Poslední aktualizace :
18/03/2026
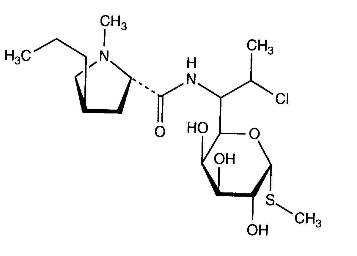
Antibiotikas   Clindamycin phosphate  
Įpurškimas
Tirpalų stabilumas Mišinių stabilumas Stabilumą lemiantys veiksniai Suderinamumas Leidimo būdai Bibliografija pdf
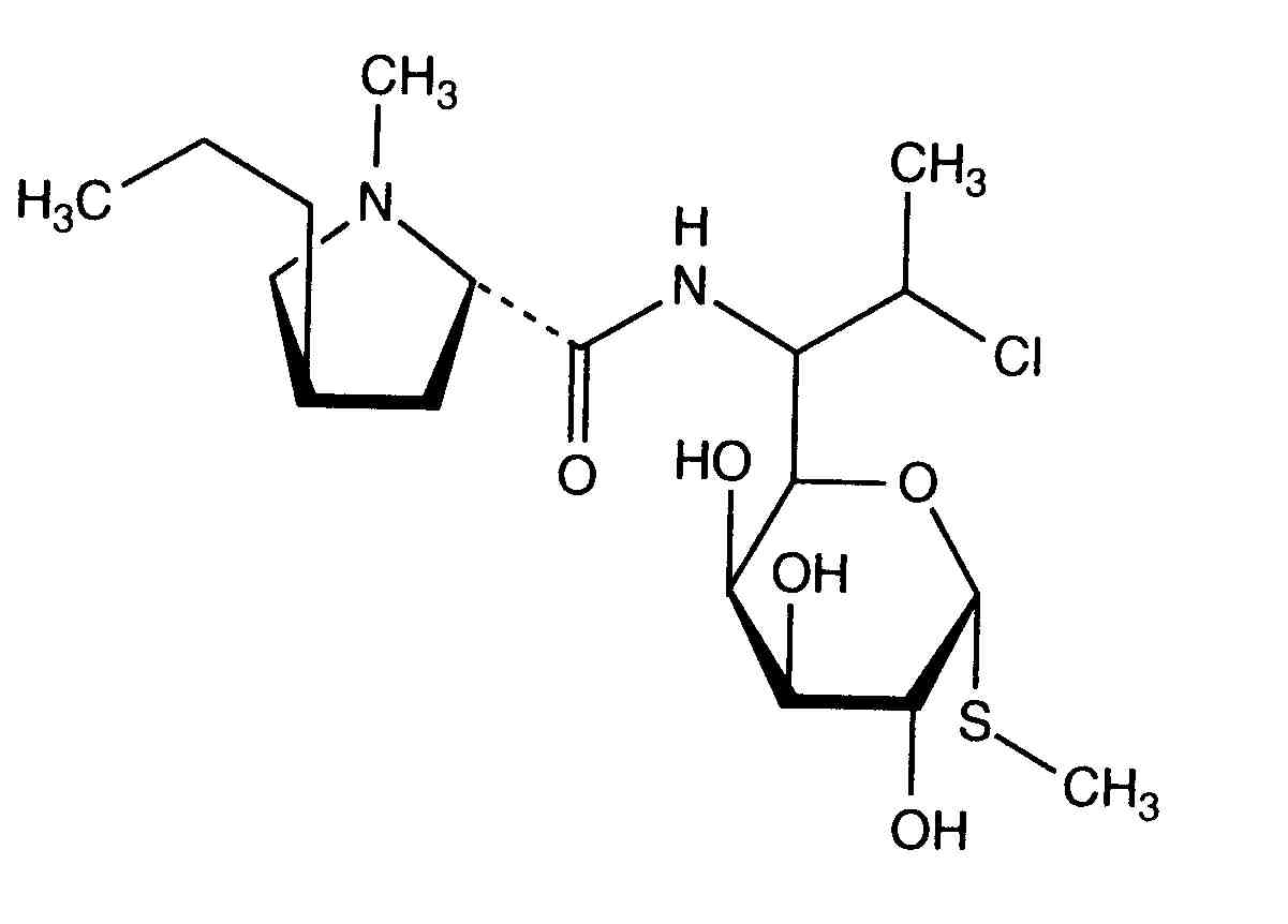
   Cheminė sandara  

Prekinis pavadinimas   Prekinis pavadinimas     

Trade names are indicative and excipients composition can be different depending on the country and manufacturers

Biodaclin Meksikas
Camyda Indija
Cinbiot Meksikas
Cleocin Austrija, Jungtinės Amerikos Valstijos, Turkija
Clinamsa Meksikas
Clinbac Kolumbija, Peru
Clincina Portugalija
Clinda-Saar Vokietija
Clindacid Venesuela
Clindacin Malaizija
Clindalaf Argentina
Clindamicina Argentina, Brazilija, Čilė, Ekvadoras, Ispanija, Italija, Kolumbija, Meksikas, Peru, Portugalija, Venesuela
Clindamycin Austrija, Iranas, Jungtinės Amerikos Valstijos, Kanada, Norvegija, Rumunija, Saudo Arabija, Švedija, Vokietija
Clindamycin-Hameln Vokietija
Clindamycine Belgija, Olandija, Prancūzija, Tunisas
Clindanovag Argentina
Clindarix Brazilija
Clindasol Vokietija
Clindaval Venesuela
Clindazyn Meksikas
Clindo Lenkija
Clysvic Meksikas
Daclin Čilė
Dalacin Airija, Australija, Belgija, Čilė, Danija, Didžioji Britanija, Egiptas, Ekvadoras, Graikija, Indija, Iranas, Islandija, Italija, Jungtiniai Arabų Emyratai, Kanada, Kolumbija, Lenkija, Liuksemburgas, Malaizija, Meksikas, Naujojoje Zelandijoje, Norvegija, Olandija, Saudo Arabija, Suomija, Švedija, Šveicarija, Tunisas, Venesuela, Vengrija
Dalacine Prancūzija, Tunisas
Daladic Iranas
Dalcinex Indija
Damclid Indija
Damicin Kolumbija, Meksikas
Damicine Kolumbija
Dolarclin Kolumbija
Euroclin Ekvadoras, Kolumbija
Gynasafe Indija
Indamid Meksikas
Klimicin Lenkija
Klindan Turkija
Klindaver Turkija
Lanacine Austrija
Lincocin Malaizija
Lincosa Malaizija
Meneklin Turkija
Sobelin Vokietija
Tidact Malaizija
Suderinamumas   Įpurškimas   Suderinamumas : Clindamycin phosphate              
explication_incompatibilite_molecules
Molekulė Tirpiklis Nuorodos
Suderinamas
Įpurškimas Clindamycin phosphate 12 mg/ml
Įpurškimas Aciclovir sodium 5 mg/ml
Gliukozė 5% 336
Nedelsiant krituliai Nesuderinamas
Įpurškimas Clindamycin phosphate 10 mg/ml
Įpurškimas Allopurinol sodium 3 mg/ml
Natrio chloridas 0,9% 307
Suderinamas
Įpurškimas Clindamycin phosphate 10 mg/ml
Įpurškimas Amifostine 10 mg/ml
Gliukozė 5% 3
Suderinamas
Įpurškimas Clindamycin phosphate
Įpurškimas Amikacin sulfate
Natrio chloridas 0,9% 3526
Suderinamas
Įpurškimas Clindamycin phosphate 9 mg/ml
Įpurškimas Amikacin sulfate 4 mg/ml
Natrio chloridas 0,9% 565
Suderinamas
Įpurškimas Clindamycin phosphate 9 mg/ml
Įpurškimas Amikacin sulfate 4 mg/ml
Gliukozė 5% 565
Suderinamas
Įpurškimas Clindamycin phosphate
Įpurškimas Amikacin sulfate
Gliukozė 5% 3526
Suderinamas
Įpurškimas Clindamycin phosphate 90 mg/ml
Įpurškimas Amikacin sulfate 75 mg/ml
Natrio chloridas 0,9% 639
Nepatikslintas nesuderinamumas Nesuderinamas
