最新更新 :
18/03/2026
抗菌薬   Clindamycin phosphate  
注射薬
溶媒内の安定性 混合時の安定性 安定性に影響する因子 互換性 投与経路 引用文献 PDF
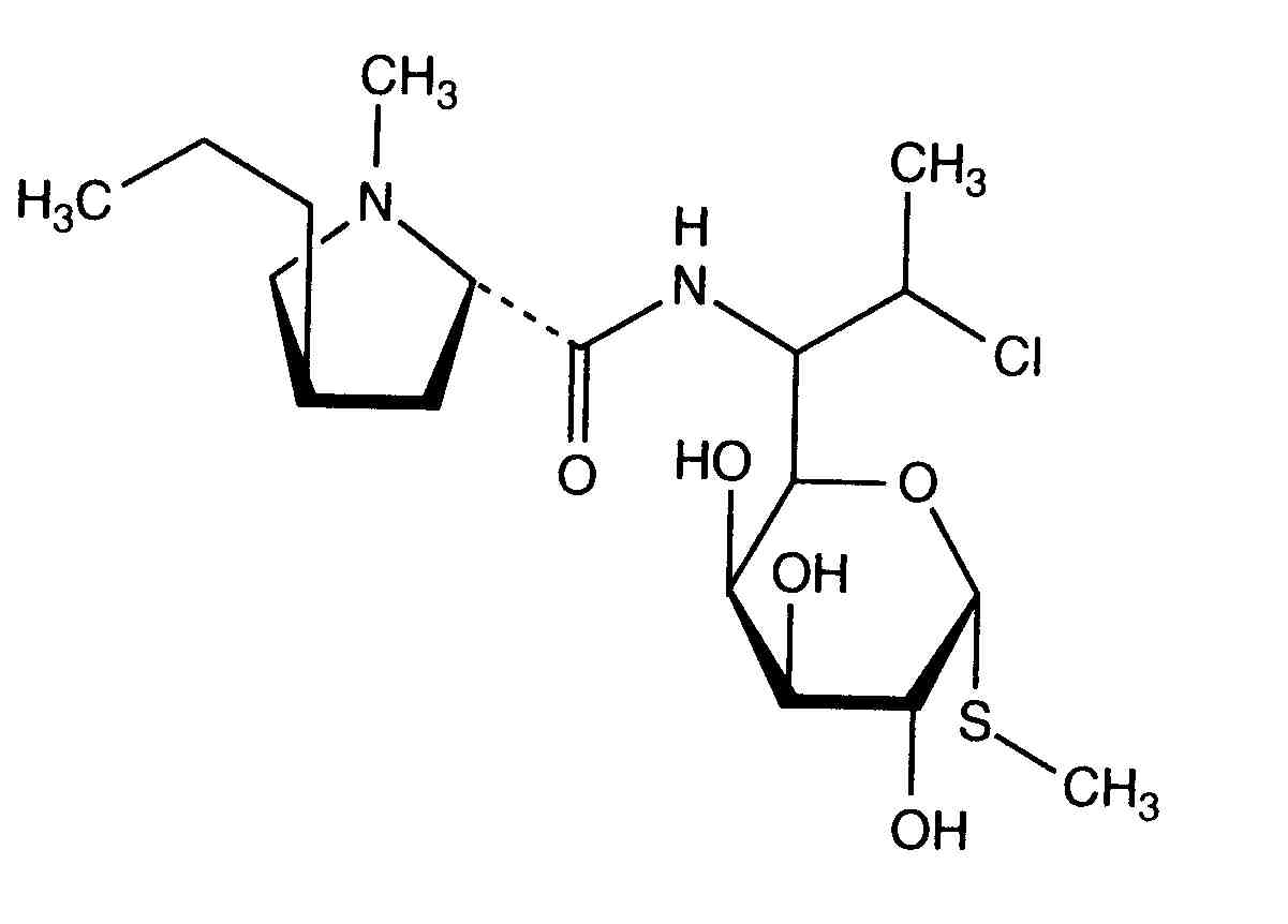
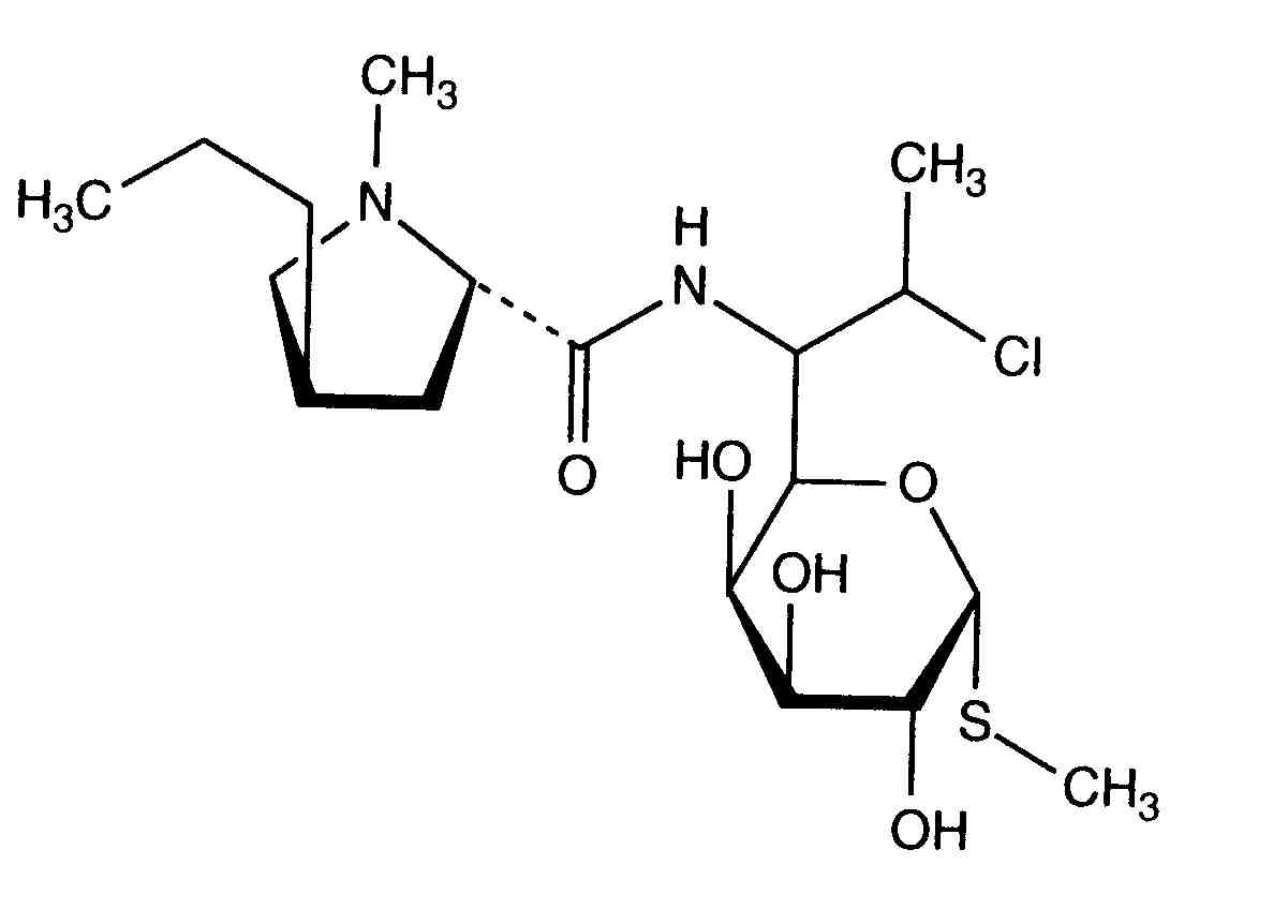
   化学構造  

商品名   商品名     

商品名、賦形剤は国、製薬会社ごとに異なることがあります

Biodaclin メキシコ
Camyda インド
Cinbiot メキシコ
Cleocin アメリカ, オーストリア, トルコ
Clinamsa メキシコ
Clinbac コロンビア, ペルー
Clincina ポルトガル
Clinda-Saar ドイツ
Clindacid ベネズエラ
Clindacin マレーシア
Clindalaf アルゼンチン
Clindamicina アルゼンチン, イタリア, エクアドル, コロンビア, スペイン, チリ, ブラジル, ベネズエラ, ペルー, ポルトガル, メキシコ
Clindamycin アメリカ, イラン, オーストリア, カナダ, サウジアラビア, スウェーデン, ドイツ, ノルウェー, ルーマニア
Clindamycin-Hameln ドイツ
Clindamycine オランダ, チュニジア, フランス, ベルギー
Clindanovag アルゼンチン
Clindarix ブラジル
Clindasol ドイツ
Clindaval ベネズエラ
Clindazyn メキシコ
Clindo ポーランド
Clysvic メキシコ
Daclin チリ
Dalacin アイスランド, アイルランド, アラブ首長国連邦, アーストラリア, イギリス, イタリア, イラン, インド, エクアドル, エジプト, オランダ, カナダ, ギリシア, コロンビア, サウジアラビア, スイス, スウェーデン, チュニジア, チリ, デンマーク, ニュージーランド, ノルウェー, ハンガリー, フィンランド, ベネズエラ, ベルギー, ポーランド, マレーシア, メキシコ, ルクセンブルグ
Dalacine チュニジア, フランス
Daladic イラン
Dalcinex インド
Damclid インド
Damicin コロンビア, メキシコ
Damicine コロンビア
Dolarclin コロンビア
Euroclin エクアドル, コロンビア
Gynasafe インド
Indamid メキシコ
Klimicin ポーランド
Klindan トルコ
Klindaver トルコ
Lanacine オーストリア
Lincocin マレーシア
Lincosa マレーシア
Meneklin トルコ
Sobelin ドイツ
Tidact マレーシア
互換性   注射薬   互換性 : Clindamycin phosphate              
This screen indicates the compatibilities or incompatibilities with, in this case, the type of incompatibility (precipitation, color change, modification of an emulsion, etc.). The compatibilities shown here are mostly physical only, with the chemical stability of each molecule rarely being assessed. The evaluation of these mixtures was studied to consider the possibility of Y-site administration to the patient. These data cannot be used for making mixtures in advance in bags or syringes. This type of information is available in the screen "Stability in mixture ».
