg/ml
Natriumchloride 0,9% 1712
Verenigbaar
injecteerbaar geneesmiddel Clindamycin phosphate 12 & 150 mg/ml
injecteerbaar geneesmiddel Diltiazem hydrochloride 5 mg/ml
Natriumchloride 0,9% 198
Verenigbaar
injecteerbaar geneesmiddel Clindamycin phosphate
injecteerbaar geneesmiddel Dimenhydrinate
2087
Verenigbaar
injecteerbaar geneesmiddel Clindamycin phosphate 9 mg/ml
injecteerbaar geneesmiddel Enalaprilate 0.05 mg/ml
Natriumchloride 0,9% 1315
Verenigbaar
injecteerbaar geneesmiddel Clindamycin phosphate 10 mg/ml
injecteerbaar geneesmiddel Etoposide phosphate 5 mg/ml
Glucose 5% 1410
Verenigbaar
injecteerbaar geneesmiddel Clindamycin phosphate 10 mg/ml
injecteerbaar geneesmiddel Fenoldopam mesylate 80 µg/ml
Natriumchloride 0,9% 1803
Onmiddellijke neerslag Onverenigbaar
injecteerbaar geneesmiddel Clindamycin phosphate 10 mg/ml
injecteerbaar geneesmiddel Filgrastim 30 µg/ml
Glucose 5% 244
Verenigbaar
injecteerbaar geneesmiddel Clindamycin phosphate 12 mg/ml
injecteerbaar geneesmiddel Fluconazole 2 mg/ml
Geen 256
Onmiddellijke neerslag Onverenigbaar
injecteerbaar geneesmiddel Clindamycin phosphate 24 mg/ml
injecteerbaar geneesmiddel Fluconazole 2 mg/ml
Natriumchloride 0,9% 496
Verenigbaar
injecteerbaar geneesmiddel Clindamycin phosphate 10 mg/ml
injecteerbaar geneesmiddel Fludarabine phosphate 1 mg/ml
Glucose 5% 492
Verenigbaar
injecteerbaar geneesmiddel Clindamycin phosphate 12 mg/ml
injecteerbaar geneesmiddel Foscarnet sodium 24 mg/ml
Glucose 5% 1135
Verenigbaar
injecteerbaar geneesmiddel Clindamycin phosphate 24 mg/ml
injecteerbaar geneesmiddel Foscarnet sodium 24 mg/ml
Geen 73
Verenigbaar
injecteerbaar geneesmiddel Clindamycin phosphate 12 mg/ml
injecteerbaar geneesmiddel Foscarnet sodium 24 mg/ml
Natriumchloride 0,9% 1135
Verenigbaar
injecteerbaar geneesmiddel Clindamycin phosphate 10 mg/ml
injecteerbaar geneesmiddel Gemcitabine hydrochloride 10 mg/ml
Natriumchloride 0,9% 1423
Verenigbaar
injecteerbaar geneesmiddel Clindamycin phosphate
injecteerbaar geneesmiddel Gentamicin sulfate
Glucose 5% 3526
Verenigbaar
injecteerbaar geneesmiddel Clindamycin phosphate 90 mg/ml
injecteerbaar geneesmiddel Gentamicin sulfate 12 mg/ml
Natriumchloride 0,9% 639
Verenigbaar
injecteerbaar geneesmiddel Clindamycin phosphate 6 mg/ml
injecteerbaar geneesmiddel Gentamicin sulfate 0.67 mg/ml
Glucose 5% 423
Verenigbaar
injecteerbaar geneesmiddel Clindamycin phosphate
injecteerbaar geneesmiddel Gentamicin sulfate
Natriumchloride 0,9% 3526
Verenigbaar
injecteerbaar geneesmiddel Clindamycin phosphate 10 mg/ml
injecteerbaar geneesmiddel Granisetron hydrochloride 0.05 mg/ml
Glucose 5% 182
Verenigbaar
injecteerbaar geneesmiddel Clindamycin phosphate 12 mg/ml
injecteerbaar geneesmiddel Heparin sodium 50 UI/ml
Geen 317
Verenigbaar
injecteerbaar geneesmiddel Clindamycin phosphate 10 mg/ml
injecteerbaar geneesmiddel Hetastarch 60 mg/ml
specifieke solvent 1721
Verenigbaar
injecteerbaar geneesmiddel Clindamycin phosphate 12 mg/ml
injecteerbaar geneesmiddel Hydromorphone hydrochloride 0.2 mg/ml
Glucose 5% 405
Niet-gespecificeerde incompatibiliteit Onverenigbaar
injecteerbaar geneesmiddel Clindamycin phosphate