Įpurškimas Clindamycin phosphate
Įpurškimas Aminophylline
3526
Suderinamas
Įpurškimas Clindamycin phosphate 6 mg/ml
Įpurškimas Amiodarone hydrochloride 4 mg/ml
Natrio chloridas 0,9% 385
Suderinamas
Įpurškimas Clindamycin phosphate 6 mg/ml
Įpurškimas Amiodarone hydrochloride 4 mg/ml
Gliukozė 5% 385
Drumstumas per valandą Nesuderinamas
Įpurškimas Clindamycin phosphate 150 mg/ml
Įpurškimas Amoxicillin sodium / clavulanic acid 100/10 mg/ml
3824
Suderinamas
Įpurškimas Clindamycin phosphate 10 mg/ml
Įpurškimas Amphotericin B cholesteryl sulfate complex 0.83 mg/ml
Gliukozė 5% 921
Nepatikslintas nesuderinamumas Nesuderinamas
Įpurškimas Clindamycin phosphate
Įpurškimas Ampicillin sodium
3526
Suderinamas
Įpurškimas Clindamycin phosphate
Gliukozė 5% 3526
Nepatikslintas nesuderinamumas Nesuderinamas
Įpurškimas Clindamycin phosphate
Įpurškimas Amobarbital sodium
3526
Suderinamas
Įpurškimas Clindamycin phosphate 10 mg/ml
Įpurškimas Amsacrine 1 mg/ml
Gliukozė 5% 253
Suderinamas
Įpurškimas Clindamycin phosphate 10 mg/ml
Įpurškimas Anidulafungin 0.5 mg/ml
Gliukozė 5% 1982
pH modifikavimas> 1 pH vienetas Nesuderinamas
Įpurškimas Clindamycin phosphate 9 mg/ml
Įpurškimas Atosiban 0,75 mg/ml
4642
Suderinamas
Įpurškimas Clindamycin phosphate 6 mg/ml
Įpurškimas Aztreonam 10 mg/ml
Gliukozė 5% 419
Suderinamas
Įpurškimas Clindamycin phosphate 9 mg/ml
Įpurškimas Aztreonam 20 mg/ml
Gliukozė 5% 432
Suderinamas
Įpurškimas Clindamycin phosphate 60 mg/ml
Įpurškimas Aztreonam 200 mg/ml
Natrio chloridas 0,9% 644
Suderinamas
Įpurškimas Clindamycin phosphate
Įpurškimas Aztreonam
Natrio chloridas 0,9% 3526
Suderinamas
Įpurškimas Clindamycin phosphate 3 mg/ml
Įpurškimas Aztreonam 10 mg/ml
Gliukozė 5% 419
Suderinamas
Įpurškimas Clindamycin phosphate
Įpurškimas Aztreonam
Gliukozė 5% 3526
Suderinamas
Įpurškimas Clindamycin phosphate 24 mg/ml
Parenterinis maitinimas (lipidų nemokamai) 3379
Nedelsiant krituliai Nesuderinamas
Įpurškimas Clindamycin phosphate 30 mg/ml
Įpurškimas Azithromycine 2 mg/ml
Natrio chloridas 0,9% 1800
Suderinamas
Įpurškimas Clindamycin phosphate 3 mg/ml
Parenterinis maitinimas (lipidų nemokamai) 1055
Suderinamas
Įpurškimas Clindamycin phosphate 6 mg/ml
Įpurškimas Aztreonam 20 mg/ml
Natrio chloridas 0,9% 419
Suderinamas
Įpurškimas Clindamycin phosphate 3 mg/ml
Įpurškimas Aztreonam 20 mg/ml
Natrio chloridas 0,9% 419
Suderinamas
Įpurškimas Clindamycin phosphate 3 mg/ml
Įpurškimas Aztreonam 20 mg/ml
Gliukozė 5% 419
Suderinamas
Įpurškimas Clindamycin phosphate 6 mg/ml
Įpurškimas Aztreonam 20 mg/ml
Gliukozė 5% 419
Suderinamas
Įpurškimas Clindamycin phosphate 10 mg/ml
Įpurškimas Aztreonam 40 mg/ml
Gliukozė 5% 99
Suderinamas
Įpurškimas Clindamycin phosphate 3 mg/ml
Įpurškimas Aztreonam 10 mg/ml
Natrio chloridas 0,9% 419
Suderinamas
Įpurškimas Clindamycin phosphate 6 mg/ml
Įpurškimas Aztreonam 10 mg/ml
Natrio chloridas 0,9% 419
Suderinamas
Įpurškimas Clindamycin phosphate 9 mg/ml
Įpurškimas Aztreonam 20 mg/ml
Natrio chloridas 0,9% 432
Suderinamas