化合物 溶媒 引用文献
対応
注射薬 Clindamycin phosphate 12 mg/ml
注射薬 Aciclovir sodium 5 mg/ml
グルコース5% 336
即時降水 非互換
注射薬 Clindamycin phosphate 10 mg/ml
注射薬 Allopurinol sodium 3 mg/ml
NaCl 0,9% 307
対応
注射薬 Clindamycin phosphate 10 mg/ml
注射薬 Amifostine 10 mg/ml
グルコース5% 3
対応
注射薬 Clindamycin phosphate
注射薬 Amikacin sulfate
NaCl 0,9% 3526
対応
注射薬 Clindamycin phosphate 9 mg/ml
注射薬 Amikacin sulfate 4 mg/ml
NaCl 0,9% 565
対応
注射薬 Clindamycin phosphate 9 mg/ml
注射薬 Amikacin sulfate 4 mg/ml
グルコース5% 565
対応
注射薬 Clindamycin phosphate
注射薬 Amikacin sulfate
グルコース5% 3526
対応
注射薬 Clindamycin phosphate 90 mg/ml
注射薬 Amikacin sulfate 75 mg/ml
NaCl 0,9% 639
不特定の非互換性 非互換
注射薬 Clindamycin phosphate
注射薬 Aminophylline
3526
対応
注射薬 Clindamycin phosphate 6 mg/ml
注射薬 Amiodarone hydrochloride 4 mg/ml
NaCl 0,9% 385
対応
注射薬 Clindamycin phosphate 6 mg/ml
注射薬 Amiodarone hydrochloride 4 mg/ml
グルコース5% 385
1時間で濁り 非互換
注射薬 Clindamycin phosphate 150 mg/ml
注射薬 Amoxicillin sodium / clavulanic acid 100/10 mg/ml
3824
対応
注射薬 Clindamycin phosphate 10 mg/ml
注射薬 Amphotericin B cholesteryl sulfate complex 0.83 mg/ml
グルコース5% 921
不特定の非互換性 非互換
注射薬 Clindamycin phosphate
注射薬 Ampicillin sodium
3526
対応
注射薬 Clindamycin phosphate
グルコース5% 3526
不特定の非互換性 非互換
注射薬 Clindamycin phosphate
注射薬 Amobarbital sodium
3526
対応
注射薬 Clindamycin phosphate 10 mg/ml
注射薬 Amsacrine 1 mg/ml
グルコース5% 253
対応
注射薬 Clindamycin phosphate 10 mg/ml
注射薬 Anidulafungin 0.5 mg/ml
グルコース5% 1982
pH> 1pH単位の変更 非互換
注射薬 Clindamycin phosphate 9 mg/ml
注射薬 Atosiban 0,75 mg/ml
4642
対応
注射薬 Clindamycin phosphate 6 mg/ml
注射薬 Aztreonam 10 mg/ml
グルコース5% 419
対応
注射薬 Clindamycin phosphate 9 mg/ml
注射薬 Aztreonam 20 mg/ml
グルコース5% 432
対応
注射薬 Clindamycin phosphate 60 mg/ml
注射薬 Aztreonam 200 mg/ml
NaCl 0,9% 644
対応
注射薬 Clindamycin phosphate
注射薬 Aztreonam
NaCl 0,9% 3526
対応
注射薬 Clindamycin phosphate 3 mg/ml
注射薬 Aztreonam 10 mg/ml
グルコース5% 419
対応
注射薬 Clindamycin phosphate
注射薬 Aztreonam
グルコース5% 3526
対応
注射薬 Clindamycin phosphate 24 mg/ml
非経口的栄養(二元混合物) 3379
即時降水 非互換
注射薬 Clindamycin phosphate 30 mg/ml
注射薬 Azithromycine 2 mg/ml
NaCl 0,9% 1800
対応
注射薬 Clindamycin phosphate 3 mg/ml
非経口的栄養(二元混合物) 1055
対応
注射薬 Clindamycin phosphate 6 mg/ml
注射薬 Aztreonam 20 mg/ml
NaCl 0,9% 419
対応
注射薬 Clindamycin phosphate 3 mg/ml
注射薬 Aztreonam 20 mg/ml
NaCl 0,9% 419
対応
注射薬 Clindamycin phosphate 3 mg/ml
注射薬 Aztreonam 20 mg/ml
グルコース5% 419
対応
注射薬 Clindamycin phosphate 6 mg/ml
注射薬 Aztreonam 20 mg/ml
グルコース5% 419
対応
注射薬 Clindamycin phosphate 10 mg/ml
注射薬 Aztreonam 40 mg/ml
グルコース5% 99
対応
注射薬 Clindamycin phosphate 3 mg/ml
注射薬 Aztreonam 10 mg/ml
NaCl 0,9% 419