injecteerbaar geneesmiddel Idarubicin hydrochloride
3526
Onmiddellijke neerslag Onverenigbaar
injecteerbaar geneesmiddel Clindamycin phosphate 12 mg/ml
injecteerbaar geneesmiddel Idarubicin hydrochloride 1 mg/ml
Natriumchloride 0,9% 491
Verenigbaar
injecteerbaar geneesmiddel Clindamycin phosphate 150 mg/ml
injecteerbaar geneesmiddel Ketamine hydrochloride 50 mg/ml
2109
Verenigbaar
injecteerbaar geneesmiddel Clindamycin phosphate 9 mg/ml
injecteerbaar geneesmiddel Labetalol hydrochloride 1 mg/ml
Glucose 5% 386
Onmiddellijke neerslag Onverenigbaar
injecteerbaar geneesmiddel Clindamycin phosphate 10 mg/ml
injecteerbaar geneesmiddel Lansoprazole 0.55 mg/ml
Natriumchloride 0,9% 1625
Verenigbaar
injecteerbaar geneesmiddel Clindamycin phosphate 150 mg/ml
injecteerbaar geneesmiddel Levofloxacine 5 mg/ml
Glucose 5% 1072
Verenigbaar
injecteerbaar geneesmiddel Clindamycin phosphate 10 mg/ml
injecteerbaar geneesmiddel Linezolid 2 mg/ml
Geen 1925
Niet-gespecificeerde incompatibiliteit Onverenigbaar
injecteerbaar geneesmiddel Clindamycin phosphate
injecteerbaar geneesmiddel Magnesium chloride
5012
Niet-gespecificeerde incompatibiliteit Onverenigbaar
injecteerbaar geneesmiddel Clindamycin phosphate
injecteerbaar geneesmiddel Magnesium sulfate
3838
Verenigbaar
injecteerbaar geneesmiddel Clindamycin phosphate 12 mg/ml
injecteerbaar geneesmiddel Magnesium sulfate 16.67 >> 100 mg/ml
Glucose 5% 1047
Niet-gespecificeerde incompatibiliteit Onverenigbaar
injecteerbaar geneesmiddel Clindamycin phosphate
injecteerbaar geneesmiddel Magnesium sulfate
3526
Verenigbaar
injecteerbaar geneesmiddel Clindamycin phosphate 10 mg/ml
injecteerbaar geneesmiddel Melphalan 0.1 mg/ml
Natriumchloride 0,9% 169
Verenigbaar
injecteerbaar geneesmiddel Clindamycin phosphate 150 mg/ml
injecteerbaar geneesmiddel Meropenem 50 mg/ml
Water voor injectie 4319
Niet-gespecificeerde incompatibiliteit Onverenigbaar
injecteerbaar geneesmiddel Clindamycin phosphate
injecteerbaar geneesmiddel Methohexital sodium
3526
Verenigbaar
injecteerbaar geneesmiddel Clindamycin phosphate 10 mg/ml
injecteerbaar geneesmiddel Metronidazole 5 mg/ml
Geen 1035
Verenigbaar
injecteerbaar geneesmiddel Clindamycin phosphate
injecteerbaar geneesmiddel Metronidazole
3594
Verenigbaar
injecteerbaar geneesmiddel Clindamycin phosphate 9 mg/ml
injecteerbaar geneesmiddel Midazolam hydrochloride 1 mg/ml
Glucose 5% 176
Verenigbaar
injecteerbaar geneesmiddel Clindamycin phosphate 12 mg/ml
injecteerbaar geneesmiddel Morphine sulfate 1 mg/ml
Glucose 5% 405
Verenigbaar
injecteerbaar geneesmiddel Clindamycin phosphate 150 mg/ml
injecteerbaar geneesmiddel N-acetylcysteine 200 mg/ml
Geen 3766
Verenigbaar
injecteerbaar geneesmiddel Clindamycin phosphate 150 mg/ml
injecteerbaar geneesmiddel Naloxone hydrochloride 0.4 mg/ml
Geen 3408
Verenigbaar
injecteerbaar geneesmiddel Clindamycin phosphate
injecteerbaar geneesmiddel Netilmicin sulfate
Natriumchloride 0,9% 3526
Verenigbaar
injecteerbaar geneesmiddel Clindamycin phosphate 9 mg/ml
injecteerbaar geneesmiddel Netilmicin sulfate 3 mg/ml
Glucose 5% 421
Verenigbaar
