Zadnji put ažurirano :
18/03/2026
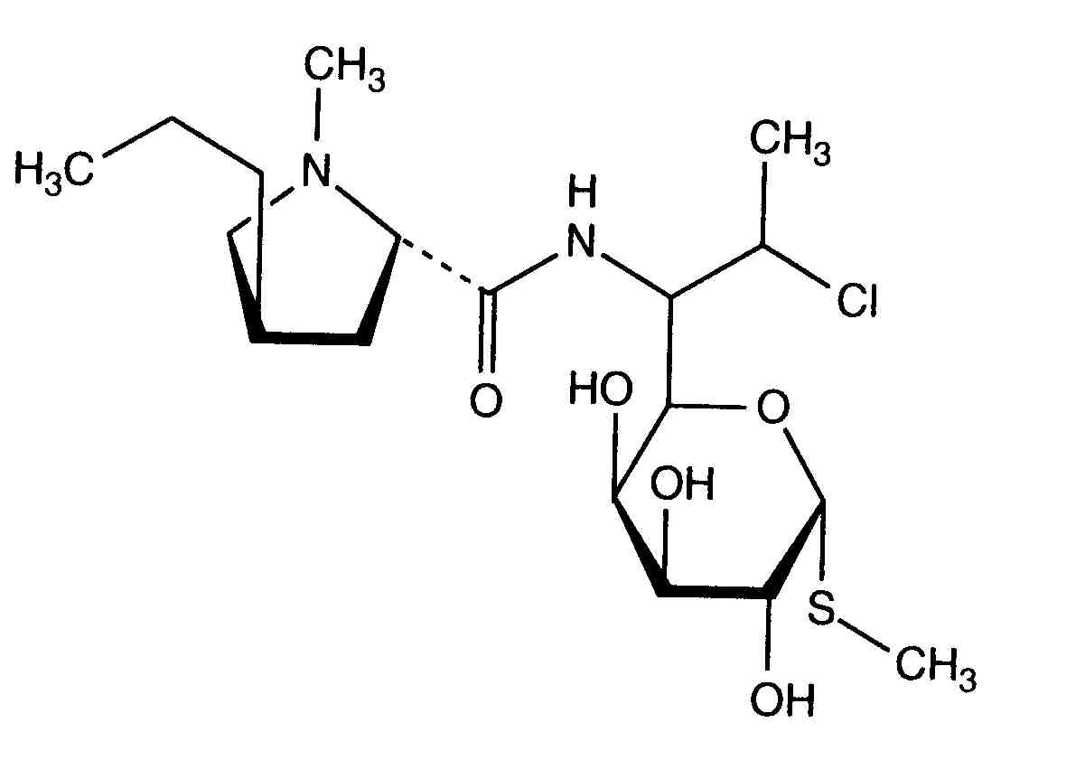
antibiotik   Clindamycin phosphate  
injekcija
Stabilizacija rješenja Stabilnost mješavine Stabilizacijski faktor Kompatibilnosti način davanja lijeka Bibliografija pdf
   Kemijska struktura  

Nekomercijalni   Nekomercijalni     

Zaštićeni nazivi su indikativni i sastav ekscipijensa može biti različit ovisno o državi i laboratorijima

Biodaclin Meksiko
Camyda Indija
Cinbiot Meksiko
Cleocin Austrija, S A D, Turska
Clinamsa Meksiko
Clinbac Kolumbija, Peru
Clincina Portugal
Clinda-Saar Njemačka
Clindacid Venecuela
Clindacin Malezija
Clindalaf Argentina
Clindamicina Argentina, Brazil, Čile, Ekvador, Italija, Kolumbija, Meksiko, Peru, Portugal, Španjolska, Venecuela
Clindamycin Austrija, Iran, Kanada, Njemačka, Norveška, Rumunjska, S A D, Saudijska Arabija, Švedska
Clindamycin-Hameln Njemačka
Clindamycine Belgija, Francuska, Nizozemska, Tunis
Clindanovag Argentina
Clindarix Brazil
Clindasol Njemačka
Clindaval Venecuela
Clindazyn Meksiko
Clindo Poljska
Clysvic Meksiko
Daclin Čile
Dalacin Indija, Australija, Belgija, Čile, Danska, Egipat, Ekvador, Finska, Grčka, Iran, Irska, Island, Italija, Kanada, Kolumbija, Luksemburg, Madžarska, Malezija, Meksiko, Nizozemska, Norveška, novi Zeland, Poljska, Saudijska Arabija, Švedska, Švicarska, Tunis, Ujedinjeni Arapski Emirati, Velika Britanija, Venecuela
Dalacine Francuska, Tunis
Daladic Iran
Dalcinex Indija
Damclid Indija
Damicin Kolumbija, Meksiko
Damicine Kolumbija
Dolarclin Kolumbija
Euroclin Ekvador, Kolumbija
Gynasafe Indija
Indamid Meksiko
Klimicin Poljska
Klindan Turska
Klindaver Turska
Lanacine Austrija
Lincocin Malezija
Lincosa Malezija
Meneklin Turska
Sobelin Njemačka
Tidact Malezija
Kompatibilnosti   injekcija   Kompatibilnosti : Clindamycin phosphate              
Ovdje su prikazane kompatibilnosti ili nekompatibilnosti s tipom nekompatibilnosti (taloženje, promjena boje, modifikacija emulzije itd.) u ovom slučaju. Kompatibilnosti prikazane ovdje najčešće su fizikalne dok se kemijska stabilnost molekule rijetko procjenjuje. Procjena ovih mikstura je proučavana kako bi se razmotrila mogućnost primjene lijeka putem Y-mjesta. Ovi se podaci ne smiju koristiti za pripremu mikstura unaprijed u vrećicama ili štrcaljkama. Ova vrsta informacije se može pronaći u odjeljku « stabilnost u miksturama ».
