آخر تحديث :
18/03/2026
مضاد حيوي   Clindamycin phosphate  
حقن
الاستقرار في حلول استقرار مخاليط العوامل التي تؤثر على الاستقرار التوافق طريقة التعاطي مراجع pdf
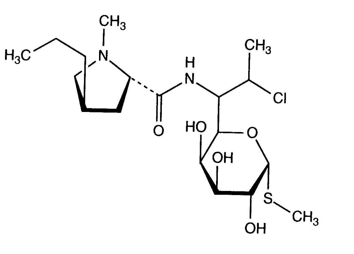
   التركيب الكيميائي  

حجز الاسم التجاري   حجز الاسم التجاري     

تحذير الأسماء التجاريه المختلفه قد تحتوي علي محتوي إضافات مختلفة حسب الدوله و المعمل

Biodaclin المكسيك
Camyda الهند
Cinbiot المكسيك
Cleocin النمسا, الولايات المتحدة, تركيا
Clinamsa المكسيك
Clinbac بيرو, كولومبيا
Clincina البرتغال
Clinda-Saar ألمانيا
Clindacid فنزويلا
Clindacin ماليزيا
Clindalaf الأرجنتين
Clindamicina إسبانيا, إيطاليا, الأرجنتين, الإكوادور, البرازيل, البرتغال, المكسيك, بيرو, تشيلي, فنزويلا, كولومبيا
Clindamycin ألمانيا, إيران, السويد, العربية السعودية, النرويج, النمسا, الولايات المتحدة, رومانيا, كندا
Clindamycin-Hameln ألمانيا
Clindamycine بلجيكا, تونس, فرنسا, هولندا
Clindanovag الأرجنتين
Clindarix البرازيل
Clindasol ألمانيا
Clindaval فنزويلا
Clindazyn المكسيك
Clindo بولندا
Clysvic المكسيك
Daclin تشيلي
Dalacin أستراليا, أيسلندا, إيران, إيطاليا, الإكوادور, الإمارات العربية المتحدة, الدنمارك, السويد, العربية السعودية, المكسيك, النرويج, الهند, ايرلندا, بريطانيا العظمي, بلجيكا, بولندا, تشيلي, تونس, زيلاندا الجديدة, سويسرا, فنزويلا, فنلندا, كندا, كولومبيا, لوكسمبورغ, ماليزيا, مصر, هنغاريا, هولندا, يونان
Dalacine تونس, فرنسا
Daladic إيران
Dalcinex الهند
Damclid الهند
Damicin المكسيك, كولومبيا
Damicine كولومبيا
Dolarclin كولومبيا
Euroclin الإكوادور, كولومبيا
Gynasafe الهند
Indamid المكسيك
Klimicin بولندا
Klindan تركيا
Klindaver تركيا
Lanacine النمسا
Lincocin ماليزيا
Lincosa ماليزيا
Meneklin تركيا
Sobelin ألمانيا
Tidact ماليزيا
التوافق   حقن   التوافق : Clindamycin phosphate              
This screen indicates the compatibilities or incompatibilities with, in this case, the type of incompatibility (precipitation, color change, modification of an emulsion, etc.). The compatibilities shown here are mostly physical only, with the chemical stability of each molecule rarely being assessed. The evaluation of these mixtures was studied to consider the possibility of Y-site administration to the patient. These data cannot be used for making mixtures in advance in bags or syringes. This type of information is available in the screen "Stability in mixture ».