injecteerbaar geneesmiddel Clindamycin phosphate 9 mg/ml
injecteerbaar geneesmiddel Netilmicin sulfate 3 mg/ml
Natriumchloride 0,9% 421
Verenigbaar
injecteerbaar geneesmiddel Clindamycin phosphate
injecteerbaar geneesmiddel Netilmicin sulfate
Glucose 5% 3526
Verenigbaar
injecteerbaar geneesmiddel Clindamycin phosphate 9 mg/ml
injecteerbaar geneesmiddel Nicardipine hydrochloride 0.1 mg/ml
Natriumchloride 0,9% 1490
Verenigbaar
injecteerbaar geneesmiddel Clindamycin phosphate 9 mg/ml
injecteerbaar geneesmiddel Nicardipine hydrochloride 0.1 mg/ml
Glucose 5% 1490
Verenigbaar
injecteerbaar geneesmiddel Clindamycin phosphate 6 mg/ml
injecteerbaar geneesmiddel Ofloxacin 2 mg/ml
Geen 889
Verenigbaar
injecteerbaar geneesmiddel Clindamycin phosphate 10 mg/ml
injecteerbaar geneesmiddel Ondansetron hydrochloride 1 mg/ml
Natriumchloride 0,9% 334
Neerslag na 1 uur Onverenigbaar
injecteerbaar geneesmiddel Clindamycin phosphate 12 mg/ml
injecteerbaar geneesmiddel Oritavancin 0.8 >>2 mg/ml
Glucose 5% 3152
Neerslag na 1 uur Onverenigbaar
injecteerbaar geneesmiddel Clindamycin phosphate
injecteerbaar geneesmiddel Pantoprazole sodium
2090
Verenigbaar
injecteerbaar geneesmiddel Clindamycin phosphate 150 mg/ml
injecteerbaar geneesmiddel Paracetamol 10 mg/ml
4742
Verenigbaar
injecteerbaar geneesmiddel Clindamycin phosphate 10 mg/ml
injecteerbaar geneesmiddel Paracetamol 10 mg/ml
Geen 3571
Verenigbaar
injecteerbaar geneesmiddel Clindamycin phosphate 10 mg/ml
injecteerbaar geneesmiddel Pemetrexed disodium 20 mg/ml
Natriumchloride 0,9% 1953
Niet-gespecificeerde incompatibiliteit Onverenigbaar
injecteerbaar geneesmiddel Clindamycin phosphate
injecteerbaar geneesmiddel Pentobarbital sodium
3526
Verenigbaar
injecteerbaar geneesmiddel Clindamycin phosphate 12 mg/ml
injecteerbaar geneesmiddel Pethidine hydrochloride 10 mg/ml
Glucose 5% 405
Niet-gespecificeerde incompatibiliteit Onverenigbaar
injecteerbaar geneesmiddel Clindamycin phosphate
injecteerbaar geneesmiddel Phenobarbital sodium
3526
Niet-gespecificeerde incompatibiliteit Onverenigbaar
injecteerbaar geneesmiddel Clindamycin phosphate
injecteerbaar geneesmiddel Phenytoin sodium
3526
Verenigbaar
injecteerbaar geneesmiddel Clindamycin phosphate 18 mg/ml
injecteerbaar geneesmiddel Phloroglucinol 2,5 mg/ml
3791
Verenigbaar
injecteerbaar geneesmiddel Clindamycin phosphate
injecteerbaar geneesmiddel Piperacillin sodium
Glucose 5% 3526
Verenigbaar
injecteerbaar geneesmiddel Clindamycin phosphate
injecteerbaar geneesmiddel Piperacillin sodium
Natriumchloride 0,9% 3526
Verenigbaar
injecteerbaar geneesmiddel Clindamycin phosphate 9 mg/ml
injecteerbaar geneesmiddel Piperacillin sodium 40 mg/ml
Glucose 5% 432
Verenigbaar
injecteerbaar geneesmiddel Clindamycin phosphate 9 mg/ml
injecteerbaar geneesmiddel Piperacillin sodium 40 mg/ml
Natriumchloride 0,9% 432
Verenigbaar
injecteerbaar geneesmiddel Clindamycin phosphate 10 mg/ml
injecteerbaar geneesmiddel Piperacillin sodium / tazobactam 40/5 mg/ml
Glucose 5% 81
Onmiddellijke troebelheid Onverenigbaar
injecteerbaar geneesmiddel Clindamycin phosphate 150 mg/ml
injecteerbaar geneesmiddel Salbutamol sulfate 1 mg/ml
