Son güncelleme :
18/03/2026
Antibiyotik   Clindamycin phosphate  
Enjeksiyon
Çözeltilerin stabilitesi Karışımlardaki stabilitesi Stabiliteyi etkileyen faktörler Uyumluluk Uygulama yöntemi Kaynaklar pdf
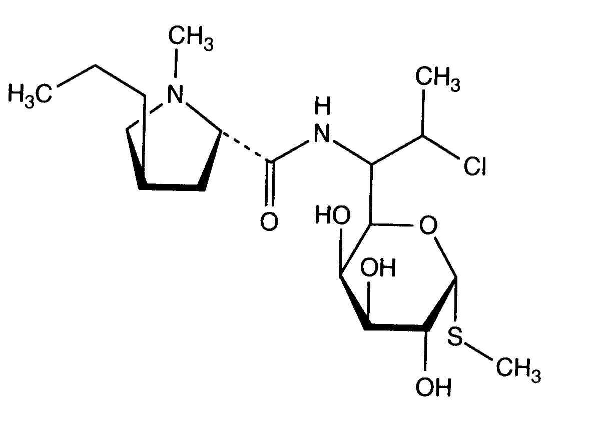
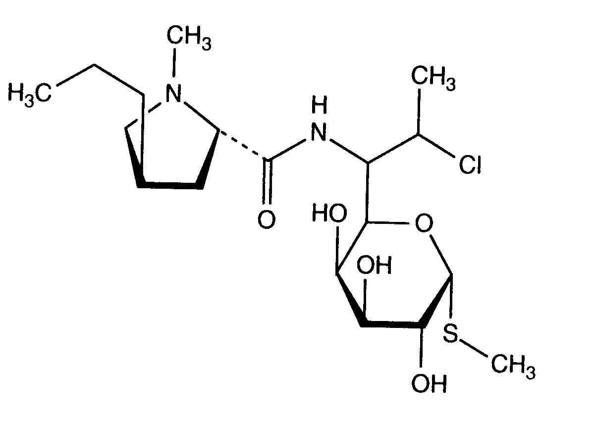
   Kimyasal yapı   

Ticari isim   Ticari isim     

Trade names are indicative and excipients composition can be different depending on the country and manufacturers

Biodaclin Meksika
Camyda Hindistan
Cinbiot Meksika
Cleocin Amerika Birleşik Devletleri, Avusturya, Türkiye
Clinamsa Meksika
Clinbac Kolombiya, Peru
Clincina Portekiz
Clinda-Saar Almanya
Clindacid Venezuela
Clindacin Malezya
Clindalaf Arjantin
Clindamicina Arjantin, Brezilya, Ekvador, İspanya, İtalya, Kolombiya, Meksika, Peru, Portekiz, Şili, Venezuela
Clindamycin Almanya, Amerika Birleşik Devletleri, Avusturya, İran, İsveç, Kanada, Norveç, Romanya, Suudi Arabistan
Clindamycin-Hameln Almanya
Clindamycine Belçika, Fransa, Hollanda, Tunus
Clindanovag Arjantin
Clindarix Brezilya
Clindasol Almanya
Clindaval Venezuela
Clindazyn Meksika
Clindo Polonya
Clysvic Meksika
Daclin Şili
Dalacin Avustralya, Belçika, Birleşik Arap Emirlikleri, Büyük Britanya, Danimarka, Ekvador, Finlandiya, Hindistan, Hollanda, İran, İrlanda, İsveç, İsviçre, İtalya, İzlanda, Kanada, Kolombiya, Lüksemburg, Macaristan, Malezya, Meksika, Mısır, Norveç, Polonya, Şili, Suudi Arabistan, Tunus, Venezuela, yeni Zelanda, Yunanistan
Dalacine Fransa, Tunus
Daladic İran
Dalcinex Hindistan
Damclid Hindistan
Damicin Kolombiya, Meksika
Damicine Kolombiya
Dolarclin Kolombiya
Euroclin Ekvador, Kolombiya
Gynasafe Hindistan
Indamid Meksika
Klimicin Polonya
Klindan Türkiye
Klindaver Türkiye
Lanacine Avusturya
Lincocin Malezya
Lincosa Malezya
Meneklin Türkiye
Sobelin Almanya
Tidact Malezya
Uyumluluk   Enjeksiyon    Uyumluluk : Clindamycin phosphate              
Bu ekran, bu durumda uyumsuzluk tipiyle (çökelme, renk değişimi, bir emülsiyonun modifikasyonu, vb.) Uyumlulukları veya uyumsuzlukları gösterir. Burada gösterilen uyumluluklar çoğunlukla yalnızca fizikseldir ve her molekülün kimyasal stabilitesi nadiren değerlendirilir. Bu karışımların değerlendirilmesi, hastaya Y bölgesi uygulama olasılığını göz önünde bulundurmak için çalışıldı. Bu veriler önceden torba veya şırıngalarda karışım yapmak için kullanılamaz. Bu tür bilgiler "Karışımda stabilite" ekranında mevcuttur.