Įpurškimas Clindamycin phosphate 10 mg/ml
Įpurškimas Bivalirudin 5 mg/ml
Gliukozė 5% 1713
Suderinamas
Įpurškimas Clindamycin phosphate 150 mg/ml
Įpurškimas Caffeine 10 mg/ml
Nėra 3964
Nepatikslintas nesuderinamumas Nesuderinamas
Įpurškimas Clindamycin phosphate
Įpurškimas Calcium gluconate
3644
Nepatikslintas nesuderinamumas Nesuderinamas
Įpurškimas Clindamycin phosphate
Įpurškimas Calcium gluconate
3526
Nesuderinamas
Įpurškimas Clindamycin phosphate
Įpurškimas Calcium gluconate
4964
Nedelsiant krituliai Nesuderinamas
Įpurškimas Clindamycin phosphate 10 mg/ml
Įpurškimas Caspofungin acetate 0,7 mg/ml
Natrio chloridas 0,9% 2247
Nedelsiant krituliai Nesuderinamas
Įpurškimas Clindamycin phosphate 60 mg/ml
Įpurškimas Caspofungin acetate 0.5 mg/ml
Natrio chloridas 0,9% 2233
Suderinamas
Įpurškimas Clindamycin phosphate 9 mg/ml
Įpurškimas Cefamandole nafate 10 mg/ml
Gliukozė 5% 418
Suderinamas
Įpurškimas Clindamycin phosphate
Įpurškimas Cefamandole nafate
Natrio chloridas 0,9% 3526
Suderinamas
Įpurškimas Clindamycin phosphate 9 mg/ml
Įpurškimas Cefamandole nafate 10 mg/ml
Natrio chloridas 0,9% 418
Suderinamas
Įpurškimas Clindamycin phosphate
Įpurškimas Cefamandole nafate
Gliukozė 5% 3526
Suderinamas
Įpurškimas Clindamycin phosphate 9 mg/ml
Įpurškimas Cefazolin sodium 10 mg/ml
Natrio chloridas 0,9% 418
Suderinamas
Įpurškimas Clindamycin phosphate
Įpurškimas Cefazolin sodium
Natrio chloridas 0,9% 3526
Suderinamas
Įpurškimas Clindamycin phosphate 9 mg/ml
Įpurškimas Cefazolin sodium 10 mg/ml
Gliukozė 5% 418
Suderinamas
Įpurškimas Clindamycin phosphate 0,25 & 6 mg/ml
Įpurškimas Cefepime dihydrochloride 4 & 40 mg/ml
Gliukozė 5% 3548
Suderinamas
Įpurškimas Clindamycin phosphate 10 mg/ml
Įpurškimas Cefiderocol sulfate tosylate 20 mg/mL
Gliukozė 5% 4528
Suderinamas
Įpurškimas Clindamycin phosphate 12 mg/ml
Įpurškimas Cefoperazone sodium 20 mg/ml
Gliukozė 5% 644
Nepatikslintas nesuderinamumas Nesuderinamas
Įpurškimas Clindamycin phosphate
NaHCO3 3526
Suderinamas
Įpurškimas Clindamycin phosphate 12 mg/ml
Įpurškimas Cefonicid sodium 10 mg/ml
Natrio chloridas 0,9% 644
Suderinamas
Įpurškimas Clindamycin phosphate 10 mg/ml
Parenterinis maitinimas (lipidų nemokamai) 301
Suderinamas
Įpurškimas Clindamycin phosphate
Įpurškimas Cefazolin sodium
Gliukozė 5% 3526
Suderinamas
Įpurškimas Clindamycin phosphate 0,25 & 6 mg/ml
Įpurškimas Cefepime dihydrochloride 4 & 40 mg/ml
Natrio chloridas 0,9% 3548
Suderinamas
Įpurškimas Clindamycin phosphate 10 mg/ml
Įpurškimas Cefiderocol sulfate tosylate 20 mg/mL
Natrio chloridas 0,9% 4528
Suderinamas
Įpurškimas Clindamycin phosphate 12 mg/ml
Įpurškimas Cefonicid sodium 10 mg/ml
Gliukozė 5% 644
Suderinamas
Įpurškimas Clindamycin phosphate 12 mg/ml
Įpurškimas Cefoperazone sodium 20 mg/ml
Natrio chloridas 0,9% 644
Suderinamas
Įpurškimas Clindamycin phosphate 150 mg/ml
Parenterinis maitinimas (lipidų nemokamai) 999
Suderinamas
Įpurškimas Clindamycin phosphate
Įpurškimas Cefotaxime sodium
Gliukozė 5% 3526
Suderinamas