molekula sredstvo za rastapanje Bibliografija
Kompatibilan
injekcija Clindamycin phosphate 12 mg/ml
injekcija Aciclovir sodium 5 mg/ml
glukoza 5% 336
Neposredne oborine inkompatibilan
injekcija Clindamycin phosphate 10 mg/ml
injekcija Allopurinol sodium 3 mg/ml
natrijumkorid 0,9% 307
Kompatibilan
injekcija Clindamycin phosphate 10 mg/ml
injekcija Amifostine 10 mg/ml
glukoza 5% 3
Kompatibilan
injekcija Clindamycin phosphate
injekcija Amikacin sulfate
natrijumkorid 0,9% 3526
Kompatibilan
injekcija Clindamycin phosphate 9 mg/ml
injekcija Amikacin sulfate 4 mg/ml
natrijumkorid 0,9% 565
Kompatibilan
injekcija Clindamycin phosphate 9 mg/ml
injekcija Amikacin sulfate 4 mg/ml
glukoza 5% 565
Kompatibilan
injekcija Clindamycin phosphate
injekcija Amikacin sulfate
glukoza 5% 3526
Kompatibilan
injekcija Clindamycin phosphate 90 mg/ml
injekcija Amikacin sulfate 75 mg/ml
natrijumkorid 0,9% 639
Neodređena nespojivost inkompatibilan
injekcija Clindamycin phosphate
injekcija Aminophylline
3526
Kompatibilan
injekcija Clindamycin phosphate 6 mg/ml
injekcija Amiodarone hydrochloride 4 mg/ml
natrijumkorid 0,9% 385
Kompatibilan
injekcija Clindamycin phosphate 6 mg/ml
injekcija Amiodarone hydrochloride 4 mg/ml
glukoza 5% 385
Zamućenost u jednom satu inkompatibilan
injekcija Clindamycin phosphate 150 mg/ml
injekcija Amoxicillin sodium / clavulanic acid 100/10 mg/ml
3824
Kompatibilan
injekcija Clindamycin phosphate 10 mg/ml
injekcija Amphotericin B cholesteryl sulfate complex 0.83 mg/ml
glukoza 5% 921
Neodređena nespojivost inkompatibilan
injekcija Clindamycin phosphate
injekcija Ampicillin sodium
3526
Kompatibilan
injekcija Clindamycin phosphate
glukoza 5% 3526
Neodređena nespojivost inkompatibilan
injekcija Clindamycin phosphate
injekcija Amobarbital sodium
3526
Kompatibilan
injekcija Clindamycin phosphate 10 mg/ml
injekcija Amsacrine 1 mg/ml
glukoza 5% 253
Kompatibilan
injekcija Clindamycin phosphate 10 mg/ml
injekcija Anidulafungin 0.5 mg/ml
glukoza 5% 1982
Modifikacija pH> 1 pH jedinica inkompatibilan
injekcija Clindamycin phosphate 9 mg/ml
injekcija Atosiban 0,75 mg/ml
4642
Kompatibilan
injekcija Clindamycin phosphate 6 mg/ml
injekcija Aztreonam 10 mg/ml
glukoza 5% 419
Kompatibilan
injekcija Clindamycin phosphate 9 mg/ml
injekcija Aztreonam 20 mg/ml
glukoza 5% 432
Kompatibilan
injekcija Clindamycin phosphate 60 mg/ml
injekcija Aztreonam 200 mg/ml
natrijumkorid 0,9% 644
Kompatibilan
injekcija Clindamycin phosphate
injekcija Aztreonam
natrijumkorid 0,9% 3526
Kompatibilan
injekcija Clindamycin phosphate 3 mg/ml
injekcija Aztreonam 10 mg/ml
glukoza 5% 419
Kompatibilan
injekcija Clindamycin phosphate
injekcija Aztreonam
glukoza 5% 3526
Kompatibilan
injekcija Clindamycin phosphate 24 mg/ml
Parenteralna prehrana (bezlipidna) 3379
Neposredne oborine inkompatibilan
injekcija Clindamycin phosphate 30 mg/ml
injekcija Azithromycine 2 mg/ml
natrijumkorid 0,9% 1800
Kompatibilan
injekcija Clindamycin phosphate 3 mg/ml
Parenteralna prehrana (bezlipidna) 1055
Kompatibilan
injekcija Clindamycin phosphate 6 mg/ml