مركب مذيب مراجع
kompatibel
حقن Clindamycin phosphate 12 mg/ml
حقن Aciclovir sodium 5 mg/ml
الجلوكوز %5 336
هطول فوري غير متوافق
حقن Clindamycin phosphate 10 mg/ml
حقن Allopurinol sodium 3 mg/ml
كلوريد الصوديوم 0.9% 307
kompatibel
حقن Clindamycin phosphate 10 mg/ml
حقن Amifostine 10 mg/ml
الجلوكوز %5 3
kompatibel
حقن Clindamycin phosphate
حقن Amikacin sulfate
كلوريد الصوديوم 0.9% 3526
kompatibel
حقن Clindamycin phosphate 9 mg/ml
حقن Amikacin sulfate 4 mg/ml
كلوريد الصوديوم 0.9% 565
kompatibel
حقن Clindamycin phosphate 9 mg/ml
حقن Amikacin sulfate 4 mg/ml
الجلوكوز %5 565
kompatibel
حقن Clindamycin phosphate
حقن Amikacin sulfate
الجلوكوز %5 3526
kompatibel
حقن Clindamycin phosphate 90 mg/ml
حقن Amikacin sulfate 75 mg/ml
كلوريد الصوديوم 0.9% 639
عدم توافق غير محدد غير متوافق
حقن Clindamycin phosphate
حقن Aminophylline
3526
kompatibel
حقن Clindamycin phosphate 6 mg/ml
حقن Amiodarone hydrochloride 4 mg/ml
كلوريد الصوديوم 0.9% 385
kompatibel
حقن Clindamycin phosphate 6 mg/ml
حقن Amiodarone hydrochloride 4 mg/ml
الجلوكوز %5 385
العكارة في ساعة واحدة غير متوافق
حقن Clindamycin phosphate 150 mg/ml
حقن Amoxicillin sodium / clavulanic acid 100/10 mg/ml
3824
kompatibel
حقن Clindamycin phosphate 10 mg/ml
حقن Amphotericin B cholesteryl sulfate complex 0.83 mg/ml
الجلوكوز %5 921
عدم توافق غير محدد غير متوافق
حقن Clindamycin phosphate
حقن Ampicillin sodium
3526
kompatibel
حقن Clindamycin phosphate
الجلوكوز %5 3526
عدم توافق غير محدد غير متوافق
حقن Clindamycin phosphate
حقن Amobarbital sodium
3526
kompatibel
حقن Clindamycin phosphate 10 mg/ml
حقن Amsacrine 1 mg/ml
الجلوكوز %5 253
kompatibel
حقن Clindamycin phosphate 10 mg/ml
حقن Anidulafungin 0.5 mg/ml
الجلوكوز %5 1982
تعديل درجة الحموضة> 1 وحدة أس هيدروجيني غير متوافق
حقن Clindamycin phosphate 9 mg/ml
حقن Atosiban 0,75 mg/ml
4642
kompatibel
حقن Clindamycin phosphate 6 mg/ml
حقن Aztreonam 10 mg/ml
الجلوكوز %5 419
kompatibel
حقن Clindamycin phosphate 9 mg/ml
حقن Aztreonam 20 mg/ml
الجلوكوز %5 432
kompatibel
حقن Clindamycin phosphate 60 mg/ml
حقن Aztreonam 200 mg/ml
كلوريد الصوديوم 0.9% 644
kompatibel
حقن Clindamycin phosphate
حقن Aztreonam
كلوريد الصوديوم 0.9% 3526
kompatibel
حقن Clindamycin phosphate 3 mg/ml
حقن Aztreonam 10 mg/ml
الجلوكوز %5 419
kompatibel
حقن Clindamycin phosphate
حقن Aztreonam
الجلوكوز %5 3526
kompatibel
حقن Clindamycin phosphate 24 mg/ml
 التغذية الوريدية (خالية من الدهن) 3379
هطول فوري غير متوافق
حقن Clindamycin phosphate 30 mg/ml
حقن Azithromycine 2 mg/ml
كلوريد الصوديوم 0.9% 1800
kompatibel
حقن Clindamycin phosphate 3 mg/ml
 التغذية الوريدية (خالية من الدهن) 1055
kompatibel
حقن Clindamycin phosphate 6 mg/ml