Bileşik Çözücü Kaynaklar
Uyumlu
Enjeksiyon Clindamycin phosphate 12 mg/ml
Enjeksiyon Aciclovir sodium 5 mg/ml
Glukoz %5 336
Acil yağış uyumsuz
Enjeksiyon Clindamycin phosphate 10 mg/ml
Enjeksiyon Allopurinol sodium 3 mg/ml
Sodyum klorür % 0,9 307
Uyumlu
Enjeksiyon Clindamycin phosphate 10 mg/ml
Enjeksiyon Amifostine 10 mg/ml
Glukoz %5 3
Uyumlu
Enjeksiyon Clindamycin phosphate
Enjeksiyon Amikacin sulfate
Sodyum klorür % 0,9 3526
Uyumlu
Enjeksiyon Clindamycin phosphate 9 mg/ml
Enjeksiyon Amikacin sulfate 4 mg/ml
Sodyum klorür % 0,9 565
Uyumlu
Enjeksiyon Clindamycin phosphate 9 mg/ml
Enjeksiyon Amikacin sulfate 4 mg/ml
Glukoz %5 565
Uyumlu
Enjeksiyon Clindamycin phosphate
Enjeksiyon Amikacin sulfate
Glukoz %5 3526
Uyumlu
Enjeksiyon Clindamycin phosphate 90 mg/ml
Enjeksiyon Amikacin sulfate 75 mg/ml
Sodyum klorür % 0,9 639
Belirtilmemiş uyumsuzluk uyumsuz
Enjeksiyon Clindamycin phosphate
Enjeksiyon Aminophylline
3526
Uyumlu
Enjeksiyon Clindamycin phosphate 6 mg/ml
Enjeksiyon Amiodarone hydrochloride 4 mg/ml
Sodyum klorür % 0,9 385
Uyumlu
Enjeksiyon Clindamycin phosphate 6 mg/ml
Enjeksiyon Amiodarone hydrochloride 4 mg/ml
Glukoz %5 385
Bir saat içinde bulanıklık uyumsuz
Enjeksiyon Clindamycin phosphate 150 mg/ml
Enjeksiyon Amoxicillin sodium / clavulanic acid 100/10 mg/ml
3824
Uyumlu
Enjeksiyon Clindamycin phosphate 10 mg/ml
Enjeksiyon Amphotericin B cholesteryl sulfate complex 0.83 mg/ml
Glukoz %5 921
Belirtilmemiş uyumsuzluk uyumsuz
Enjeksiyon Clindamycin phosphate
Enjeksiyon Ampicillin sodium
3526
Uyumlu
Enjeksiyon Clindamycin phosphate
Glukoz %5 3526
Belirtilmemiş uyumsuzluk uyumsuz
Enjeksiyon Clindamycin phosphate
Enjeksiyon Amobarbital sodium
3526
Uyumlu
Enjeksiyon Clindamycin phosphate 10 mg/ml
Enjeksiyon Amsacrine 1 mg/ml
Glukoz %5 253
Uyumlu
Enjeksiyon Clindamycin phosphate 10 mg/ml
Enjeksiyon Anidulafungin 0.5 mg/ml
Glukoz %5 1982
PH> 1 pH biriminin değiştirilmesi uyumsuz
Enjeksiyon Clindamycin phosphate 9 mg/ml
Enjeksiyon Atosiban 0,75 mg/ml
4642
Uyumlu
Enjeksiyon Clindamycin phosphate 6 mg/ml
Enjeksiyon Aztreonam 10 mg/ml
Glukoz %5 419
Uyumlu
Enjeksiyon Clindamycin phosphate 9 mg/ml
Enjeksiyon Aztreonam 20 mg/ml
Glukoz %5 432
Uyumlu
Enjeksiyon Clindamycin phosphate 60 mg/ml
Enjeksiyon Aztreonam 200 mg/ml
Sodyum klorür % 0,9 644
Uyumlu
Enjeksiyon Clindamycin phosphate
Enjeksiyon Aztreonam
Sodyum klorür % 0,9 3526
Uyumlu
Enjeksiyon Clindamycin phosphate 3 mg/ml
Enjeksiyon Aztreonam 10 mg/ml
Glukoz %5 419
Uyumlu
Enjeksiyon Clindamycin phosphate
Enjeksiyon Aztreonam
Glukoz %5 3526
Uyumlu
Enjeksiyon Clindamycin phosphate 24 mg/ml
Parenteral beslenme (ikili karışım) 3379
Acil yağış uyumsuz
Enjeksiyon Clindamycin phosphate 30 mg/ml
Enjeksiyon Azithromycine 2 mg/ml
Sodyum klorür % 0,9 1800
Uyumlu
Enjeksiyon Clindamycin phosphate 3 mg/ml
Parenteral beslenme (ikili karışım) 1055
Uyumlu
Enjeksiyon Clindamycin phosphate 6 mg/ml