injekcija Aztreonam 20 mg/ml
natrijumkorid 0,9% 419
Kompatibilan
injekcija Clindamycin phosphate 3 mg/ml
injekcija Aztreonam 20 mg/ml
natrijumkorid 0,9% 419
Kompatibilan
injekcija Clindamycin phosphate 3 mg/ml
injekcija Aztreonam 20 mg/ml
glukoza 5% 419
Kompatibilan
injekcija Clindamycin phosphate 6 mg/ml
injekcija Aztreonam 20 mg/ml
glukoza 5% 419
Kompatibilan
injekcija Clindamycin phosphate 10 mg/ml
injekcija Aztreonam 40 mg/ml
glukoza 5% 99
Kompatibilan
injekcija Clindamycin phosphate 3 mg/ml
injekcija Aztreonam 10 mg/ml
natrijumkorid 0,9% 419
Kompatibilan
injekcija Clindamycin phosphate 6 mg/ml
injekcija Aztreonam 10 mg/ml
natrijumkorid 0,9% 419
Kompatibilan
injekcija Clindamycin phosphate 9 mg/ml
injekcija Aztreonam 20 mg/ml
natrijumkorid 0,9% 432
Kompatibilan
injekcija Clindamycin phosphate 10 mg/ml
injekcija Bivalirudin 5 mg/ml
glukoza 5% 1713
Kompatibilan
injekcija Clindamycin phosphate 150 mg/ml
injekcija Caffeine 10 mg/ml
nijedan 3964
Neodređena nespojivost inkompatibilan
injekcija Clindamycin phosphate
injekcija Calcium gluconate
3644
Neodređena nespojivost inkompatibilan
injekcija Clindamycin phosphate
injekcija Calcium gluconate
3526
inkompatibilan
injekcija Clindamycin phosphate
injekcija Calcium gluconate
4964
Neposredne oborine inkompatibilan
injekcija Clindamycin phosphate 10 mg/ml
injekcija Caspofungin acetate 0,7 mg/ml
natrijumkorid 0,9% 2247
Neposredne oborine inkompatibilan
injekcija Clindamycin phosphate 60 mg/ml
injekcija Caspofungin acetate 0.5 mg/ml
natrijumkorid 0,9% 2233
Kompatibilan
injekcija Clindamycin phosphate 9 mg/ml
injekcija Cefamandole nafate 10 mg/ml
glukoza 5% 418
Kompatibilan
injekcija Clindamycin phosphate
injekcija Cefamandole nafate
natrijumkorid 0,9% 3526
Kompatibilan
injekcija Clindamycin phosphate 9 mg/ml
injekcija Cefamandole nafate 10 mg/ml
natrijumkorid 0,9% 418
Kompatibilan
injekcija Clindamycin phosphate
injekcija Cefamandole nafate
glukoza 5% 3526
Kompatibilan
injekcija Clindamycin phosphate 9 mg/ml
injekcija Cefazolin sodium 10 mg/ml
natrijumkorid 0,9% 418
Kompatibilan
injekcija Clindamycin phosphate
injekcija Cefazolin sodium
natrijumkorid 0,9% 3526
Kompatibilan
injekcija Clindamycin phosphate 9 mg/ml
injekcija Cefazolin sodium 10 mg/ml
glukoza 5% 418
Kompatibilan
injekcija Clindamycin phosphate 0,25 & 6 mg/ml
injekcija Cefepime dihydrochloride 4 & 40 mg/ml
glukoza 5% 3548
Kompatibilan
injekcija Clindamycin phosphate 10 mg/ml
injekcija Cefiderocol sulfate tosylate 20 mg/mL
glukoza 5% 4528
Kompatibilan
injekcija Clindamycin phosphate 12 mg/ml
injekcija Cefoperazone sodium 20 mg/ml
glukoza 5% 644
Neodređena nespojivost inkompatibilan
injekcija Clindamycin phosphate
NaHCO3 3526
Kompatibilan
injekcija Clindamycin phosphate 12 mg/ml
injekcija Cefonicid sodium 10 mg/ml
natrijumkorid 0,9% 644
Kompatibilan
injekcija Clindamycin phosphate 10 mg/ml
Parenteralna prehrana (bezlipidna) 301
Kompatibilan
injekcija Clindamycin phosphate
injekcija Cefazolin sodium
glukoza 5% 3526
Kompatibilan