حقن Aztreonam 20 mg/ml
كلوريد الصوديوم 0.9% 419
kompatibel
حقن Clindamycin phosphate 3 mg/ml
حقن Aztreonam 20 mg/ml
كلوريد الصوديوم 0.9% 419
kompatibel
حقن Clindamycin phosphate 3 mg/ml
حقن Aztreonam 20 mg/ml
الجلوكوز %5 419
kompatibel
حقن Clindamycin phosphate 6 mg/ml
حقن Aztreonam 20 mg/ml
الجلوكوز %5 419
kompatibel
حقن Clindamycin phosphate 10 mg/ml
حقن Aztreonam 40 mg/ml
الجلوكوز %5 99
kompatibel
حقن Clindamycin phosphate 3 mg/ml
حقن Aztreonam 10 mg/ml
كلوريد الصوديوم 0.9% 419
kompatibel
حقن Clindamycin phosphate 6 mg/ml
حقن Aztreonam 10 mg/ml
كلوريد الصوديوم 0.9% 419
kompatibel
حقن Clindamycin phosphate 9 mg/ml
حقن Aztreonam 20 mg/ml
كلوريد الصوديوم 0.9% 432
kompatibel
حقن Clindamycin phosphate 10 mg/ml
حقن Bivalirudin 5 mg/ml
الجلوكوز %5 1713
kompatibel
حقن Clindamycin phosphate 150 mg/ml
حقن Caffeine 10 mg/ml
لا شيء 3964
عدم توافق غير محدد غير متوافق
حقن Clindamycin phosphate
حقن Calcium gluconate
3644
عدم توافق غير محدد غير متوافق
حقن Clindamycin phosphate
حقن Calcium gluconate
3526
غير متوافق
حقن Clindamycin phosphate
حقن Calcium gluconate
4964
هطول فوري غير متوافق
حقن Clindamycin phosphate 10 mg/ml
حقن Caspofungin acetate 0,7 mg/ml
كلوريد الصوديوم 0.9% 2247
هطول فوري غير متوافق
حقن Clindamycin phosphate 60 mg/ml
حقن Caspofungin acetate 0.5 mg/ml
كلوريد الصوديوم 0.9% 2233
kompatibel
حقن Clindamycin phosphate 9 mg/ml
حقن Cefamandole nafate 10 mg/ml
الجلوكوز %5 418
kompatibel
حقن Clindamycin phosphate
حقن Cefamandole nafate
كلوريد الصوديوم 0.9% 3526
kompatibel
حقن Clindamycin phosphate 9 mg/ml
حقن Cefamandole nafate 10 mg/ml
كلوريد الصوديوم 0.9% 418
kompatibel
حقن Clindamycin phosphate
حقن Cefamandole nafate
الجلوكوز %5 3526
kompatibel
حقن Clindamycin phosphate 9 mg/ml
حقن Cefazolin sodium 10 mg/ml
كلوريد الصوديوم 0.9% 418
kompatibel
حقن Clindamycin phosphate
حقن Cefazolin sodium
كلوريد الصوديوم 0.9% 3526
kompatibel
حقن Clindamycin phosphate 9 mg/ml
حقن Cefazolin sodium 10 mg/ml
الجلوكوز %5 418
kompatibel
حقن Clindamycin phosphate 0,25 & 6 mg/ml
حقن Cefepime dihydrochloride 4 & 40 mg/ml
الجلوكوز %5 3548
kompatibel
حقن Clindamycin phosphate 10 mg/ml
حقن Cefiderocol sulfate tosylate 20 mg/mL
الجلوكوز %5 4528
kompatibel
حقن Clindamycin phosphate 12 mg/ml
حقن Cefoperazone sodium 20 mg/ml
الجلوكوز %5 644
عدم توافق غير محدد غير متوافق
حقن Clindamycin phosphate
NaHCO3 3526
kompatibel
حقن Clindamycin phosphate 12 mg/ml
حقن Cefonicid sodium 10 mg/ml
كلوريد الصوديوم 0.9% 644
kompatibel
حقن Clindamycin phosphate 10 mg/ml
 التغذية الوريدية (خالية من الدهن) 301
kompatibel
حقن Clindamycin phosphate
حقن Cefazolin sodium
الجلوكوز %5 3526
kompatibel
حقن Clindamycin phosphate 0,25 & 6 mg/ml