Enjeksiyon Aztreonam 20 mg/ml
Sodyum klorür % 0,9 419
Uyumlu
Enjeksiyon Clindamycin phosphate 3 mg/ml
Enjeksiyon Aztreonam 20 mg/ml
Sodyum klorür % 0,9 419
Uyumlu
Enjeksiyon Clindamycin phosphate 3 mg/ml
Enjeksiyon Aztreonam 20 mg/ml
Glukoz %5 419
Uyumlu
Enjeksiyon Clindamycin phosphate 6 mg/ml
Enjeksiyon Aztreonam 20 mg/ml
Glukoz %5 419
Uyumlu
Enjeksiyon Clindamycin phosphate 10 mg/ml
Enjeksiyon Aztreonam 40 mg/ml
Glukoz %5 99
Uyumlu
Enjeksiyon Clindamycin phosphate 3 mg/ml
Enjeksiyon Aztreonam 10 mg/ml
Sodyum klorür % 0,9 419
Uyumlu
Enjeksiyon Clindamycin phosphate 6 mg/ml
Enjeksiyon Aztreonam 10 mg/ml
Sodyum klorür % 0,9 419
Uyumlu
Enjeksiyon Clindamycin phosphate 9 mg/ml
Enjeksiyon Aztreonam 20 mg/ml
Sodyum klorür % 0,9 432
Uyumlu
Enjeksiyon Clindamycin phosphate 10 mg/ml
Enjeksiyon Bivalirudin 5 mg/ml
Glukoz %5 1713
Uyumlu
Enjeksiyon Clindamycin phosphate 150 mg/ml
Enjeksiyon Caffeine 10 mg/ml
Yok 3964
Belirtilmemiş uyumsuzluk uyumsuz
Enjeksiyon Clindamycin phosphate
Enjeksiyon Calcium gluconate
3644
Belirtilmemiş uyumsuzluk uyumsuz
Enjeksiyon Clindamycin phosphate
Enjeksiyon Calcium gluconate
3526
uyumsuz
Enjeksiyon Clindamycin phosphate
Enjeksiyon Calcium gluconate
4964
Acil yağış uyumsuz
Enjeksiyon Clindamycin phosphate 10 mg/ml
Enjeksiyon Caspofungin acetate 0,7 mg/ml
Sodyum klorür % 0,9 2247
Acil yağış uyumsuz
Enjeksiyon Clindamycin phosphate 60 mg/ml
Enjeksiyon Caspofungin acetate 0.5 mg/ml
Sodyum klorür % 0,9 2233
Uyumlu
Enjeksiyon Clindamycin phosphate 9 mg/ml
Enjeksiyon Cefamandole nafate 10 mg/ml
Glukoz %5 418
Uyumlu
Enjeksiyon Clindamycin phosphate
Enjeksiyon Cefamandole nafate
Sodyum klorür % 0,9 3526
Uyumlu
Enjeksiyon Clindamycin phosphate 9 mg/ml
Enjeksiyon Cefamandole nafate 10 mg/ml
Sodyum klorür % 0,9 418
Uyumlu
Enjeksiyon Clindamycin phosphate
Enjeksiyon Cefamandole nafate
Glukoz %5 3526
Uyumlu
Enjeksiyon Clindamycin phosphate 9 mg/ml
Enjeksiyon Cefazolin sodium 10 mg/ml
Sodyum klorür % 0,9 418
Uyumlu
Enjeksiyon Clindamycin phosphate
Enjeksiyon Cefazolin sodium
Sodyum klorür % 0,9 3526
Uyumlu
Enjeksiyon Clindamycin phosphate 9 mg/ml
Enjeksiyon Cefazolin sodium 10 mg/ml
Glukoz %5 418
Uyumlu
Enjeksiyon Clindamycin phosphate 0,25 & 6 mg/ml
Enjeksiyon Cefepime dihydrochloride 4 & 40 mg/ml
Glukoz %5 3548
Uyumlu
Enjeksiyon Clindamycin phosphate 10 mg/ml
Enjeksiyon Cefiderocol sulfate tosylate 20 mg/mL
Glukoz %5 4528
Uyumlu
Enjeksiyon Clindamycin phosphate 12 mg/ml
Enjeksiyon Cefoperazone sodium 20 mg/ml
Glukoz %5 644
Belirtilmemiş uyumsuzluk uyumsuz
Enjeksiyon Clindamycin phosphate
NaHCO3 3526
Uyumlu
Enjeksiyon Clindamycin phosphate 12 mg/ml
Enjeksiyon Cefonicid sodium 10 mg/ml
Sodyum klorür % 0,9 644
Uyumlu
Enjeksiyon Clindamycin phosphate 10 mg/ml
Parenteral beslenme (ikili karışım) 301
Uyumlu
Enjeksiyon Clindamycin phosphate
Enjeksiyon Cefazolin sodium
Glukoz %5 3526
Uyumlu