対応
注射薬 Clindamycin phosphate 6 mg/ml
注射薬 Aztreonam 10 mg/ml
NaCl 0,9% 419
対応
注射薬 Clindamycin phosphate 9 mg/ml
注射薬 Aztreonam 20 mg/ml
NaCl 0,9% 432
対応
注射薬 Clindamycin phosphate 10 mg/ml
注射薬 Bivalirudin 5 mg/ml
グルコース5% 1713
対応
注射薬 Clindamycin phosphate 150 mg/ml
注射薬 Caffeine 10 mg/ml
なし 3964
不特定の非互換性 非互換
注射薬 Clindamycin phosphate
注射薬 Calcium gluconate
3644
不特定の非互換性 非互換
注射薬 Clindamycin phosphate
注射薬 Calcium gluconate
3526
非互換
注射薬 Clindamycin phosphate
注射薬 Calcium gluconate
4964
即時降水 非互換
注射薬 Clindamycin phosphate 10 mg/ml
注射薬 Caspofungin acetate 0,7 mg/ml
NaCl 0,9% 2247
即時降水 非互換
注射薬 Clindamycin phosphate 60 mg/ml
注射薬 Caspofungin acetate 0.5 mg/ml
NaCl 0,9% 2233
対応
注射薬 Clindamycin phosphate 9 mg/ml
注射薬 Cefamandole nafate 10 mg/ml
グルコース5% 418
対応
注射薬 Clindamycin phosphate
注射薬 Cefamandole nafate
NaCl 0,9% 3526
対応
注射薬 Clindamycin phosphate 9 mg/ml
注射薬 Cefamandole nafate 10 mg/ml
NaCl 0,9% 418
対応
注射薬 Clindamycin phosphate
注射薬 Cefamandole nafate
グルコース5% 3526
対応
注射薬 Clindamycin phosphate 9 mg/ml
注射薬 Cefazolin sodium 10 mg/ml
NaCl 0,9% 418
対応
注射薬 Clindamycin phosphate
注射薬 Cefazolin sodium
NaCl 0,9% 3526
対応
注射薬 Clindamycin phosphate 9 mg/ml
注射薬 Cefazolin sodium 10 mg/ml
グルコース5% 418
対応
注射薬 Clindamycin phosphate 0,25 & 6 mg/ml
注射薬 Cefepime dihydrochloride 4 & 40 mg/ml
グルコース5% 3548
対応
注射薬 Clindamycin phosphate 10 mg/ml
注射薬 Cefiderocol sulfate tosylate 20 mg/mL
グルコース5% 4528
対応
注射薬 Clindamycin phosphate 12 mg/ml
注射薬 Cefoperazone sodium 20 mg/ml
グルコース5% 644
不特定の非互換性 非互換
注射薬 Clindamycin phosphate
NaHCO3 3526
対応
注射薬 Clindamycin phosphate 12 mg/ml
注射薬 Cefonicid sodium 10 mg/ml
NaCl 0,9% 644
対応
注射薬 Clindamycin phosphate 10 mg/ml
非経口的栄養(二元混合物) 301
対応
注射薬 Clindamycin phosphate
注射薬 Cefazolin sodium
グルコース5% 3526
対応
注射薬 Clindamycin phosphate 0,25 & 6 mg/ml
注射薬 Cefepime dihydrochloride 4 & 40 mg/ml
NaCl 0,9% 3548
対応
注射薬 Clindamycin phosphate 10 mg/ml
注射薬 Cefiderocol sulfate tosylate 20 mg/mL
NaCl 0,9% 4528
対応
注射薬 Clindamycin phosphate 12 mg/ml
注射薬 Cefonicid sodium 10 mg/ml
グルコース5% 644
対応
注射薬 Clindamycin phosphate 12 mg/ml
注射薬 Cefoperazone sodium 20 mg/ml
NaCl 0,9% 644
対応
注射薬 Clindamycin phosphate 150 mg/ml
非経口的栄養(二元混合物) 999
対応
注射薬 Clindamycin phosphate
注射薬 Cefotaxime sodium
グルコース5% 3526
対応
注射薬 Clindamycin phosphate 9 mg/ml
注射薬 Cefotaxime sodium 20 mg/ml
グルコース5% 421
対応
注射薬 Clindamycin phosphate 9 mg/ml
注射薬 Cefotaxime sodium 20 mg/ml
NaCl 0,9% 421
対応
注射薬 Clindamycin phosphate
注射薬 Cefotaxime sodium
NaCl 0,9% 3526
対応
注射薬 Clindamycin phosphate
注射薬 Cefoxitin sodium
NaCl 0,9% 3526
対応