Įpurškimas Clindamycin phosphate 9 mg/ml
Įpurškimas Cefotaxime sodium 20 mg/ml
Gliukozė 5% 421
Suderinamas
Įpurškimas Clindamycin phosphate 9 mg/ml
Įpurškimas Cefotaxime sodium 20 mg/ml
Natrio chloridas 0,9% 421
Suderinamas
Įpurškimas Clindamycin phosphate
Įpurškimas Cefotaxime sodium
Natrio chloridas 0,9% 3526
Suderinamas
Įpurškimas Clindamycin phosphate
Įpurškimas Cefoxitin sodium
Natrio chloridas 0,9% 3526
Suderinamas
Įpurškimas Clindamycin phosphate 9 mg/ml
Įpurškimas Cefoxitin sodium 20 mg/ml
Gliukozė 5% 418
Suderinamas
Įpurškimas Clindamycin phosphate 9 mg/ml
Įpurškimas Cefoxitin sodium 20 mg/ml
Natrio chloridas 0,9% 418
Suderinamas
Įpurškimas Clindamycin phosphate
Įpurškimas Cefoxitin sodium
Gliukozė 5% 3526
Suderinamas
Įpurškimas Clindamycin phosphate 12 mg/ml
Įpurškimas Cefpirome sulfate 50 mg/ml
Natrio chloridas 0,9% 280
Suderinamas
Įpurškimas Clindamycin phosphate 12 mg/ml
Įpurškimas Cefpirome sulfate 50 mg/ml
Natrio chloridas 0,45% 280
Suderinamas
Įpurškimas Clindamycin phosphate 12 mg/ml
Įpurškimas Cefpirome sulfate 50 mg/ml
Gliukozė 5% 280
Suderinamas
Įpurškimas Clindamycin phosphate 12 mg/ml
Įpurškimas Cefpirome sulfate 50 mg/ml
Ringerio laktato tirpalas 280
Suderinamas
Įpurškimas Clindamycin phosphate 10 mg/ml
Įpurškimas Ceftaroline fosamil 2,22 mg/ml
Ringerio laktato tirpalas 3249
Suderinamas
Įpurškimas Clindamycin phosphate
Įpurškimas Ceftazidime
Gliukozė 5% 3526
Suderinamas
Įpurškimas Clindamycin phosphate 9 mg/ml
Įpurškimas Ceftizoxime sodium 20 mg/ml
Natrio chloridas 0,9% 418
Suderinamas
Įpurškimas Clindamycin phosphate
Įpurškimas Ceftizoxime sodium
Gliukozė 5% 3526
Suderinamas
Įpurškimas Clindamycin phosphate 10 mg/ml
Įpurškimas Ceftobiprole medocaril sodium 2 mg/ml
Natrio chloridas 0,9% 2269
Suderinamas
Įpurškimas Clindamycin phosphate 10 mg/ml
Įpurškimas Ceftobiprole medocaril sodium 2 mg/ml
Gliukozė 5% 2269
Suderinamas
Įpurškimas Clindamycin phosphate 10 mg/ml
Įpurškimas Ceftobiprole medocaril sodium 2 mg/ml
Ringerio laktato tirpalas 2269
Suderinamas
Įpurškimas Clindamycin phosphate 5,77 mg/ml
Parenteriniu būdu (su lipidų) 4440
Suderinamas
Įpurškimas Clindamycin phosphate 1.2 mg/ml
Įpurškimas Cimetidine hydrochloride 1.2 & 5 mg/ml
Gliukozė 5% 1201
Suderinamas
Įpurškimas Clindamycin phosphate 1.2 mg/ml
Įpurškimas Cimetidine hydrochloride 1.2 & 5 mg/ml
Natrio chloridas 0,9% 1201
Nedelsiant krituliai Nesuderinamas
Įpurškimas Clindamycin phosphate 7 mg/ml
Įpurškimas Ciprofloxacin lactate 1.5 mg/ml
Gliukozė 5% 434
Suderinamas
Įpurškimas Clindamycin phosphate 10 mg/ml
Įpurškimas Cisatracurium besylate 0.1 >> 5 mg/ml
Gliukozė 5% 299
Suderinamas
Įpurškimas Clindamycin phosphate 150 mg/ml
Įpurškimas Cloxacillin sodium 100 mg/ml
Vanduo injekcijoms 3012
Suderinamas
Įpurškimas Clindamycin phosphate 10 mg/ml
Įpurškimas Docetaxel 0.9 mg/ml
Gliukozė 5% 1754
Dujų burbulų susidarymas Nesuderinamas
Įpurškimas Clindamycin phosphate 10 mg/ml
Įpurškimas Doxapram hydrochloride 2 mg/ml
Gliukozė 5% 1802
Suderinamas