injekcija Clindamycin phosphate 0,25 & 6 mg/ml
injekcija Cefepime dihydrochloride 4 & 40 mg/ml
natrijumkorid 0,9% 3548
Kompatibilan
injekcija Clindamycin phosphate 10 mg/ml
injekcija Cefiderocol sulfate tosylate 20 mg/mL
natrijumkorid 0,9% 4528
Kompatibilan
injekcija Clindamycin phosphate 12 mg/ml
injekcija Cefonicid sodium 10 mg/ml
glukoza 5% 644
Kompatibilan
injekcija Clindamycin phosphate 12 mg/ml
injekcija Cefoperazone sodium 20 mg/ml
natrijumkorid 0,9% 644
Kompatibilan
injekcija Clindamycin phosphate 150 mg/ml
Parenteralna prehrana (bezlipidna) 999
Kompatibilan
injekcija Clindamycin phosphate
injekcija Cefotaxime sodium
glukoza 5% 3526
Kompatibilan
injekcija Clindamycin phosphate 9 mg/ml
injekcija Cefotaxime sodium 20 mg/ml
glukoza 5% 421
Kompatibilan
injekcija Clindamycin phosphate 9 mg/ml
injekcija Cefotaxime sodium 20 mg/ml
natrijumkorid 0,9% 421
Kompatibilan
injekcija Clindamycin phosphate
injekcija Cefotaxime sodium
natrijumkorid 0,9% 3526
Kompatibilan
injekcija Clindamycin phosphate
injekcija Cefoxitin sodium
natrijumkorid 0,9% 3526
Kompatibilan
injekcija Clindamycin phosphate 9 mg/ml
injekcija Cefoxitin sodium 20 mg/ml
glukoza 5% 418
Kompatibilan
injekcija Clindamycin phosphate 9 mg/ml
injekcija Cefoxitin sodium 20 mg/ml
natrijumkorid 0,9% 418
Kompatibilan
injekcija Clindamycin phosphate
injekcija Cefoxitin sodium
glukoza 5% 3526
Kompatibilan
injekcija Clindamycin phosphate 12 mg/ml
injekcija Cefpirome sulfate 50 mg/ml
natrijumkorid 0,9% 280
Kompatibilan
injekcija Clindamycin phosphate 12 mg/ml
injekcija Cefpirome sulfate 50 mg/ml
natrijumklorid 0,45% 280
Kompatibilan
injekcija Clindamycin phosphate 12 mg/ml
injekcija Cefpirome sulfate 50 mg/ml
glukoza 5% 280
Kompatibilan
injekcija Clindamycin phosphate 12 mg/ml
injekcija Cefpirome sulfate 50 mg/ml
Ringer laktat 280
Kompatibilan
injekcija Clindamycin phosphate 10 mg/ml
injekcija Ceftaroline fosamil 2,22 mg/ml
Ringer laktat 3249
Kompatibilan
injekcija Clindamycin phosphate
injekcija Ceftazidime
glukoza 5% 3526
Kompatibilan
injekcija Clindamycin phosphate 9 mg/ml
injekcija Ceftizoxime sodium 20 mg/ml
natrijumkorid 0,9% 418
Kompatibilan
injekcija Clindamycin phosphate
injekcija Ceftizoxime sodium
glukoza 5% 3526
Kompatibilan
injekcija Clindamycin phosphate 10 mg/ml
injekcija Ceftobiprole medocaril sodium 2 mg/ml
natrijumkorid 0,9% 2269
Kompatibilan
injekcija Clindamycin phosphate 10 mg/ml
injekcija Ceftobiprole medocaril sodium 2 mg/ml
glukoza 5% 2269
Kompatibilan
injekcija Clindamycin phosphate 10 mg/ml
injekcija Ceftobiprole medocaril sodium 2 mg/ml
Ringer laktat 2269
Kompatibilan
injekcija Clindamycin phosphate 5,77 mg/ml
Parenteralna prehrana (lipidima) 4440
Kompatibilan
injekcija Clindamycin phosphate 1.2 mg/ml
injekcija Cimetidine hydrochloride 1.2 & 5 mg/ml
glukoza 5% 1201
Kompatibilan
injekcija Clindamycin phosphate 1.2 mg/ml
injekcija Cimetidine hydrochloride 1.2 & 5 mg/ml
natrijumkorid 0,9% 1201
Neposredne oborine inkompatibilan
injekcija Clindamycin phosphate 7 mg/ml
injekcija Ciprofloxacin lactate 1.5 mg/ml