注射薬 Clindamycin phosphate 9 mg/ml
注射薬 Cefoxitin sodium 20 mg/ml
グルコース5% 418
対応
注射薬 Clindamycin phosphate 9 mg/ml
注射薬 Cefoxitin sodium 20 mg/ml
NaCl 0,9% 418
対応
注射薬 Clindamycin phosphate
注射薬 Cefoxitin sodium
グルコース5% 3526
対応
注射薬 Clindamycin phosphate 12 mg/ml
注射薬 Cefpirome sulfate 50 mg/ml
NaCl 0,9% 280
対応
注射薬 Clindamycin phosphate 12 mg/ml
注射薬 Cefpirome sulfate 50 mg/ml
NaCl 0.45% 280
対応
注射薬 Clindamycin phosphate 12 mg/ml
注射薬 Cefpirome sulfate 50 mg/ml
グルコース5% 280
対応
注射薬 Clindamycin phosphate 12 mg/ml
注射薬 Cefpirome sulfate 50 mg/ml
乳酸リンゲル 280
対応
注射薬 Clindamycin phosphate 10 mg/ml
注射薬 Ceftaroline fosamil 2,22 mg/ml
乳酸リンゲル 3249
対応
注射薬 Clindamycin phosphate
注射薬 Ceftazidime
グルコース5% 3526
対応
注射薬 Clindamycin phosphate 9 mg/ml
注射薬 Ceftizoxime sodium 20 mg/ml
NaCl 0,9% 418
対応
注射薬 Clindamycin phosphate
注射薬 Ceftizoxime sodium
グルコース5% 3526
対応
注射薬 Clindamycin phosphate 10 mg/ml
注射薬 Ceftobiprole medocaril sodium 2 mg/ml
NaCl 0,9% 2269
対応
注射薬 Clindamycin phosphate 10 mg/ml
注射薬 Ceftobiprole medocaril sodium 2 mg/ml
グルコース5% 2269
対応
注射薬 Clindamycin phosphate 10 mg/ml
注射薬 Ceftobiprole medocaril sodium 2 mg/ml
乳酸リンゲル 2269
対応
注射薬 Clindamycin phosphate 5,77 mg/ml
非経口的栄養(脂肪含む) 4440
対応
注射薬 Clindamycin phosphate 1.2 mg/ml
注射薬 Cimetidine hydrochloride 1.2 & 5 mg/ml
グルコース5% 1201
対応
注射薬 Clindamycin phosphate 1.2 mg/ml
注射薬 Cimetidine hydrochloride 1.2 & 5 mg/ml
NaCl 0,9% 1201
即時降水 非互換
注射薬 Clindamycin phosphate 7 mg/ml
注射薬 Ciprofloxacin lactate 1.5 mg/ml
グルコース5% 434
対応
注射薬 Clindamycin phosphate 10 mg/ml
注射薬 Cisatracurium besylate 0.1 >> 5 mg/ml
グルコース5% 299
対応
注射薬 Clindamycin phosphate 150 mg/ml
注射薬 Cloxacillin sodium 100 mg/ml
注射用水 3012
対応
注射薬 Clindamycin phosphate 10 mg/ml
注射薬 Docetaxel 0.9 mg/ml
グルコース5% 1754
気泡の生成 非互換
注射薬 Clindamycin phosphate 10 mg/ml
注射薬 Doxapram hydrochloride 2 mg/ml
グルコース5% 1802
対応
注射薬 Clindamycin phosphate 10 mg/ml
注射薬 Doxorubicin hydrochloride liposome peg 0.4 mg/ml
グルコース5% 251
対応
注射薬 Clindamycin phosphate 9 mg/ml
注射薬 Esmolol hydrochloride 10 mg/ml
グルコース5% 384
対応
注射薬 Clindamycin phosphate 9 mg/ml
注射薬 Fentanyl citrate 50 µg/ml
グルコース5% 63
対応
注射薬 Clindamycin phosphate 10 mg/ml
非経口的栄養(脂肪含む) 3967
対応
注射薬 Clindamycin phosphate 10 mg/ml
注射薬 Ceftaroline fosamil 2,22 mg/ml
グルコース5% 3249
対応
注射薬 Clindamycin phosphate 10 mg/ml
注射薬 Ceftaroline fosamil 2,22 mg/ml
NaCl 0,9% 3249
対応
注射薬 Clindamycin phosphate 9 mg/ml
注射薬 Ceftazidime 20 mg/ml
グルコース5% 432
対応
注射薬 Clindamycin phosphate
注射薬 Ceftazidime
NaCl 0,9% 3526
対応
注射薬 Clindamycin phosphate 9 mg/ml
注射薬 Ceftazidime 20 mg/ml
NaCl 0,9% 432
対応