Geen 3216
Niet-gespecificeerde incompatibiliteit Onverenigbaar
injecteerbaar geneesmiddel Clindamycin phosphate
injecteerbaar geneesmiddel Sodium bicarbonate
3526
Onmiddellijke neerslag Onverenigbaar
injecteerbaar geneesmiddel Clindamycin phosphate 12 mg/ml
injecteerbaar geneesmiddel Temocilline 83.33 mg/ml
Water voor injectie 2231
Verenigbaar
injecteerbaar geneesmiddel Clindamycin phosphate 10 mg/ml
injecteerbaar geneesmiddel Teniposide 0.1 mg/ml
Glucose 5% 905
Niet-gespecificeerde incompatibiliteit Onverenigbaar
injecteerbaar geneesmiddel Clindamycin phosphate
injecteerbaar geneesmiddel Thiopental sodium
3526
Verenigbaar
injecteerbaar geneesmiddel Clindamycin phosphate
Natriumchloride 0,9% 3526
Verenigbaar
injecteerbaar geneesmiddel Clindamycin phosphate 10 mg/ml
injecteerbaar geneesmiddel Propofol 10 mg/ml
Geen 300
Niet-gespecificeerde incompatibiliteit Onverenigbaar
injecteerbaar geneesmiddel Clindamycin phosphate
injecteerbaar geneesmiddel Ranitidine hydrochloride
3526
Verenigbaar
injecteerbaar geneesmiddel Clindamycin phosphate 10 mg/ml
injecteerbaar geneesmiddel Remifentanil hydrochloride 25 & 250 µg/ml
Natriumchloride 0,9% 59
Verenigbaar
injecteerbaar geneesmiddel Clindamycin phosphate 10 mg/ml
injecteerbaar geneesmiddel Sargramostim 10 µg/ml
Natriumchloride 0,9% 335
Verenigbaar
injecteerbaar geneesmiddel Clindamycin phosphate 12 mg/ml
injecteerbaar geneesmiddel Tacrolimus 1000 µg/ml
Natriumchloride 0,9% 479
Verenigbaar
injecteerbaar geneesmiddel Clindamycin phosphate 12 mg/ml
injecteerbaar geneesmiddel Theophylline 4 mg/ml
Geen 317
Onmiddellijke neerslag Onverenigbaar
injecteerbaar geneesmiddel Clindamycin phosphate 150 mg/ml
injecteerbaar geneesmiddel Thiopental sodium 25 mg/ml
Natriumchloride 0,9% 3767
Verenigbaar
injecteerbaar geneesmiddel Clindamycin phosphate 10 mg/ml
injecteerbaar geneesmiddel Thiotepa 1 mg/ml
Glucose 5% 249
Verenigbaar
injecteerbaar geneesmiddel Clindamycin phosphate
injecteerbaar geneesmiddel Tobramycin sulfate
Natriumchloride 0,9% 3526
Onmiddellijke neerslag Onverenigbaar
injecteerbaar geneesmiddel Clindamycin phosphate 90 mg/ml
injecteerbaar geneesmiddel Tobramycin sulfate 12 mg/ml
Natriumchloride 0,9% 639
Verenigbaar
injecteerbaar geneesmiddel Clindamycin phosphate
injecteerbaar geneesmiddel Tobramycin sulfate
Glucose 5% 3526
Neerslag na 2 uur Onverenigbaar
injecteerbaar geneesmiddel Clindamycin phosphate 6 mg/ml
injecteerbaar geneesmiddel Tramadol hydrochloride 0,4 mg/ml
Natriumchloride 0,9% 2002
Verenigbaar
injecteerbaar geneesmiddel Clindamycin phosphate 1.2 mg/ml
injecteerbaar geneesmiddel Verapamil hydrochloride 0.08 mg/ml
Natriumchloride 0,9% 1057
Verenigbaar
injecteerbaar geneesmiddel Clindamycin phosphate 1.2 mg/ml
injecteerbaar geneesmiddel Verapamil hydrochloride 0.08 mg/ml
Glucose 5% 1057
Verenigbaar
injecteerbaar geneesmiddel Clindamycin phosphate 10 mg/ml
injecteerbaar geneesmiddel Vinorelbine tartrate 1 mg/ml
Natriumchloride 0,9% 84
Verenigbaar
injecteerbaar geneesmiddel Clindamycin phosphate 12 mg/ml
injecteerbaar geneesmiddel Zidovudine 4 mg/ml
Glucose 5% 337

  Mentions Légales