Enjeksiyon Clindamycin phosphate 0,25 & 6 mg/ml
Enjeksiyon Cefepime dihydrochloride 4 & 40 mg/ml
Sodyum klorür % 0,9 3548
Uyumlu
Enjeksiyon Clindamycin phosphate 10 mg/ml
Enjeksiyon Cefiderocol sulfate tosylate 20 mg/mL
Sodyum klorür % 0,9 4528
Uyumlu
Enjeksiyon Clindamycin phosphate 12 mg/ml
Enjeksiyon Cefonicid sodium 10 mg/ml
Glukoz %5 644
Uyumlu
Enjeksiyon Clindamycin phosphate 12 mg/ml
Enjeksiyon Cefoperazone sodium 20 mg/ml
Sodyum klorür % 0,9 644
Uyumlu
Enjeksiyon Clindamycin phosphate 150 mg/ml
Parenteral beslenme (ikili karışım) 999
Uyumlu
Enjeksiyon Clindamycin phosphate
Enjeksiyon Cefotaxime sodium
Glukoz %5 3526
Uyumlu
Enjeksiyon Clindamycin phosphate 9 mg/ml
Enjeksiyon Cefotaxime sodium 20 mg/ml
Glukoz %5 421
Uyumlu
Enjeksiyon Clindamycin phosphate 9 mg/ml
Enjeksiyon Cefotaxime sodium 20 mg/ml
Sodyum klorür % 0,9 421
Uyumlu
Enjeksiyon Clindamycin phosphate
Enjeksiyon Cefotaxime sodium
Sodyum klorür % 0,9 3526
Uyumlu
Enjeksiyon Clindamycin phosphate
Enjeksiyon Cefoxitin sodium
Sodyum klorür % 0,9 3526
Uyumlu
Enjeksiyon Clindamycin phosphate 9 mg/ml
Enjeksiyon Cefoxitin sodium 20 mg/ml
Glukoz %5 418
Uyumlu
Enjeksiyon Clindamycin phosphate 9 mg/ml
Enjeksiyon Cefoxitin sodium 20 mg/ml
Sodyum klorür % 0,9 418
Uyumlu
Enjeksiyon Clindamycin phosphate
Enjeksiyon Cefoxitin sodium
Glukoz %5 3526
Uyumlu
Enjeksiyon Clindamycin phosphate 12 mg/ml
Enjeksiyon Cefpirome sulfate 50 mg/ml
Sodyum klorür % 0,9 280
Uyumlu
Enjeksiyon Clindamycin phosphate 12 mg/ml
Enjeksiyon Cefpirome sulfate 50 mg/ml
Sodyum klorür % 0,45 280
Uyumlu
Enjeksiyon Clindamycin phosphate 12 mg/ml
Enjeksiyon Cefpirome sulfate 50 mg/ml
Glukoz %5 280
Uyumlu
Enjeksiyon Clindamycin phosphate 12 mg/ml
Enjeksiyon Cefpirome sulfate 50 mg/ml
Laktatlı ringer 280
Uyumlu
Enjeksiyon Clindamycin phosphate 10 mg/ml
Enjeksiyon Ceftaroline fosamil 2,22 mg/ml
Laktatlı ringer 3249
Uyumlu
Enjeksiyon Clindamycin phosphate
Enjeksiyon Ceftazidime
Glukoz %5 3526
Uyumlu
Enjeksiyon Clindamycin phosphate 9 mg/ml
Enjeksiyon Ceftizoxime sodium 20 mg/ml
Sodyum klorür % 0,9 418
Uyumlu
Enjeksiyon Clindamycin phosphate
Enjeksiyon Ceftizoxime sodium
Glukoz %5 3526
Uyumlu
Enjeksiyon Clindamycin phosphate 10 mg/ml
Enjeksiyon Ceftobiprole medocaril sodium 2 mg/ml
Sodyum klorür % 0,9 2269
Uyumlu
Enjeksiyon Clindamycin phosphate 10 mg/ml
Enjeksiyon Ceftobiprole medocaril sodium 2 mg/ml
Glukoz %5 2269
Uyumlu
Enjeksiyon Clindamycin phosphate 10 mg/ml
Enjeksiyon Ceftobiprole medocaril sodium 2 mg/ml
Laktatlı ringer 2269
Uyumlu
Enjeksiyon Clindamycin phosphate 5,77 mg/ml
Parenteral beslenme (Lipidler) 4440
Uyumlu
Enjeksiyon Clindamycin phosphate 1.2 mg/ml
Enjeksiyon Cimetidine hydrochloride 1.2 & 5 mg/ml
Glukoz %5 1201
Uyumlu
Enjeksiyon Clindamycin phosphate 1.2 mg/ml
Enjeksiyon Cimetidine hydrochloride 1.2 & 5 mg/ml
Sodyum klorür % 0,9 1201
Acil yağış uyumsuz
Enjeksiyon Clindamycin phosphate 7 mg/ml