注射薬 Clindamycin phosphate 10 mg/ml
非経口的栄養(脂肪含む) 1415
対応
注射薬 Clindamycin phosphate 9 mg/ml
注射薬 Ceftizoxime sodium 20 mg/ml
グルコース5% 418
対応
注射薬 Clindamycin phosphate
注射薬 Ceftizoxime sodium
NaCl 0,9% 3526
化学的不安定性 非互換
注射薬 Clindamycin phosphate 12 mg/ml
注射薬 Ceftriaxone disodium 20 mg/ml
グルコース5% 432
不特定の非互換性 非互換
注射薬 Clindamycin phosphate
注射薬 Ceftriaxone disodium
3526
化学的不安定性 非互換
注射薬 Clindamycin phosphate 12 mg/ml
注射薬 Ceftriaxone disodium 20 mg/ml
NaCl 0,9% 432
対応
注射薬 Clindamycin phosphate 9 mg/ml
注射薬 Cefuroxime sodium 15 mg/ml
NaCl 0,9% 644
対応
注射薬 Clindamycin phosphate 9 mg/ml
注射薬 Cefuroxime sodium 15 mg/ml
グルコース5% 644
即時降水 非互換
注射薬 Clindamycin phosphate 7 mg/ml
注射薬 Ciprofloxacin lactate 1.5 mg/ml
NaCl 0,9% 434
不特定の非互換性 非互換
注射薬 Clindamycin phosphate
注射薬 Ciprofloxacin lactate
3526
対応
注射薬 Clindamycin phosphate 10 mg/ml
注射薬 Dexmedetomidine 4 µg/ml
NaCl 0,9% 1712
対応
注射薬 Clindamycin phosphate 12 & 150 mg/ml
注射薬 Diltiazem hydrochloride 5 mg/ml
NaCl 0,9% 198
対応
注射薬 Clindamycin phosphate
注射薬 Dimenhydrinate
2087
対応
注射薬 Clindamycin phosphate 9 mg/ml
注射薬 Enalaprilate 0.05 mg/ml
NaCl 0,9% 1315
対応
注射薬 Clindamycin phosphate 10 mg/ml
注射薬 Etoposide phosphate 5 mg/ml
グルコース5% 1410
対応
注射薬 Clindamycin phosphate 10 mg/ml
注射薬 Fenoldopam mesylate 80 µg/ml
NaCl 0,9% 1803
即時降水 非互換
注射薬 Clindamycin phosphate 10 mg/ml
注射薬 Filgrastim 30 µg/ml
グルコース5% 244
対応
注射薬 Clindamycin phosphate 12 mg/ml
注射薬 Fluconazole 2 mg/ml
なし 256
即時降水 非互換
注射薬 Clindamycin phosphate 24 mg/ml
注射薬 Fluconazole 2 mg/ml
NaCl 0,9% 496
対応
注射薬 Clindamycin phosphate 10 mg/ml
注射薬 Fludarabine phosphate 1 mg/ml
グルコース5% 492
対応
注射薬 Clindamycin phosphate 12 mg/ml
注射薬 Foscarnet sodium 24 mg/ml
グルコース5% 1135
対応
注射薬 Clindamycin phosphate 24 mg/ml
注射薬 Foscarnet sodium 24 mg/ml
なし 73
対応
注射薬 Clindamycin phosphate 12 mg/ml
注射薬 Foscarnet sodium 24 mg/ml
NaCl 0,9% 1135
対応
注射薬 Clindamycin phosphate 10 mg/ml
注射薬 Gemcitabine hydrochloride 10 mg/ml
NaCl 0,9% 1423
対応
注射薬 Clindamycin phosphate
注射薬 Gentamicin sulfate
グルコース5% 3526
対応
注射薬 Clindamycin phosphate 90 mg/ml
注射薬 Gentamicin sulfate 12 mg/ml
NaCl 0,9% 639
対応
注射薬 Clindamycin phosphate 6 mg/ml
注射薬 Gentamicin sulfate 0.67 mg/ml
グルコース5% 423
対応
注射薬 Clindamycin phosphate
注射薬 Gentamicin sulfate
NaCl 0,9% 3526
対応
注射薬 Clindamycin phosphate 10 mg/ml
注射薬 Granisetron hydrochloride 0.05 mg/ml
グルコース5% 182
対応
注射薬 Clindamycin phosphate 12 mg/ml
注射薬 Heparin sodium 50 UI/ml
なし 317
対応
注射薬 Clindamycin phosphate 10 mg/ml
注射薬 Hetastarch 60 mg/ml
特定の溶媒 1721
対応
注射薬 Clindamycin phosphate 12 mg/ml
注射薬 Hydromorphone hydrochloride 0.2 mg/ml
グルコース5% 405