حقن Cefepime dihydrochloride 4 & 40 mg/ml
كلوريد الصوديوم 0.9% 3548
kompatibel
حقن Clindamycin phosphate 10 mg/ml
حقن Cefiderocol sulfate tosylate 20 mg/mL
كلوريد الصوديوم 0.9% 4528
kompatibel
حقن Clindamycin phosphate 12 mg/ml
حقن Cefonicid sodium 10 mg/ml
الجلوكوز %5 644
kompatibel
حقن Clindamycin phosphate 12 mg/ml
حقن Cefoperazone sodium 20 mg/ml
كلوريد الصوديوم 0.9% 644
kompatibel
حقن Clindamycin phosphate 150 mg/ml
 التغذية الوريدية (خالية من الدهن) 999
kompatibel
حقن Clindamycin phosphate
حقن Cefotaxime sodium
الجلوكوز %5 3526
kompatibel
حقن Clindamycin phosphate 9 mg/ml
حقن Cefotaxime sodium 20 mg/ml
الجلوكوز %5 421
kompatibel
حقن Clindamycin phosphate 9 mg/ml
حقن Cefotaxime sodium 20 mg/ml
كلوريد الصوديوم 0.9% 421
kompatibel
حقن Clindamycin phosphate
حقن Cefotaxime sodium
كلوريد الصوديوم 0.9% 3526
kompatibel
حقن Clindamycin phosphate
حقن Cefoxitin sodium
كلوريد الصوديوم 0.9% 3526
kompatibel
حقن Clindamycin phosphate 9 mg/ml
حقن Cefoxitin sodium 20 mg/ml
الجلوكوز %5 418
kompatibel
حقن Clindamycin phosphate 9 mg/ml
حقن Cefoxitin sodium 20 mg/ml
كلوريد الصوديوم 0.9% 418
kompatibel
حقن Clindamycin phosphate
حقن Cefoxitin sodium
الجلوكوز %5 3526
kompatibel
حقن Clindamycin phosphate 12 mg/ml
حقن Cefpirome sulfate 50 mg/ml
كلوريد الصوديوم 0.9% 280
kompatibel
حقن Clindamycin phosphate 12 mg/ml
حقن Cefpirome sulfate 50 mg/ml
كلوريد الصوديوم 0.45% 280
kompatibel
حقن Clindamycin phosphate 12 mg/ml
حقن Cefpirome sulfate 50 mg/ml
الجلوكوز %5 280
kompatibel
حقن Clindamycin phosphate 12 mg/ml
حقن Cefpirome sulfate 50 mg/ml
محلول رينجر  اللاكتات 280
kompatibel
حقن Clindamycin phosphate 10 mg/ml
حقن Ceftaroline fosamil 2,22 mg/ml
محلول رينجر  اللاكتات 3249
kompatibel
حقن Clindamycin phosphate
حقن Ceftazidime
الجلوكوز %5 3526
kompatibel
حقن Clindamycin phosphate 9 mg/ml
حقن Ceftizoxime sodium 20 mg/ml
كلوريد الصوديوم 0.9% 418
kompatibel
حقن Clindamycin phosphate
حقن Ceftizoxime sodium
الجلوكوز %5 3526
kompatibel
حقن Clindamycin phosphate 10 mg/ml
حقن Ceftobiprole medocaril sodium 2 mg/ml
كلوريد الصوديوم 0.9% 2269
kompatibel
حقن Clindamycin phosphate 10 mg/ml
حقن Ceftobiprole medocaril sodium 2 mg/ml
الجلوكوز %5 2269
kompatibel
حقن Clindamycin phosphate 10 mg/ml
حقن Ceftobiprole medocaril sodium 2 mg/ml
محلول رينجر  اللاكتات 2269
kompatibel
حقن Clindamycin phosphate 5,77 mg/ml
التغذية الوريدية (مع الدهون) 4440
kompatibel
حقن Clindamycin phosphate 1.2 mg/ml
حقن Cimetidine hydrochloride 1.2 & 5 mg/ml
الجلوكوز %5 1201
kompatibel
حقن Clindamycin phosphate 1.2 mg/ml
حقن Cimetidine hydrochloride 1.2 & 5 mg/ml
كلوريد الصوديوم 0.9% 1201
هطول فوري غير متوافق