Įpurškimas Clindamycin phosphate 10 mg/ml
Įpurškimas Doxorubicin hydrochloride liposome peg 0.4 mg/ml
Gliukozė 5% 251
Suderinamas
Įpurškimas Clindamycin phosphate 9 mg/ml
Įpurškimas Esmolol hydrochloride 10 mg/ml
Gliukozė 5% 384
Suderinamas
Įpurškimas Clindamycin phosphate 9 mg/ml
Įpurškimas Fentanyl citrate 50 µg/ml
Gliukozė 5% 63
Suderinamas
Įpurškimas Clindamycin phosphate 10 mg/ml
Parenteriniu būdu (su lipidų) 3967
Suderinamas
Įpurškimas Clindamycin phosphate 10 mg/ml
Įpurškimas Ceftaroline fosamil 2,22 mg/ml
Gliukozė 5% 3249
Suderinamas
Įpurškimas Clindamycin phosphate 10 mg/ml
Įpurškimas Ceftaroline fosamil 2,22 mg/ml
Natrio chloridas 0,9% 3249
Suderinamas
Įpurškimas Clindamycin phosphate 9 mg/ml
Įpurškimas Ceftazidime 20 mg/ml
Gliukozė 5% 432
Suderinamas
Įpurškimas Clindamycin phosphate
Įpurškimas Ceftazidime
Natrio chloridas 0,9% 3526
Suderinamas
Įpurškimas Clindamycin phosphate 9 mg/ml
Įpurškimas Ceftazidime 20 mg/ml
Natrio chloridas 0,9% 432
Suderinamas
Įpurškimas Clindamycin phosphate 10 mg/ml
Parenteriniu būdu (su lipidų) 1415
Suderinamas
Įpurškimas Clindamycin phosphate 9 mg/ml
Įpurškimas Ceftizoxime sodium 20 mg/ml
Gliukozė 5% 418
Suderinamas
Įpurškimas Clindamycin phosphate
Įpurškimas Ceftizoxime sodium
Natrio chloridas 0,9% 3526
Cheminis nestabilumas Nesuderinamas
Įpurškimas Clindamycin phosphate 12 mg/ml
Įpurškimas Ceftriaxone disodium 20 mg/ml
Gliukozė 5% 432
Nepatikslintas nesuderinamumas Nesuderinamas
Įpurškimas Clindamycin phosphate
Įpurškimas Ceftriaxone disodium
3526
Cheminis nestabilumas Nesuderinamas
Įpurškimas Clindamycin phosphate 12 mg/ml
Įpurškimas Ceftriaxone disodium 20 mg/ml
Natrio chloridas 0,9% 432
Suderinamas
Įpurškimas Clindamycin phosphate 9 mg/ml
Įpurškimas Cefuroxime sodium 15 mg/ml
Natrio chloridas 0,9% 644
Suderinamas
Įpurškimas Clindamycin phosphate 9 mg/ml
Įpurškimas Cefuroxime sodium 15 mg/ml
Gliukozė 5% 644
Nedelsiant krituliai Nesuderinamas
Įpurškimas Clindamycin phosphate 7 mg/ml
Įpurškimas Ciprofloxacin lactate 1.5 mg/ml
Natrio chloridas 0,9% 434
Nepatikslintas nesuderinamumas Nesuderinamas
Įpurškimas Clindamycin phosphate
Įpurškimas Ciprofloxacin lactate
3526
Suderinamas
Įpurškimas Clindamycin phosphate 10 mg/ml
Įpurškimas Dexmedetomidine 4 µg/ml
Natrio chloridas 0,9% 1712
Suderinamas
Įpurškimas Clindamycin phosphate 12 & 150 mg/ml
Įpurškimas Diltiazem hydrochloride 5 mg/ml
Natrio chloridas 0,9% 198
Suderinamas
Įpurškimas Clindamycin phosphate
Įpurškimas Dimenhydrinate
2087
Suderinamas
Įpurškimas Clindamycin phosphate 9 mg/ml
Įpurškimas Enalaprilate 0.05 mg/ml
Natrio chloridas 0,9% 1315
Suderinamas
Įpurškimas Clindamycin phosphate 10 mg/ml
Įpurškimas Etoposide phosphate 5 mg/ml
Gliukozė 5% 1410
Suderinamas
Įpurškimas Clindamycin phosphate 10 mg/ml
Įpurškimas Fenoldopam mesylate 80 µg/ml
Natrio chloridas 0,9% 1803
Nedelsiant krituliai Nesuderinamas
Įpurškimas Clindamycin phosphate 10 mg/ml
Įpurškimas Filgrastim 30 µg/ml
Gliukozė 5% 244
Suderinamas