不特定の非互換性 非互換
注射薬 Clindamycin phosphate
注射薬 Idarubicin hydrochloride
3526
即時降水 非互換
注射薬 Clindamycin phosphate 12 mg/ml
注射薬 Idarubicin hydrochloride 1 mg/ml
NaCl 0,9% 491
対応
注射薬 Clindamycin phosphate 150 mg/ml
注射薬 Ketamine hydrochloride 50 mg/ml
2109
対応
注射薬 Clindamycin phosphate 9 mg/ml
注射薬 Labetalol hydrochloride 1 mg/ml
グルコース5% 386
即時降水 非互換
注射薬 Clindamycin phosphate 10 mg/ml
注射薬 Lansoprazole 0.55 mg/ml
NaCl 0,9% 1625
対応
注射薬 Clindamycin phosphate 150 mg/ml
注射薬 Levofloxacine 5 mg/ml
グルコース5% 1072
対応
注射薬 Clindamycin phosphate 10 mg/ml
注射薬 Linezolid 2 mg/ml
なし 1925
不特定の非互換性 非互換
注射薬 Clindamycin phosphate
注射薬 Magnesium chloride
5012
不特定の非互換性 非互換
注射薬 Clindamycin phosphate
注射薬 Magnesium sulfate
3838
対応
注射薬 Clindamycin phosphate 12 mg/ml
注射薬 Magnesium sulfate 16.67 >> 100 mg/ml
グルコース5% 1047
不特定の非互換性 非互換
注射薬 Clindamycin phosphate
注射薬 Magnesium sulfate
3526
対応
注射薬 Clindamycin phosphate 10 mg/ml
注射薬 Melphalan 0.1 mg/ml
NaCl 0,9% 169
対応
注射薬 Clindamycin phosphate 150 mg/ml
注射薬 Meropenem 50 mg/ml
注射用水 4319
不特定の非互換性 非互換
注射薬 Clindamycin phosphate
注射薬 Methohexital sodium
3526
対応
注射薬 Clindamycin phosphate 10 mg/ml
注射薬 Metronidazole 5 mg/ml
なし 1035
対応
注射薬 Clindamycin phosphate
注射薬 Metronidazole
3594
対応
注射薬 Clindamycin phosphate 9 mg/ml
注射薬 Midazolam hydrochloride 1 mg/ml
グルコース5% 176
対応
注射薬 Clindamycin phosphate 12 mg/ml
注射薬 Morphine sulfate 1 mg/ml
グルコース5% 405
対応
注射薬 Clindamycin phosphate 150 mg/ml
注射薬 N-acetylcysteine 200 mg/ml
なし 3766
対応
注射薬 Clindamycin phosphate 150 mg/ml
注射薬 Naloxone hydrochloride 0.4 mg/ml
なし 3408
対応
注射薬 Clindamycin phosphate
注射薬 Netilmicin sulfate
NaCl 0,9% 3526
対応
注射薬 Clindamycin phosphate 9 mg/ml
注射薬 Netilmicin sulfate 3 mg/ml
グルコース5% 421
対応
注射薬 Clindamycin phosphate 9 mg/ml
注射薬 Netilmicin sulfate 3 mg/ml
NaCl 0,9% 421
対応
注射薬 Clindamycin phosphate
注射薬 Netilmicin sulfate
グルコース5% 3526
対応
注射薬 Clindamycin phosphate 9 mg/ml
注射薬 Nicardipine hydrochloride 0.1 mg/ml
NaCl 0,9% 1490
対応
注射薬 Clindamycin phosphate 9 mg/ml
注射薬 Nicardipine hydrochloride 0.1 mg/ml
グルコース5% 1490
対応
注射薬 Clindamycin phosphate 6 mg/ml
注射薬 Ofloxacin 2 mg/ml
なし 889
対応
注射薬 Clindamycin phosphate 10 mg/ml
注射薬 Ondansetron hydrochloride 1 mg/ml
NaCl 0,9% 334
1時間後の降水 非互換
注射薬 Clindamycin phosphate 12 mg/ml
注射薬 Oritavancin 0.8 >>2 mg/ml
グルコース5% 3152
1時間後の降水 非互換
注射薬 Clindamycin phosphate
注射薬 Pantoprazole sodium
2090
対応
注射薬 Clindamycin phosphate 150 mg/ml
注射薬 Paracetamol 10 mg/ml
4742
対応
注射薬 Clindamycin phosphate 10 mg/ml
注射薬 Paracetamol 10 mg/ml
なし 3571
対応
注射薬 Clindamycin phosphate 10 mg/ml
注射薬 Pemetrexed disodium 20 mg/ml