حقن Clindamycin phosphate 7 mg/ml
حقن Ciprofloxacin lactate 1.5 mg/ml
الجلوكوز %5 434
kompatibel
حقن Clindamycin phosphate 10 mg/ml
حقن Cisatracurium besylate 0.1 >> 5 mg/ml
الجلوكوز %5 299
kompatibel
حقن Clindamycin phosphate 150 mg/ml
حقن Cloxacillin sodium 100 mg/ml
حقن المياه لل 3012
kompatibel
حقن Clindamycin phosphate 10 mg/ml
حقن Docetaxel 0.9 mg/ml
الجلوكوز %5 1754
إنتاج فقاعات الغاز غير متوافق
حقن Clindamycin phosphate 10 mg/ml
حقن Doxapram hydrochloride 2 mg/ml
الجلوكوز %5 1802
kompatibel
حقن Clindamycin phosphate 10 mg/ml
حقن Doxorubicin hydrochloride liposome peg 0.4 mg/ml
الجلوكوز %5 251
kompatibel
حقن Clindamycin phosphate 9 mg/ml
حقن Esmolol hydrochloride 10 mg/ml
الجلوكوز %5 384
kompatibel
حقن Clindamycin phosphate 9 mg/ml
حقن Fentanyl citrate 50 µg/ml
الجلوكوز %5 63
kompatibel
حقن Clindamycin phosphate 10 mg/ml
التغذية الوريدية (مع الدهون) 3967
kompatibel
حقن Clindamycin phosphate 10 mg/ml
حقن Ceftaroline fosamil 2,22 mg/ml
الجلوكوز %5 3249
kompatibel
حقن Clindamycin phosphate 10 mg/ml
حقن Ceftaroline fosamil 2,22 mg/ml
كلوريد الصوديوم 0.9% 3249
kompatibel
حقن Clindamycin phosphate 9 mg/ml
حقن Ceftazidime 20 mg/ml
الجلوكوز %5 432
kompatibel
حقن Clindamycin phosphate
حقن Ceftazidime
كلوريد الصوديوم 0.9% 3526
kompatibel
حقن Clindamycin phosphate 9 mg/ml
حقن Ceftazidime 20 mg/ml
كلوريد الصوديوم 0.9% 432
kompatibel
حقن Clindamycin phosphate 10 mg/ml
التغذية الوريدية (مع الدهون) 1415
kompatibel
حقن Clindamycin phosphate 9 mg/ml
حقن Ceftizoxime sodium 20 mg/ml
الجلوكوز %5 418
kompatibel
حقن Clindamycin phosphate
حقن Ceftizoxime sodium
كلوريد الصوديوم 0.9% 3526
عدم الاستقرار الكيميائي غير متوافق
حقن Clindamycin phosphate 12 mg/ml
حقن Ceftriaxone disodium 20 mg/ml
الجلوكوز %5 432
عدم توافق غير محدد غير متوافق
حقن Clindamycin phosphate
حقن Ceftriaxone disodium
3526
عدم الاستقرار الكيميائي غير متوافق
حقن Clindamycin phosphate 12 mg/ml
حقن Ceftriaxone disodium 20 mg/ml
كلوريد الصوديوم 0.9% 432
kompatibel
حقن Clindamycin phosphate 9 mg/ml
حقن Cefuroxime sodium 15 mg/ml
كلوريد الصوديوم 0.9% 644
kompatibel
حقن Clindamycin phosphate 9 mg/ml
حقن Cefuroxime sodium 15 mg/ml
الجلوكوز %5 644
هطول فوري غير متوافق
حقن Clindamycin phosphate 7 mg/ml
حقن Ciprofloxacin lactate 1.5 mg/ml
كلوريد الصوديوم 0.9% 434
عدم توافق غير محدد غير متوافق
حقن Clindamycin phosphate
حقن Ciprofloxacin lactate
3526
kompatibel
حقن Clindamycin phosphate 10 mg/ml
حقن Dexmedetomidine 4 µg/ml
كلوريد الصوديوم 0.9% 1712
kompatibel
حقن Clindamycin phosphate 12 & 150 mg/ml
حقن Diltiazem hydrochloride 5 mg/ml
كلوريد الصوديوم 0.9% 198
kompatibel
حقن Clindamycin phosphate
حقن Dimenhydrinate
2087
kompatibel