Įpurškimas Clindamycin phosphate 12 mg/ml
Įpurškimas Fluconazole 2 mg/ml
Nėra 256
Nedelsiant krituliai Nesuderinamas
Įpurškimas Clindamycin phosphate 24 mg/ml
Įpurškimas Fluconazole 2 mg/ml
Natrio chloridas 0,9% 496
Suderinamas
Įpurškimas Clindamycin phosphate 10 mg/ml
Įpurškimas Fludarabine phosphate 1 mg/ml
Gliukozė 5% 492
Suderinamas
Įpurškimas Clindamycin phosphate 12 mg/ml
Įpurškimas Foscarnet sodium 24 mg/ml
Gliukozė 5% 1135
Suderinamas
Įpurškimas Clindamycin phosphate 24 mg/ml
Įpurškimas Foscarnet sodium 24 mg/ml
Nėra 73
Suderinamas
Įpurškimas Clindamycin phosphate 12 mg/ml
Įpurškimas Foscarnet sodium 24 mg/ml
Natrio chloridas 0,9% 1135
Suderinamas
Įpurškimas Clindamycin phosphate 10 mg/ml
Įpurškimas Gemcitabine hydrochloride 10 mg/ml
Natrio chloridas 0,9% 1423
Suderinamas
Įpurškimas Clindamycin phosphate
Įpurškimas Gentamicin sulfate
Gliukozė 5% 3526
Suderinamas
Įpurškimas Clindamycin phosphate 90 mg/ml
Įpurškimas Gentamicin sulfate 12 mg/ml
Natrio chloridas 0,9% 639
Suderinamas
Įpurškimas Clindamycin phosphate 6 mg/ml
Įpurškimas Gentamicin sulfate 0.67 mg/ml
Gliukozė 5% 423
Suderinamas
Įpurškimas Clindamycin phosphate
Įpurškimas Gentamicin sulfate
Natrio chloridas 0,9% 3526
Suderinamas
Įpurškimas Clindamycin phosphate 10 mg/ml
Įpurškimas Granisetron hydrochloride 0.05 mg/ml
Gliukozė 5% 182
Suderinamas
Įpurškimas Clindamycin phosphate 12 mg/ml
Įpurškimas Heparin sodium 50 UI/ml
Nėra 317
Suderinamas
Įpurškimas Clindamycin phosphate 10 mg/ml
Įpurškimas Hetastarch 60 mg/ml
specifinis tirpiklis 1721
Suderinamas
Įpurškimas Clindamycin phosphate 12 mg/ml
Įpurškimas Hydromorphone hydrochloride 0.2 mg/ml
Gliukozė 5% 405
Nepatikslintas nesuderinamumas Nesuderinamas
Įpurškimas Clindamycin phosphate
Įpurškimas Idarubicin hydrochloride
3526
Nedelsiant krituliai Nesuderinamas
Įpurškimas Clindamycin phosphate 12 mg/ml
Įpurškimas Idarubicin hydrochloride 1 mg/ml
Natrio chloridas 0,9% 491
Suderinamas
Įpurškimas Clindamycin phosphate 150 mg/ml
Įpurškimas Ketamine hydrochloride 50 mg/ml
2109
Suderinamas
Įpurškimas Clindamycin phosphate 9 mg/ml
Įpurškimas Labetalol hydrochloride 1 mg/ml
Gliukozė 5% 386
Nedelsiant krituliai Nesuderinamas
Įpurškimas Clindamycin phosphate 10 mg/ml
Įpurškimas Lansoprazole 0.55 mg/ml
Natrio chloridas 0,9% 1625
Suderinamas
Įpurškimas Clindamycin phosphate 150 mg/ml
Įpurškimas Levofloxacine 5 mg/ml
Gliukozė 5% 1072
Suderinamas
Įpurškimas Clindamycin phosphate 10 mg/ml
Įpurškimas Linezolid 2 mg/ml
Nėra 1925
Nepatikslintas nesuderinamumas Nesuderinamas
Įpurškimas Clindamycin phosphate
Įpurškimas Magnesium chloride
5012
Nepatikslintas nesuderinamumas Nesuderinamas
Įpurškimas Clindamycin phosphate
Įpurškimas Magnesium sulfate
3838
Suderinamas
Įpurškimas Clindamycin phosphate 12 mg/ml
Įpurškimas Magnesium sulfate 16.67 >> 100 mg/ml
Gliukozė 5% 1047
Nepatikslintas nesuderinamumas Nesuderinamas
Įpurškimas Clindamycin phosphate
Įpurškimas Magnesium sulfate
3526
Suderinamas
Įpurškimas Clindamycin phosphate 10 mg/ml