Enjeksiyon Ciprofloxacin lactate 1.5 mg/ml
Glukoz %5 434
Uyumlu
Enjeksiyon Clindamycin phosphate 10 mg/ml
Enjeksiyon Cisatracurium besylate 0.1 >> 5 mg/ml
Glukoz %5 299
Uyumlu
Enjeksiyon Clindamycin phosphate 150 mg/ml
Enjeksiyon Cloxacillin sodium 100 mg/ml
Enjeksiyonluk su 3012
Uyumlu
Enjeksiyon Clindamycin phosphate 10 mg/ml
Enjeksiyon Docetaxel 0.9 mg/ml
Glukoz %5 1754
Gaz kabarcığı üretimi uyumsuz
Enjeksiyon Clindamycin phosphate 10 mg/ml
Enjeksiyon Doxapram hydrochloride 2 mg/ml
Glukoz %5 1802
Uyumlu
Enjeksiyon Clindamycin phosphate 10 mg/ml
Enjeksiyon Doxorubicin hydrochloride liposome peg 0.4 mg/ml
Glukoz %5 251
Uyumlu
Enjeksiyon Clindamycin phosphate 9 mg/ml
Enjeksiyon Esmolol hydrochloride 10 mg/ml
Glukoz %5 384
Uyumlu
Enjeksiyon Clindamycin phosphate 9 mg/ml
Enjeksiyon Fentanyl citrate 50 µg/ml
Glukoz %5 63
Uyumlu
Enjeksiyon Clindamycin phosphate 10 mg/ml
Parenteral beslenme (Lipidler) 3967
Uyumlu
Enjeksiyon Clindamycin phosphate 10 mg/ml
Enjeksiyon Ceftaroline fosamil 2,22 mg/ml
Glukoz %5 3249
Uyumlu
Enjeksiyon Clindamycin phosphate 10 mg/ml
Enjeksiyon Ceftaroline fosamil 2,22 mg/ml
Sodyum klorür % 0,9 3249
Uyumlu
Enjeksiyon Clindamycin phosphate 9 mg/ml
Enjeksiyon Ceftazidime 20 mg/ml
Glukoz %5 432
Uyumlu
Enjeksiyon Clindamycin phosphate
Enjeksiyon Ceftazidime
Sodyum klorür % 0,9 3526
Uyumlu
Enjeksiyon Clindamycin phosphate 9 mg/ml
Enjeksiyon Ceftazidime 20 mg/ml
Sodyum klorür % 0,9 432
Uyumlu
Enjeksiyon Clindamycin phosphate 10 mg/ml
Parenteral beslenme (Lipidler) 1415
Uyumlu
Enjeksiyon Clindamycin phosphate 9 mg/ml
Enjeksiyon Ceftizoxime sodium 20 mg/ml
Glukoz %5 418
Uyumlu
Enjeksiyon Clindamycin phosphate
Enjeksiyon Ceftizoxime sodium
Sodyum klorür % 0,9 3526
Kimyasal kararsızlık uyumsuz
Enjeksiyon Clindamycin phosphate 12 mg/ml
Enjeksiyon Ceftriaxone disodium 20 mg/ml
Glukoz %5 432
Belirtilmemiş uyumsuzluk uyumsuz
Enjeksiyon Clindamycin phosphate
Enjeksiyon Ceftriaxone disodium
3526
Kimyasal kararsızlık uyumsuz
Enjeksiyon Clindamycin phosphate 12 mg/ml
Enjeksiyon Ceftriaxone disodium 20 mg/ml
Sodyum klorür % 0,9 432
Uyumlu
Enjeksiyon Clindamycin phosphate 9 mg/ml
Enjeksiyon Cefuroxime sodium 15 mg/ml
Sodyum klorür % 0,9 644
Uyumlu
Enjeksiyon Clindamycin phosphate 9 mg/ml
Enjeksiyon Cefuroxime sodium 15 mg/ml
Glukoz %5 644
Acil yağış uyumsuz
Enjeksiyon Clindamycin phosphate 7 mg/ml
Enjeksiyon Ciprofloxacin lactate 1.5 mg/ml
Sodyum klorür % 0,9 434
Belirtilmemiş uyumsuzluk uyumsuz
Enjeksiyon Clindamycin phosphate
Enjeksiyon Ciprofloxacin lactate
3526
Uyumlu
Enjeksiyon Clindamycin phosphate 10 mg/ml
Enjeksiyon Dexmedetomidine 4 µg/ml
Sodyum klorür % 0,9 1712
Uyumlu
Enjeksiyon Clindamycin phosphate 12 & 150 mg/ml
Enjeksiyon Diltiazem hydrochloride 5 mg/ml
Sodyum klorür % 0,9 198
Uyumlu
Enjeksiyon Clindamycin phosphate
Enjeksiyon Dimenhydrinate
2087
Uyumlu
Enjeksiyon Clindamycin phosphate 9 mg/ml
Enjeksiyon Enalaprilate 0.05 mg/ml