glukoza 5% 434
Kompatibilan
injekcija Clindamycin phosphate 10 mg/ml
injekcija Cisatracurium besylate 0.1 >> 5 mg/ml
glukoza 5% 299
Kompatibilan
injekcija Clindamycin phosphate 150 mg/ml
injekcija Cloxacillin sodium 100 mg/ml
čista voda za injektiranje 3012
Kompatibilan
injekcija Clindamycin phosphate 10 mg/ml
injekcija Docetaxel 0.9 mg/ml
glukoza 5% 1754
Proizvodnja mjehurića plina inkompatibilan
injekcija Clindamycin phosphate 10 mg/ml
injekcija Doxapram hydrochloride 2 mg/ml
glukoza 5% 1802
Kompatibilan
injekcija Clindamycin phosphate 10 mg/ml
injekcija Doxorubicin hydrochloride liposome peg 0.4 mg/ml
glukoza 5% 251
Kompatibilan
injekcija Clindamycin phosphate 9 mg/ml
injekcija Esmolol hydrochloride 10 mg/ml
glukoza 5% 384
Kompatibilan
injekcija Clindamycin phosphate 9 mg/ml
injekcija Fentanyl citrate 50 µg/ml
glukoza 5% 63
Kompatibilan
injekcija Clindamycin phosphate 10 mg/ml
Parenteralna prehrana (lipidima) 3967
Kompatibilan
injekcija Clindamycin phosphate 10 mg/ml
injekcija Ceftaroline fosamil 2,22 mg/ml
glukoza 5% 3249
Kompatibilan
injekcija Clindamycin phosphate 10 mg/ml
injekcija Ceftaroline fosamil 2,22 mg/ml
natrijumkorid 0,9% 3249
Kompatibilan
injekcija Clindamycin phosphate 9 mg/ml
injekcija Ceftazidime 20 mg/ml
glukoza 5% 432
Kompatibilan
injekcija Clindamycin phosphate
injekcija Ceftazidime
natrijumkorid 0,9% 3526
Kompatibilan
injekcija Clindamycin phosphate 9 mg/ml
injekcija Ceftazidime 20 mg/ml
natrijumkorid 0,9% 432
Kompatibilan
injekcija Clindamycin phosphate 10 mg/ml
Parenteralna prehrana (lipidima) 1415
Kompatibilan
injekcija Clindamycin phosphate 9 mg/ml
injekcija Ceftizoxime sodium 20 mg/ml
glukoza 5% 418
Kompatibilan
injekcija Clindamycin phosphate
injekcija Ceftizoxime sodium
natrijumkorid 0,9% 3526
Kemijska nestabilnost inkompatibilan
injekcija Clindamycin phosphate 12 mg/ml
injekcija Ceftriaxone disodium 20 mg/ml
glukoza 5% 432
Neodređena nespojivost inkompatibilan
injekcija Clindamycin phosphate
injekcija Ceftriaxone disodium
3526
Kemijska nestabilnost inkompatibilan
injekcija Clindamycin phosphate 12 mg/ml
injekcija Ceftriaxone disodium 20 mg/ml
natrijumkorid 0,9% 432
Kompatibilan
injekcija Clindamycin phosphate 9 mg/ml
injekcija Cefuroxime sodium 15 mg/ml
natrijumkorid 0,9% 644
Kompatibilan
injekcija Clindamycin phosphate 9 mg/ml
injekcija Cefuroxime sodium 15 mg/ml
glukoza 5% 644
Neposredne oborine inkompatibilan
injekcija Clindamycin phosphate 7 mg/ml
injekcija Ciprofloxacin lactate 1.5 mg/ml
natrijumkorid 0,9% 434
Neodređena nespojivost inkompatibilan
injekcija Clindamycin phosphate
injekcija Ciprofloxacin lactate
3526
Kompatibilan
injekcija Clindamycin phosphate 10 mg/ml
injekcija Dexmedetomidine 4 µg/ml
natrijumkorid 0,9% 1712
Kompatibilan
injekcija Clindamycin phosphate 12 & 150 mg/ml
injekcija Diltiazem hydrochloride 5 mg/ml
natrijumkorid 0,9% 198
Kompatibilan
injekcija Clindamycin phosphate
injekcija Dimenhydrinate
2087
Kompatibilan
injekcija Clindamycin phosphate 9 mg/ml
injekcija Enalaprilate 0.05 mg/ml
natrijumkorid 0,9% 1315