Įpurškimas Melphalan 0.1 mg/ml
Natrio chloridas 0,9% 169
Suderinamas
Įpurškimas Clindamycin phosphate 150 mg/ml
Įpurškimas Meropenem 50 mg/ml
Vanduo injekcijoms 4319
Nepatikslintas nesuderinamumas Nesuderinamas
Įpurškimas Clindamycin phosphate
Įpurškimas Methohexital sodium
3526
Suderinamas
Įpurškimas Clindamycin phosphate 10 mg/ml
Įpurškimas Metronidazole 5 mg/ml
Nėra 1035
Suderinamas
Įpurškimas Clindamycin phosphate
Įpurškimas Metronidazole
3594
Suderinamas
Įpurškimas Clindamycin phosphate 9 mg/ml
Įpurškimas Midazolam hydrochloride 1 mg/ml
Gliukozė 5% 176
Suderinamas
Įpurškimas Clindamycin phosphate 12 mg/ml
Įpurškimas Morphine sulfate 1 mg/ml
Gliukozė 5% 405
Suderinamas
Įpurškimas Clindamycin phosphate 150 mg/ml
Įpurškimas N-acetylcysteine 200 mg/ml
Nėra 3766
Suderinamas
Įpurškimas Clindamycin phosphate 150 mg/ml
Įpurškimas Naloxone hydrochloride 0.4 mg/ml
Nėra 3408
Suderinamas
Įpurškimas Clindamycin phosphate
Įpurškimas Netilmicin sulfate
Natrio chloridas 0,9% 3526
Suderinamas
Įpurškimas Clindamycin phosphate 9 mg/ml
Įpurškimas Netilmicin sulfate 3 mg/ml
Gliukozė 5% 421
Suderinamas
Įpurškimas Clindamycin phosphate 9 mg/ml
Įpurškimas Netilmicin sulfate 3 mg/ml
Natrio chloridas 0,9% 421
Suderinamas
Įpurškimas Clindamycin phosphate
Įpurškimas Netilmicin sulfate
Gliukozė 5% 3526
Suderinamas
Įpurškimas Clindamycin phosphate 9 mg/ml
Įpurškimas Nicardipine hydrochloride 0.1 mg/ml
Natrio chloridas 0,9% 1490
Suderinamas
Įpurškimas Clindamycin phosphate 9 mg/ml
Įpurškimas Nicardipine hydrochloride 0.1 mg/ml
Gliukozė 5% 1490
Suderinamas
Įpurškimas Clindamycin phosphate 6 mg/ml
Įpurškimas Ofloxacin 2 mg/ml
Nėra 889
Suderinamas
Įpurškimas Clindamycin phosphate 10 mg/ml
Įpurškimas Ondansetron hydrochloride 1 mg/ml
Natrio chloridas 0,9% 334
Krituliai po 1 valandos Nesuderinamas
Įpurškimas Clindamycin phosphate 12 mg/ml
Įpurškimas Oritavancin 0.8 >>2 mg/ml
Gliukozė 5% 3152
Krituliai po 1 valandos Nesuderinamas
Įpurškimas Clindamycin phosphate
Įpurškimas Pantoprazole sodium
2090
Suderinamas
Įpurškimas Clindamycin phosphate 150 mg/ml
Įpurškimas Paracetamol 10 mg/ml
4742
Suderinamas
Įpurškimas Clindamycin phosphate 10 mg/ml
Įpurškimas Paracetamol 10 mg/ml
Nėra 3571
Suderinamas
Įpurškimas Clindamycin phosphate 10 mg/ml
Įpurškimas Pemetrexed disodium 20 mg/ml
Natrio chloridas 0,9% 1953
Nepatikslintas nesuderinamumas Nesuderinamas
Įpurškimas Clindamycin phosphate
Įpurškimas Pentobarbital sodium
3526
Suderinamas
Įpurškimas Clindamycin phosphate 12 mg/ml
Įpurškimas Pethidine hydrochloride 10 mg/ml
Gliukozė 5% 405
Nepatikslintas nesuderinamumas Nesuderinamas
Įpurškimas Clindamycin phosphate
Įpurškimas Phenobarbital sodium
3526
Nepatikslintas nesuderinamumas Nesuderinamas
Įpurškimas Clindamycin phosphate
Įpurškimas Phenytoin sodium
3526
Suderinamas
Įpurškimas Clindamycin phosphate 18 mg/ml
Įpurškimas Phloroglucinol 2,5 mg/ml
3791
Suderinamas
Įpurškimas Clindamycin phosphate
Įpurškimas Piperacillin sodium
Gliukozė 5% 3526
Suderinamas