Sodyum klorür % 0,9 1315
Uyumlu
Enjeksiyon Clindamycin phosphate 10 mg/ml
Enjeksiyon Etoposide phosphate 5 mg/ml
Glukoz %5 1410
Uyumlu
Enjeksiyon Clindamycin phosphate 10 mg/ml
Enjeksiyon Fenoldopam mesylate 80 µg/ml
Sodyum klorür % 0,9 1803
Acil yağış uyumsuz
Enjeksiyon Clindamycin phosphate 10 mg/ml
Enjeksiyon Filgrastim 30 µg/ml
Glukoz %5 244
Uyumlu
Enjeksiyon Clindamycin phosphate 12 mg/ml
Enjeksiyon Fluconazole 2 mg/ml
Yok 256
Acil yağış uyumsuz
Enjeksiyon Clindamycin phosphate 24 mg/ml
Enjeksiyon Fluconazole 2 mg/ml
Sodyum klorür % 0,9 496
Uyumlu
Enjeksiyon Clindamycin phosphate 10 mg/ml
Enjeksiyon Fludarabine phosphate 1 mg/ml
Glukoz %5 492
Uyumlu
Enjeksiyon Clindamycin phosphate 12 mg/ml
Enjeksiyon Foscarnet sodium 24 mg/ml
Glukoz %5 1135
Uyumlu
Enjeksiyon Clindamycin phosphate 24 mg/ml
Enjeksiyon Foscarnet sodium 24 mg/ml
Yok 73
Uyumlu
Enjeksiyon Clindamycin phosphate 12 mg/ml
Enjeksiyon Foscarnet sodium 24 mg/ml
Sodyum klorür % 0,9 1135
Uyumlu
Enjeksiyon Clindamycin phosphate 10 mg/ml
Enjeksiyon Gemcitabine hydrochloride 10 mg/ml
Sodyum klorür % 0,9 1423
Uyumlu
Enjeksiyon Clindamycin phosphate
Enjeksiyon Gentamicin sulfate
Glukoz %5 3526
Uyumlu
Enjeksiyon Clindamycin phosphate 90 mg/ml
Enjeksiyon Gentamicin sulfate 12 mg/ml
Sodyum klorür % 0,9 639
Uyumlu
Enjeksiyon Clindamycin phosphate 6 mg/ml
Enjeksiyon Gentamicin sulfate 0.67 mg/ml
Glukoz %5 423
Uyumlu
Enjeksiyon Clindamycin phosphate
Enjeksiyon Gentamicin sulfate
Sodyum klorür % 0,9 3526
Uyumlu
Enjeksiyon Clindamycin phosphate 10 mg/ml
Enjeksiyon Granisetron hydrochloride 0.05 mg/ml
Glukoz %5 182
Uyumlu
Enjeksiyon Clindamycin phosphate 12 mg/ml
Enjeksiyon Heparin sodium 50 UI/ml
Yok 317
Uyumlu
Enjeksiyon Clindamycin phosphate 10 mg/ml
Enjeksiyon Hetastarch 60 mg/ml
çözücü Özgül 1721
Uyumlu
Enjeksiyon Clindamycin phosphate 12 mg/ml
Enjeksiyon Hydromorphone hydrochloride 0.2 mg/ml
Glukoz %5 405
Belirtilmemiş uyumsuzluk uyumsuz
Enjeksiyon Clindamycin phosphate
Enjeksiyon Idarubicin hydrochloride
3526
Acil yağış uyumsuz
Enjeksiyon Clindamycin phosphate 12 mg/ml
Enjeksiyon Idarubicin hydrochloride 1 mg/ml
Sodyum klorür % 0,9 491
Uyumlu
Enjeksiyon Clindamycin phosphate 150 mg/ml
Enjeksiyon Ketamine hydrochloride 50 mg/ml
2109
Uyumlu
Enjeksiyon Clindamycin phosphate 9 mg/ml
Enjeksiyon Labetalol hydrochloride 1 mg/ml
Glukoz %5 386
Acil yağış uyumsuz
Enjeksiyon Clindamycin phosphate 10 mg/ml
Enjeksiyon Lansoprazole 0.55 mg/ml
Sodyum klorür % 0,9 1625
Uyumlu
Enjeksiyon Clindamycin phosphate 150 mg/ml
Enjeksiyon Levofloxacine 5 mg/ml
Glukoz %5 1072
Uyumlu
Enjeksiyon Clindamycin phosphate 10 mg/ml
Enjeksiyon Linezolid 2 mg/ml
Yok 1925
Belirtilmemiş uyumsuzluk uyumsuz
Enjeksiyon Clindamycin phosphate
Enjeksiyon Magnesium chloride
5012
Belirtilmemiş uyumsuzluk uyumsuz
Enjeksiyon Clindamycin phosphate
Enjeksiyon Magnesium sulfate
3838
Uyumlu