Kompatibilan
injekcija Clindamycin phosphate 10 mg/ml
injekcija Etoposide phosphate 5 mg/ml
glukoza 5% 1410
Kompatibilan
injekcija Clindamycin phosphate 10 mg/ml
injekcija Fenoldopam mesylate 80 µg/ml
natrijumkorid 0,9% 1803
Neposredne oborine inkompatibilan
injekcija Clindamycin phosphate 10 mg/ml
injekcija Filgrastim 30 µg/ml
glukoza 5% 244
Kompatibilan
injekcija Clindamycin phosphate 12 mg/ml
injekcija Fluconazole 2 mg/ml
nijedan 256
Neposredne oborine inkompatibilan
injekcija Clindamycin phosphate 24 mg/ml
injekcija Fluconazole 2 mg/ml
natrijumkorid 0,9% 496
Kompatibilan
injekcija Clindamycin phosphate 10 mg/ml
injekcija Fludarabine phosphate 1 mg/ml
glukoza 5% 492
Kompatibilan
injekcija Clindamycin phosphate 12 mg/ml
injekcija Foscarnet sodium 24 mg/ml
glukoza 5% 1135
Kompatibilan
injekcija Clindamycin phosphate 24 mg/ml
injekcija Foscarnet sodium 24 mg/ml
nijedan 73
Kompatibilan
injekcija Clindamycin phosphate 12 mg/ml
injekcija Foscarnet sodium 24 mg/ml
natrijumkorid 0,9% 1135
Kompatibilan
injekcija Clindamycin phosphate 10 mg/ml
injekcija Gemcitabine hydrochloride 10 mg/ml
natrijumkorid 0,9% 1423
Kompatibilan
injekcija Clindamycin phosphate
injekcija Gentamicin sulfate
glukoza 5% 3526
Kompatibilan
injekcija Clindamycin phosphate 90 mg/ml
injekcija Gentamicin sulfate 12 mg/ml
natrijumkorid 0,9% 639
Kompatibilan
injekcija Clindamycin phosphate 6 mg/ml
injekcija Gentamicin sulfate 0.67 mg/ml
glukoza 5% 423
Kompatibilan
injekcija Clindamycin phosphate
injekcija Gentamicin sulfate
natrijumkorid 0,9% 3526
Kompatibilan
injekcija Clindamycin phosphate 10 mg/ml
injekcija Granisetron hydrochloride 0.05 mg/ml
glukoza 5% 182
Kompatibilan
injekcija Clindamycin phosphate 12 mg/ml
injekcija Heparin sodium 50 UI/ml
nijedan 317
Kompatibilan
injekcija Clindamycin phosphate 10 mg/ml
injekcija Hetastarch 60 mg/ml
Specifična otapala 1721
Kompatibilan
injekcija Clindamycin phosphate 12 mg/ml
injekcija Hydromorphone hydrochloride 0.2 mg/ml
glukoza 5% 405
Neodređena nespojivost inkompatibilan
injekcija Clindamycin phosphate
injekcija Idarubicin hydrochloride
3526
Neposredne oborine inkompatibilan
injekcija Clindamycin phosphate 12 mg/ml
injekcija Idarubicin hydrochloride 1 mg/ml
natrijumkorid 0,9% 491
Kompatibilan
injekcija Clindamycin phosphate 150 mg/ml
injekcija Ketamine hydrochloride 50 mg/ml
2109
Kompatibilan
injekcija Clindamycin phosphate 9 mg/ml
injekcija Labetalol hydrochloride 1 mg/ml
glukoza 5% 386
Neposredne oborine inkompatibilan
injekcija Clindamycin phosphate 10 mg/ml
injekcija Lansoprazole 0.55 mg/ml
natrijumkorid 0,9% 1625
Kompatibilan
injekcija Clindamycin phosphate 150 mg/ml
injekcija Levofloxacine 5 mg/ml
glukoza 5% 1072
Kompatibilan
injekcija Clindamycin phosphate 10 mg/ml
injekcija Linezolid 2 mg/ml
nijedan 1925
Neodređena nespojivost inkompatibilan
injekcija Clindamycin phosphate
injekcija Magnesium chloride
5012
Neodređena nespojivost inkompatibilan
injekcija Clindamycin phosphate
injekcija Magnesium sulfate
3838
Kompatibilan
injekcija Clindamycin phosphate 12 mg/ml