حقن Clindamycin phosphate 9 mg/ml
حقن Enalaprilate 0.05 mg/ml
كلوريد الصوديوم 0.9% 1315
kompatibel
حقن Clindamycin phosphate 10 mg/ml
حقن Etoposide phosphate 5 mg/ml
الجلوكوز %5 1410
kompatibel
حقن Clindamycin phosphate 10 mg/ml
حقن Fenoldopam mesylate 80 µg/ml
كلوريد الصوديوم 0.9% 1803
هطول فوري غير متوافق
حقن Clindamycin phosphate 10 mg/ml
حقن Filgrastim 30 µg/ml
الجلوكوز %5 244
kompatibel
حقن Clindamycin phosphate 12 mg/ml
حقن Fluconazole 2 mg/ml
لا شيء 256
هطول فوري غير متوافق
حقن Clindamycin phosphate 24 mg/ml
حقن Fluconazole 2 mg/ml
كلوريد الصوديوم 0.9% 496
kompatibel
حقن Clindamycin phosphate 10 mg/ml
حقن Fludarabine phosphate 1 mg/ml
الجلوكوز %5 492
kompatibel
حقن Clindamycin phosphate 12 mg/ml
حقن Foscarnet sodium 24 mg/ml
الجلوكوز %5 1135
kompatibel
حقن Clindamycin phosphate 24 mg/ml
حقن Foscarnet sodium 24 mg/ml
لا شيء 73
kompatibel
حقن Clindamycin phosphate 12 mg/ml
حقن Foscarnet sodium 24 mg/ml
كلوريد الصوديوم 0.9% 1135
kompatibel
حقن Clindamycin phosphate 10 mg/ml
حقن Gemcitabine hydrochloride 10 mg/ml
كلوريد الصوديوم 0.9% 1423
kompatibel
حقن Clindamycin phosphate
حقن Gentamicin sulfate
الجلوكوز %5 3526
kompatibel
حقن Clindamycin phosphate 90 mg/ml
حقن Gentamicin sulfate 12 mg/ml
كلوريد الصوديوم 0.9% 639
kompatibel
حقن Clindamycin phosphate 6 mg/ml
حقن Gentamicin sulfate 0.67 mg/ml
الجلوكوز %5 423
kompatibel
حقن Clindamycin phosphate
حقن Gentamicin sulfate
كلوريد الصوديوم 0.9% 3526
kompatibel
حقن Clindamycin phosphate 10 mg/ml
حقن Granisetron hydrochloride 0.05 mg/ml
الجلوكوز %5 182
kompatibel
حقن Clindamycin phosphate 12 mg/ml
حقن Heparin sodium 50 UI/ml
لا شيء 317
kompatibel
حقن Clindamycin phosphate 10 mg/ml
حقن Hetastarch 60 mg/ml
مذيب معين 1721
kompatibel
حقن Clindamycin phosphate 12 mg/ml
حقن Hydromorphone hydrochloride 0.2 mg/ml
الجلوكوز %5 405
عدم توافق غير محدد غير متوافق
حقن Clindamycin phosphate
حقن Idarubicin hydrochloride
3526
هطول فوري غير متوافق
حقن Clindamycin phosphate 12 mg/ml
حقن Idarubicin hydrochloride 1 mg/ml
كلوريد الصوديوم 0.9% 491
kompatibel
حقن Clindamycin phosphate 150 mg/ml
حقن Ketamine hydrochloride 50 mg/ml
2109
kompatibel
حقن Clindamycin phosphate 9 mg/ml
حقن Labetalol hydrochloride 1 mg/ml
الجلوكوز %5 386
هطول فوري غير متوافق
حقن Clindamycin phosphate 10 mg/ml
حقن Lansoprazole 0.55 mg/ml
كلوريد الصوديوم 0.9% 1625
kompatibel
حقن Clindamycin phosphate 150 mg/ml
حقن Levofloxacine 5 mg/ml
الجلوكوز %5 1072
kompatibel
حقن Clindamycin phosphate 10 mg/ml
حقن Linezolid 2 mg/ml
لا شيء 1925
عدم توافق غير محدد غير متوافق
حقن Clindamycin phosphate
حقن Magnesium chloride
5012
عدم توافق غير محدد غير متوافق
حقن Clindamycin phosphate
حقن Magnesium sulfate