Įpurškimas Clindamycin phosphate
Įpurškimas Piperacillin sodium
Natrio chloridas 0,9% 3526
Suderinamas
Įpurškimas Clindamycin phosphate 9 mg/ml
Įpurškimas Piperacillin sodium 40 mg/ml
Gliukozė 5% 432
Suderinamas
Įpurškimas Clindamycin phosphate 9 mg/ml
Įpurškimas Piperacillin sodium 40 mg/ml
Natrio chloridas 0,9% 432
Suderinamas
Įpurškimas Clindamycin phosphate 10 mg/ml
Įpurškimas Piperacillin sodium / tazobactam 40/5 mg/ml
Gliukozė 5% 81
Tiesioginis drumstumas Nesuderinamas
Įpurškimas Clindamycin phosphate 150 mg/ml
Įpurškimas Salbutamol sulfate 1 mg/ml
Nėra 3216
Nepatikslintas nesuderinamumas Nesuderinamas
Įpurškimas Clindamycin phosphate
Įpurškimas Sodium bicarbonate
3526
Nedelsiant krituliai Nesuderinamas
Įpurškimas Clindamycin phosphate 12 mg/ml
Įpurškimas Temocilline 83.33 mg/ml
Vanduo injekcijoms 2231
Suderinamas
Įpurškimas Clindamycin phosphate 10 mg/ml
Įpurškimas Teniposide 0.1 mg/ml
Gliukozė 5% 905
Nepatikslintas nesuderinamumas Nesuderinamas
Įpurškimas Clindamycin phosphate
Įpurškimas Thiopental sodium
3526
Suderinamas
Įpurškimas Clindamycin phosphate
Natrio chloridas 0,9% 3526
Suderinamas
Įpurškimas Clindamycin phosphate 10 mg/ml
Įpurškimas Propofol 10 mg/ml
Nėra 300
Nepatikslintas nesuderinamumas Nesuderinamas
Įpurškimas Clindamycin phosphate
Įpurškimas Ranitidine hydrochloride
3526
Suderinamas
Įpurškimas Clindamycin phosphate 10 mg/ml
Įpurškimas Remifentanil hydrochloride 25 & 250 µg/ml
Natrio chloridas 0,9% 59
Suderinamas
Įpurškimas Clindamycin phosphate 10 mg/ml
Įpurškimas Sargramostim 10 µg/ml
Natrio chloridas 0,9% 335
Suderinamas
Įpurškimas Clindamycin phosphate 12 mg/ml
Įpurškimas Tacrolimus 1000 µg/ml
Natrio chloridas 0,9% 479
Suderinamas
Įpurškimas Clindamycin phosphate 12 mg/ml
Įpurškimas Theophylline 4 mg/ml
Nėra 317
Nedelsiant krituliai Nesuderinamas
Įpurškimas Clindamycin phosphate 150 mg/ml
Įpurškimas Thiopental sodium 25 mg/ml
Natrio chloridas 0,9% 3767
Suderinamas
Įpurškimas Clindamycin phosphate 10 mg/ml
Įpurškimas Thiotepa 1 mg/ml
Gliukozė 5% 249
Suderinamas
Įpurškimas Clindamycin phosphate
Įpurškimas Tobramycin sulfate
Natrio chloridas 0,9% 3526
Nedelsiant krituliai Nesuderinamas
Įpurškimas Clindamycin phosphate 90 mg/ml
Įpurškimas Tobramycin sulfate 12 mg/ml
Natrio chloridas 0,9% 639
Suderinamas
Įpurškimas Clindamycin phosphate
Įpurškimas Tobramycin sulfate
Gliukozė 5% 3526
Krituliai po 2 valandų Nesuderinamas
Įpurškimas Clindamycin phosphate 6 mg/ml
Įpurškimas Tramadol hydrochloride 0,4 mg/ml
Natrio chloridas 0,9% 2002
Suderinamas
Įpurškimas Clindamycin phosphate 1.2 mg/ml
Įpurškimas Verapamil hydrochloride 0.08 mg/ml
Natrio chloridas 0,9% 1057
Suderinamas
Įpurškimas Clindamycin phosphate 1.2 mg/ml
Įpurškimas Verapamil hydrochloride 0.08 mg/ml
Gliukozė 5% 1057
Suderinamas
Įpurškimas Clindamycin phosphate 10 mg/ml
Įpurškimas Vinorelbine tartrate 1 mg/ml
Natrio chloridas 0,9% 84
Suderinamas
Įpurškimas Clindamycin phosphate 12 mg/ml
Įpurškimas Zidovudine 4 mg/ml
Gliukozė 5% 337

  Mentions Légales