injekcija Magnesium sulfate 16.67 >> 100 mg/ml
glukoza 5% 1047
Neodređena nespojivost inkompatibilan
injekcija Clindamycin phosphate
injekcija Magnesium sulfate
3526
Kompatibilan
injekcija Clindamycin phosphate 10 mg/ml
injekcija Melphalan 0.1 mg/ml
natrijumkorid 0,9% 169
Kompatibilan
injekcija Clindamycin phosphate 150 mg/ml
injekcija Meropenem 50 mg/ml
čista voda za injektiranje 4319
Neodređena nespojivost inkompatibilan
injekcija Clindamycin phosphate
injekcija Methohexital sodium
3526
Kompatibilan
injekcija Clindamycin phosphate 10 mg/ml
injekcija Metronidazole 5 mg/ml
nijedan 1035
Kompatibilan
injekcija Clindamycin phosphate
injekcija Metronidazole
3594
Kompatibilan
injekcija Clindamycin phosphate 9 mg/ml
injekcija Midazolam hydrochloride 1 mg/ml
glukoza 5% 176
Kompatibilan
injekcija Clindamycin phosphate 12 mg/ml
injekcija Morphine sulfate 1 mg/ml
glukoza 5% 405
Kompatibilan
injekcija Clindamycin phosphate 150 mg/ml
injekcija N-acetylcysteine 200 mg/ml
nijedan 3766
Kompatibilan
injekcija Clindamycin phosphate 150 mg/ml
injekcija Naloxone hydrochloride 0.4 mg/ml
nijedan 3408
Kompatibilan
injekcija Clindamycin phosphate
injekcija Netilmicin sulfate
natrijumkorid 0,9% 3526
Kompatibilan
injekcija Clindamycin phosphate 9 mg/ml
injekcija Netilmicin sulfate 3 mg/ml
glukoza 5% 421
Kompatibilan
injekcija Clindamycin phosphate 9 mg/ml
injekcija Netilmicin sulfate 3 mg/ml
natrijumkorid 0,9% 421
Kompatibilan
injekcija Clindamycin phosphate
injekcija Netilmicin sulfate
glukoza 5% 3526
Kompatibilan
injekcija Clindamycin phosphate 9 mg/ml
injekcija Nicardipine hydrochloride 0.1 mg/ml
natrijumkorid 0,9% 1490
Kompatibilan
injekcija Clindamycin phosphate 9 mg/ml
injekcija Nicardipine hydrochloride 0.1 mg/ml
glukoza 5% 1490
Kompatibilan
injekcija Clindamycin phosphate 6 mg/ml
injekcija Ofloxacin 2 mg/ml
nijedan 889
Kompatibilan
injekcija Clindamycin phosphate 10 mg/ml
injekcija Ondansetron hydrochloride 1 mg/ml
natrijumkorid 0,9% 334
Padavine nakon 1 sata inkompatibilan
injekcija Clindamycin phosphate 12 mg/ml
injekcija Oritavancin 0.8 >>2 mg/ml
glukoza 5% 3152
Padavine nakon 1 sata inkompatibilan
injekcija Clindamycin phosphate
injekcija Pantoprazole sodium
2090
Kompatibilan
injekcija Clindamycin phosphate 150 mg/ml
injekcija Paracetamol 10 mg/ml
4742
Kompatibilan
injekcija Clindamycin phosphate 10 mg/ml
injekcija Paracetamol 10 mg/ml
nijedan 3571
Kompatibilan
injekcija Clindamycin phosphate 10 mg/ml
injekcija Pemetrexed disodium 20 mg/ml
natrijumkorid 0,9% 1953
Neodređena nespojivost inkompatibilan
injekcija Clindamycin phosphate
injekcija Pentobarbital sodium
3526
Kompatibilan
injekcija Clindamycin phosphate 12 mg/ml
injekcija Pethidine hydrochloride 10 mg/ml
glukoza 5% 405
Neodređena nespojivost inkompatibilan
injekcija Clindamycin phosphate
injekcija Phenobarbital sodium
3526
Neodređena nespojivost inkompatibilan
injekcija Clindamycin phosphate
injekcija Phenytoin sodium
3526
Kompatibilan
injekcija Clindamycin phosphate 18 mg/ml
injekcija Phloroglucinol 2,5 mg/ml