3838
kompatibel
حقن Clindamycin phosphate 12 mg/ml
حقن Magnesium sulfate 16.67 >> 100 mg/ml
الجلوكوز %5 1047
عدم توافق غير محدد غير متوافق
حقن Clindamycin phosphate
حقن Magnesium sulfate
3526
kompatibel
حقن Clindamycin phosphate 10 mg/ml
حقن Melphalan 0.1 mg/ml
كلوريد الصوديوم 0.9% 169
kompatibel
حقن Clindamycin phosphate 150 mg/ml
حقن Meropenem 50 mg/ml
حقن المياه لل 4319
عدم توافق غير محدد غير متوافق
حقن Clindamycin phosphate
حقن Methohexital sodium
3526
kompatibel
حقن Clindamycin phosphate 10 mg/ml
حقن Metronidazole 5 mg/ml
لا شيء 1035
kompatibel
حقن Clindamycin phosphate
حقن Metronidazole
3594
kompatibel
حقن Clindamycin phosphate 9 mg/ml
حقن Midazolam hydrochloride 1 mg/ml
الجلوكوز %5 176
kompatibel
حقن Clindamycin phosphate 12 mg/ml
حقن Morphine sulfate 1 mg/ml
الجلوكوز %5 405
kompatibel
حقن Clindamycin phosphate 150 mg/ml
حقن N-acetylcysteine 200 mg/ml
لا شيء 3766
kompatibel
حقن Clindamycin phosphate 150 mg/ml
حقن Naloxone hydrochloride 0.4 mg/ml
لا شيء 3408
kompatibel
حقن Clindamycin phosphate
حقن Netilmicin sulfate
كلوريد الصوديوم 0.9% 3526
kompatibel
حقن Clindamycin phosphate 9 mg/ml
حقن Netilmicin sulfate 3 mg/ml
الجلوكوز %5 421
kompatibel
حقن Clindamycin phosphate 9 mg/ml
حقن Netilmicin sulfate 3 mg/ml
كلوريد الصوديوم 0.9% 421
kompatibel
حقن Clindamycin phosphate
حقن Netilmicin sulfate
الجلوكوز %5 3526
kompatibel
حقن Clindamycin phosphate 9 mg/ml
حقن Nicardipine hydrochloride 0.1 mg/ml
كلوريد الصوديوم 0.9% 1490
kompatibel
حقن Clindamycin phosphate 9 mg/ml
حقن Nicardipine hydrochloride 0.1 mg/ml
الجلوكوز %5 1490
kompatibel
حقن Clindamycin phosphate 6 mg/ml
حقن Ofloxacin 2 mg/ml
لا شيء 889
kompatibel
حقن Clindamycin phosphate 10 mg/ml
حقن Ondansetron hydrochloride 1 mg/ml
كلوريد الصوديوم 0.9% 334
هطول الأمطار بعد 1 ساعة غير متوافق
حقن Clindamycin phosphate 12 mg/ml
حقن Oritavancin 0.8 >>2 mg/ml
الجلوكوز %5 3152
هطول الأمطار بعد 1 ساعة غير متوافق
حقن Clindamycin phosphate
حقن Pantoprazole sodium
2090
kompatibel
حقن Clindamycin phosphate 150 mg/ml
حقن Paracetamol 10 mg/ml
4742
kompatibel
حقن Clindamycin phosphate 10 mg/ml
حقن Paracetamol 10 mg/ml
لا شيء 3571
kompatibel
حقن Clindamycin phosphate 10 mg/ml
حقن Pemetrexed disodium 20 mg/ml
كلوريد الصوديوم 0.9% 1953
عدم توافق غير محدد غير متوافق
حقن Clindamycin phosphate
حقن Pentobarbital sodium
3526
kompatibel
حقن Clindamycin phosphate 12 mg/ml
حقن Pethidine hydrochloride 10 mg/ml
الجلوكوز %5 405
عدم توافق غير محدد غير متوافق
حقن Clindamycin phosphate
حقن Phenobarbital sodium
3526
عدم توافق غير محدد غير متوافق
حقن Clindamycin phosphate
حقن Phenytoin sodium
3526
kompatibel
حقن Clindamycin phosphate 18 mg/ml