Enjeksiyon Clindamycin phosphate 12 mg/ml
Enjeksiyon Magnesium sulfate 16.67 >> 100 mg/ml
Glukoz %5 1047
Belirtilmemiş uyumsuzluk uyumsuz
Enjeksiyon Clindamycin phosphate
Enjeksiyon Magnesium sulfate
3526
Uyumlu
Enjeksiyon Clindamycin phosphate 10 mg/ml
Enjeksiyon Melphalan 0.1 mg/ml
Sodyum klorür % 0,9 169
Uyumlu
Enjeksiyon Clindamycin phosphate 150 mg/ml
Enjeksiyon Meropenem 50 mg/ml
Enjeksiyonluk su 4319
Belirtilmemiş uyumsuzluk uyumsuz
Enjeksiyon Clindamycin phosphate
Enjeksiyon Methohexital sodium
3526
Uyumlu
Enjeksiyon Clindamycin phosphate 10 mg/ml
Enjeksiyon Metronidazole 5 mg/ml
Yok 1035
Uyumlu
Enjeksiyon Clindamycin phosphate
Enjeksiyon Metronidazole
3594
Uyumlu
Enjeksiyon Clindamycin phosphate 9 mg/ml
Enjeksiyon Midazolam hydrochloride 1 mg/ml
Glukoz %5 176
Uyumlu
Enjeksiyon Clindamycin phosphate 12 mg/ml
Enjeksiyon Morphine sulfate 1 mg/ml
Glukoz %5 405
Uyumlu
Enjeksiyon Clindamycin phosphate 150 mg/ml
Enjeksiyon N-acetylcysteine 200 mg/ml
Yok 3766
Uyumlu
Enjeksiyon Clindamycin phosphate 150 mg/ml
Enjeksiyon Naloxone hydrochloride 0.4 mg/ml
Yok 3408
Uyumlu
Enjeksiyon Clindamycin phosphate
Enjeksiyon Netilmicin sulfate
Sodyum klorür % 0,9 3526
Uyumlu
Enjeksiyon Clindamycin phosphate 9 mg/ml
Enjeksiyon Netilmicin sulfate 3 mg/ml
Glukoz %5 421
Uyumlu
Enjeksiyon Clindamycin phosphate 9 mg/ml
Enjeksiyon Netilmicin sulfate 3 mg/ml
Sodyum klorür % 0,9 421
Uyumlu
Enjeksiyon Clindamycin phosphate
Enjeksiyon Netilmicin sulfate
Glukoz %5 3526
Uyumlu
Enjeksiyon Clindamycin phosphate 9 mg/ml
Enjeksiyon Nicardipine hydrochloride 0.1 mg/ml
Sodyum klorür % 0,9 1490
Uyumlu
Enjeksiyon Clindamycin phosphate 9 mg/ml
Enjeksiyon Nicardipine hydrochloride 0.1 mg/ml
Glukoz %5 1490
Uyumlu
Enjeksiyon Clindamycin phosphate 6 mg/ml
Enjeksiyon Ofloxacin 2 mg/ml
Yok 889
Uyumlu
Enjeksiyon Clindamycin phosphate 10 mg/ml
Enjeksiyon Ondansetron hydrochloride 1 mg/ml
Sodyum klorür % 0,9 334
1 saat sonra yağış uyumsuz
Enjeksiyon Clindamycin phosphate 12 mg/ml
Enjeksiyon Oritavancin 0.8 >>2 mg/ml
Glukoz %5 3152
1 saat sonra yağış uyumsuz
Enjeksiyon Clindamycin phosphate
Enjeksiyon Pantoprazole sodium
2090
Uyumlu
Enjeksiyon Clindamycin phosphate 150 mg/ml
Enjeksiyon Paracetamol 10 mg/ml
4742
Uyumlu
Enjeksiyon Clindamycin phosphate 10 mg/ml
Enjeksiyon Paracetamol 10 mg/ml
Yok 3571
Uyumlu
Enjeksiyon Clindamycin phosphate 10 mg/ml
Enjeksiyon Pemetrexed disodium 20 mg/ml
Sodyum klorür % 0,9 1953
Belirtilmemiş uyumsuzluk uyumsuz
Enjeksiyon Clindamycin phosphate
Enjeksiyon Pentobarbital sodium
3526
Uyumlu
Enjeksiyon Clindamycin phosphate 12 mg/ml
Enjeksiyon Pethidine hydrochloride 10 mg/ml
Glukoz %5 405
Belirtilmemiş uyumsuzluk uyumsuz
Enjeksiyon Clindamycin phosphate
Enjeksiyon Phenobarbital sodium
3526
Belirtilmemiş uyumsuzluk uyumsuz
Enjeksiyon Clindamycin phosphate
Enjeksiyon Phenytoin sodium
3526
Uyumlu
Enjeksiyon Clindamycin phosphate 18 mg/ml