NaCl 0,9% 1953
不特定の非互換性 非互換
注射薬 Clindamycin phosphate
注射薬 Pentobarbital sodium
3526
対応
注射薬 Clindamycin phosphate 12 mg/ml
注射薬 Pethidine hydrochloride 10 mg/ml
グルコース5% 405
不特定の非互換性 非互換
注射薬 Clindamycin phosphate
注射薬 Phenobarbital sodium
3526
不特定の非互換性 非互換
注射薬 Clindamycin phosphate
注射薬 Phenytoin sodium
3526
対応
注射薬 Clindamycin phosphate 18 mg/ml
注射薬 Phloroglucinol 2,5 mg/ml
3791
対応
注射薬 Clindamycin phosphate
注射薬 Piperacillin sodium
グルコース5% 3526
対応
注射薬 Clindamycin phosphate
注射薬 Piperacillin sodium
NaCl 0,9% 3526
対応
注射薬 Clindamycin phosphate 9 mg/ml
注射薬 Piperacillin sodium 40 mg/ml
グルコース5% 432
対応
注射薬 Clindamycin phosphate 9 mg/ml
注射薬 Piperacillin sodium 40 mg/ml
NaCl 0,9% 432
対応
注射薬 Clindamycin phosphate 10 mg/ml
注射薬 Piperacillin sodium / tazobactam 40/5 mg/ml
グルコース5% 81
すぐに濁り 非互換
注射薬 Clindamycin phosphate 150 mg/ml
注射薬 Salbutamol sulfate 1 mg/ml
なし 3216
不特定の非互換性 非互換
注射薬 Clindamycin phosphate
注射薬 Sodium bicarbonate
3526
即時降水 非互換
注射薬 Clindamycin phosphate 12 mg/ml
注射薬 Temocilline 83.33 mg/ml
注射用水 2231
対応
注射薬 Clindamycin phosphate 10 mg/ml
注射薬 Teniposide 0.1 mg/ml
グルコース5% 905
不特定の非互換性 非互換
注射薬 Clindamycin phosphate
注射薬 Thiopental sodium
3526
対応
注射薬 Clindamycin phosphate
NaCl 0,9% 3526
対応
注射薬 Clindamycin phosphate 10 mg/ml
注射薬 Propofol 10 mg/ml
なし 300
不特定の非互換性 非互換
注射薬 Clindamycin phosphate
注射薬 Ranitidine hydrochloride
3526
対応
注射薬 Clindamycin phosphate 10 mg/ml
注射薬 Remifentanil hydrochloride 25 & 250 µg/ml
NaCl 0,9% 59
対応
注射薬 Clindamycin phosphate 10 mg/ml
注射薬 Sargramostim 10 µg/ml
NaCl 0,9% 335
対応
注射薬 Clindamycin phosphate 12 mg/ml
注射薬 Tacrolimus 1000 µg/ml
NaCl 0,9% 479
対応
注射薬 Clindamycin phosphate 12 mg/ml
注射薬 Theophylline 4 mg/ml
なし 317
即時降水 非互換
注射薬 Clindamycin phosphate 150 mg/ml
注射薬 Thiopental sodium 25 mg/ml
NaCl 0,9% 3767
対応
注射薬 Clindamycin phosphate 10 mg/ml
注射薬 Thiotepa 1 mg/ml
グルコース5% 249
対応
注射薬 Clindamycin phosphate
注射薬 Tobramycin sulfate
NaCl 0,9% 3526
即時降水 非互換
注射薬 Clindamycin phosphate 90 mg/ml
注射薬 Tobramycin sulfate 12 mg/ml
NaCl 0,9% 639
対応
注射薬 Clindamycin phosphate
注射薬 Tobramycin sulfate
グルコース5% 3526
2時間後の降水 非互換
注射薬 Clindamycin phosphate 6 mg/ml
注射薬 Tramadol hydrochloride 0,4 mg/ml
NaCl 0,9% 2002
対応
注射薬 Clindamycin phosphate 1.2 mg/ml
注射薬 Verapamil hydrochloride 0.08 mg/ml
NaCl 0,9% 1057
対応
注射薬 Clindamycin phosphate 1.2 mg/ml
注射薬 Verapamil hydrochloride 0.08 mg/ml
グルコース5% 1057
対応
注射薬 Clindamycin phosphate 10 mg/ml
注射薬 Vinorelbine tartrate 1 mg/ml
NaCl 0,9% 84
対応
注射薬 Clindamycin phosphate 12 mg/ml
注射薬 Zidovudine 4 mg/ml
グルコース5% 337

  Mentions Légales