3791
Kompatibilan
injekcija Clindamycin phosphate
injekcija Piperacillin sodium
glukoza 5% 3526
Kompatibilan
injekcija Clindamycin phosphate
injekcija Piperacillin sodium
natrijumkorid 0,9% 3526
Kompatibilan
injekcija Clindamycin phosphate 9 mg/ml
injekcija Piperacillin sodium 40 mg/ml
glukoza 5% 432
Kompatibilan
injekcija Clindamycin phosphate 9 mg/ml
injekcija Piperacillin sodium 40 mg/ml
natrijumkorid 0,9% 432
Kompatibilan
injekcija Clindamycin phosphate 10 mg/ml
injekcija Piperacillin sodium / tazobactam 40/5 mg/ml
glukoza 5% 81
Neposredna zamućenost inkompatibilan
injekcija Clindamycin phosphate 150 mg/ml
injekcija Salbutamol sulfate 1 mg/ml
nijedan 3216
Neodređena nespojivost inkompatibilan
injekcija Clindamycin phosphate
injekcija Sodium bicarbonate
3526
Neposredne oborine inkompatibilan
injekcija Clindamycin phosphate 12 mg/ml
injekcija Temocilline 83.33 mg/ml
čista voda za injektiranje 2231
Kompatibilan
injekcija Clindamycin phosphate 10 mg/ml
injekcija Teniposide 0.1 mg/ml
glukoza 5% 905
Neodređena nespojivost inkompatibilan
injekcija Clindamycin phosphate
injekcija Thiopental sodium
3526
Kompatibilan
injekcija Clindamycin phosphate
natrijumkorid 0,9% 3526
Kompatibilan
injekcija Clindamycin phosphate 10 mg/ml
injekcija Propofol 10 mg/ml
nijedan 300
Neodređena nespojivost inkompatibilan
injekcija Clindamycin phosphate
injekcija Ranitidine hydrochloride
3526
Kompatibilan
injekcija Clindamycin phosphate 10 mg/ml
injekcija Remifentanil hydrochloride 25 & 250 µg/ml
natrijumkorid 0,9% 59
Kompatibilan
injekcija Clindamycin phosphate 10 mg/ml
injekcija Sargramostim 10 µg/ml
natrijumkorid 0,9% 335
Kompatibilan
injekcija Clindamycin phosphate 12 mg/ml
injekcija Tacrolimus 1000 µg/ml
natrijumkorid 0,9% 479
Kompatibilan
injekcija Clindamycin phosphate 12 mg/ml
injekcija Theophylline 4 mg/ml
nijedan 317
Neposredne oborine inkompatibilan
injekcija Clindamycin phosphate 150 mg/ml
injekcija Thiopental sodium 25 mg/ml
natrijumkorid 0,9% 3767
Kompatibilan
injekcija Clindamycin phosphate 10 mg/ml
injekcija Thiotepa 1 mg/ml
glukoza 5% 249
Kompatibilan
injekcija Clindamycin phosphate
injekcija Tobramycin sulfate
natrijumkorid 0,9% 3526
Neposredne oborine inkompatibilan
injekcija Clindamycin phosphate 90 mg/ml
injekcija Tobramycin sulfate 12 mg/ml
natrijumkorid 0,9% 639
Kompatibilan
injekcija Clindamycin phosphate
injekcija Tobramycin sulfate
glukoza 5% 3526
Padavine nakon 2 sata inkompatibilan
injekcija Clindamycin phosphate 6 mg/ml
injekcija Tramadol hydrochloride 0,4 mg/ml
natrijumkorid 0,9% 2002
Kompatibilan
injekcija Clindamycin phosphate 1.2 mg/ml
injekcija Verapamil hydrochloride 0.08 mg/ml
natrijumkorid 0,9% 1057
Kompatibilan
injekcija Clindamycin phosphate 1.2 mg/ml
injekcija Verapamil hydrochloride 0.08 mg/ml
glukoza 5% 1057
Kompatibilan
injekcija Clindamycin phosphate 10 mg/ml
injekcija Vinorelbine tartrate 1 mg/ml
natrijumkorid 0,9% 84
Kompatibilan
injekcija Clindamycin phosphate 12 mg/ml
injekcija Zidovudine 4 mg/ml
glukoza 5% 337

  Mentions Légales