Enjeksiyon Phloroglucinol 2,5 mg/ml
3791
Uyumlu
Enjeksiyon Clindamycin phosphate
Enjeksiyon Piperacillin sodium
Glukoz %5 3526
Uyumlu
Enjeksiyon Clindamycin phosphate
Enjeksiyon Piperacillin sodium
Sodyum klorür % 0,9 3526
Uyumlu
Enjeksiyon Clindamycin phosphate 9 mg/ml
Enjeksiyon Piperacillin sodium 40 mg/ml
Glukoz %5 432
Uyumlu
Enjeksiyon Clindamycin phosphate 9 mg/ml
Enjeksiyon Piperacillin sodium 40 mg/ml
Sodyum klorür % 0,9 432
Uyumlu
Enjeksiyon Clindamycin phosphate 10 mg/ml
Enjeksiyon Piperacillin sodium / tazobactam 40/5 mg/ml
Glukoz %5 81
Anında bulanıklık uyumsuz
Enjeksiyon Clindamycin phosphate 150 mg/ml
Enjeksiyon Salbutamol sulfate 1 mg/ml
Yok 3216
Belirtilmemiş uyumsuzluk uyumsuz
Enjeksiyon Clindamycin phosphate
Enjeksiyon Sodium bicarbonate
3526
Acil yağış uyumsuz
Enjeksiyon Clindamycin phosphate 12 mg/ml
Enjeksiyon Temocilline 83.33 mg/ml
Enjeksiyonluk su 2231
Uyumlu
Enjeksiyon Clindamycin phosphate 10 mg/ml
Enjeksiyon Teniposide 0.1 mg/ml
Glukoz %5 905
Belirtilmemiş uyumsuzluk uyumsuz
Enjeksiyon Clindamycin phosphate
Enjeksiyon Thiopental sodium
3526
Uyumlu
Enjeksiyon Clindamycin phosphate
Sodyum klorür % 0,9 3526
Uyumlu
Enjeksiyon Clindamycin phosphate 10 mg/ml
Enjeksiyon Propofol 10 mg/ml
Yok 300
Belirtilmemiş uyumsuzluk uyumsuz
Enjeksiyon Clindamycin phosphate
Enjeksiyon Ranitidine hydrochloride
3526
Uyumlu
Enjeksiyon Clindamycin phosphate 10 mg/ml
Enjeksiyon Remifentanil hydrochloride 25 & 250 µg/ml
Sodyum klorür % 0,9 59
Uyumlu
Enjeksiyon Clindamycin phosphate 10 mg/ml
Enjeksiyon Sargramostim 10 µg/ml
Sodyum klorür % 0,9 335
Uyumlu
Enjeksiyon Clindamycin phosphate 12 mg/ml
Enjeksiyon Tacrolimus 1000 µg/ml
Sodyum klorür % 0,9 479
Uyumlu
Enjeksiyon Clindamycin phosphate 12 mg/ml
Enjeksiyon Theophylline 4 mg/ml
Yok 317
Acil yağış uyumsuz
Enjeksiyon Clindamycin phosphate 150 mg/ml
Enjeksiyon Thiopental sodium 25 mg/ml
Sodyum klorür % 0,9 3767
Uyumlu
Enjeksiyon Clindamycin phosphate 10 mg/ml
Enjeksiyon Thiotepa 1 mg/ml
Glukoz %5 249
Uyumlu
Enjeksiyon Clindamycin phosphate
Enjeksiyon Tobramycin sulfate
Sodyum klorür % 0,9 3526
Acil yağış uyumsuz
Enjeksiyon Clindamycin phosphate 90 mg/ml
Enjeksiyon Tobramycin sulfate 12 mg/ml
Sodyum klorür % 0,9 639
Uyumlu
Enjeksiyon Clindamycin phosphate
Enjeksiyon Tobramycin sulfate
Glukoz %5 3526
2 saat sonra yağış uyumsuz
Enjeksiyon Clindamycin phosphate 6 mg/ml
Enjeksiyon Tramadol hydrochloride 0,4 mg/ml
Sodyum klorür % 0,9 2002
Uyumlu
Enjeksiyon Clindamycin phosphate 1.2 mg/ml
Enjeksiyon Verapamil hydrochloride 0.08 mg/ml
Sodyum klorür % 0,9 1057
Uyumlu
Enjeksiyon Clindamycin phosphate 1.2 mg/ml
Enjeksiyon Verapamil hydrochloride 0.08 mg/ml
Glukoz %5 1057
Uyumlu
Enjeksiyon Clindamycin phosphate 10 mg/ml
Enjeksiyon Vinorelbine tartrate 1 mg/ml
Sodyum klorür % 0,9 84
Uyumlu
Enjeksiyon Clindamycin phosphate 12 mg/ml
Enjeksiyon Zidovudine 4 mg/ml
Glukoz %5 337

  Mentions Légales