حقن Phloroglucinol 2,5 mg/ml
3791
kompatibel
حقن Clindamycin phosphate
حقن Piperacillin sodium
الجلوكوز %5 3526
kompatibel
حقن Clindamycin phosphate
حقن Piperacillin sodium
كلوريد الصوديوم 0.9% 3526
kompatibel
حقن Clindamycin phosphate 9 mg/ml
حقن Piperacillin sodium 40 mg/ml
الجلوكوز %5 432
kompatibel
حقن Clindamycin phosphate 9 mg/ml
حقن Piperacillin sodium 40 mg/ml
كلوريد الصوديوم 0.9% 432
kompatibel
حقن Clindamycin phosphate 10 mg/ml
حقن Piperacillin sodium / tazobactam 40/5 mg/ml
الجلوكوز %5 81
التعكر الفوري غير متوافق
حقن Clindamycin phosphate 150 mg/ml
حقن Salbutamol sulfate 1 mg/ml
لا شيء 3216
عدم توافق غير محدد غير متوافق
حقن Clindamycin phosphate
حقن Sodium bicarbonate
3526
هطول فوري غير متوافق
حقن Clindamycin phosphate 12 mg/ml
حقن Temocilline 83.33 mg/ml
حقن المياه لل 2231
kompatibel
حقن Clindamycin phosphate 10 mg/ml
حقن Teniposide 0.1 mg/ml
الجلوكوز %5 905
عدم توافق غير محدد غير متوافق
حقن Clindamycin phosphate
حقن Thiopental sodium
3526
kompatibel
حقن Clindamycin phosphate
كلوريد الصوديوم 0.9% 3526
kompatibel
حقن Clindamycin phosphate 10 mg/ml
حقن Propofol 10 mg/ml
لا شيء 300
عدم توافق غير محدد غير متوافق
حقن Clindamycin phosphate
حقن Ranitidine hydrochloride
3526
kompatibel
حقن Clindamycin phosphate 10 mg/ml
حقن Remifentanil hydrochloride 25 & 250 µg/ml
كلوريد الصوديوم 0.9% 59
kompatibel
حقن Clindamycin phosphate 10 mg/ml
حقن Sargramostim 10 µg/ml
كلوريد الصوديوم 0.9% 335
kompatibel
حقن Clindamycin phosphate 12 mg/ml
حقن Tacrolimus 1000 µg/ml
كلوريد الصوديوم 0.9% 479
kompatibel
حقن Clindamycin phosphate 12 mg/ml
حقن Theophylline 4 mg/ml
لا شيء 317
هطول فوري غير متوافق
حقن Clindamycin phosphate 150 mg/ml
حقن Thiopental sodium 25 mg/ml
كلوريد الصوديوم 0.9% 3767
kompatibel
حقن Clindamycin phosphate 10 mg/ml
حقن Thiotepa 1 mg/ml
الجلوكوز %5 249
kompatibel
حقن Clindamycin phosphate
حقن Tobramycin sulfate
كلوريد الصوديوم 0.9% 3526
هطول فوري غير متوافق
حقن Clindamycin phosphate 90 mg/ml
حقن Tobramycin sulfate 12 mg/ml
كلوريد الصوديوم 0.9% 639
kompatibel
حقن Clindamycin phosphate
حقن Tobramycin sulfate
الجلوكوز %5 3526
هطول الأمطار بعد 2 ساعات غير متوافق
حقن Clindamycin phosphate 6 mg/ml
حقن Tramadol hydrochloride 0,4 mg/ml
كلوريد الصوديوم 0.9% 2002
kompatibel
حقن Clindamycin phosphate 1.2 mg/ml
حقن Verapamil hydrochloride 0.08 mg/ml
كلوريد الصوديوم 0.9% 1057
kompatibel
حقن Clindamycin phosphate 1.2 mg/ml
حقن Verapamil hydrochloride 0.08 mg/ml
الجلوكوز %5 1057
kompatibel
حقن Clindamycin phosphate 10 mg/ml
حقن Vinorelbine tartrate 1 mg/ml
كلوريد الصوديوم 0.9% 84
kompatibel
حقن Clindamycin phosphate 12 mg/ml
حقن Zidovudine 4 mg/ml
الجلوكوز %5 337

  Mentions Légales