Ultimele actualizari :
18/03/2026
Antibiotic   Clindamycin phosphate  
Injectabil
Stabilitatea in solutie Stabilitatea in amestec Factorii care influenteaza stabilitatea Compatibilitate Microunde Bibliografie pdf
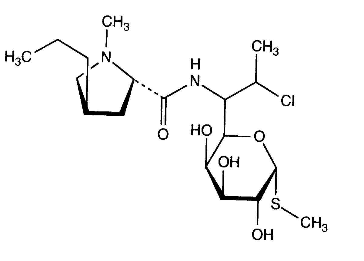
   Formula chimica  

Denumirea comerciala   Denumirea comerciala     

Trade names are indicative and excipients composition can be different depending on the country and manufacturers

Biodaclin Mexic
Camyda India
Cinbiot Mexic
Cleocin Austria, SUA, Turcia
Clinamsa Mexic
Clinbac Columbia, Peru
Clincina Portugalia
Clinda-Saar Germania
Clindacid Venezuela
Clindacin Malaezia
Clindalaf Argentina
Clindamicina Argentina, Brazilia, Chilli, Columbia, Ecuador, Italia, Mexic, Peru, Portugalia, Spania, Venezuela
Clindamycin Arabia Saudita, Austria, Canada, Germania, Iran, Norvegia, Romania, SUA, Suedia
Clindamycin-Hameln Germania
Clindamycine Belgia, Franta, Olanda, Tunisia
Clindanovag Argentina
Clindarix Brazilia
Clindasol Germania
Clindaval Venezuela
Clindazyn Mexic
Clindo Polonia
Clysvic Mexic
Daclin Chilli
Dalacin Arabia Saudita, Australia, Belgia, Canada, Chilli, Columbia, Danemarca, Ecuador, Egipt, Elvetia, Emiratele Arabe Unite, Finlanda, Grecia, India, Iran, Irlanda, Islanda, Italia, Luxemburg, Malaezia, Marea Britanie, Mexic, Norvegia, noua Zeelandă, Olanda, Polonia, Suedia, Tunisia, Ungaria, Venezuela
Dalacine Franta, Tunisia
Daladic Iran
Dalcinex India
Damclid India
Damicin Columbia, Mexic
Damicine Columbia
Dolarclin Columbia
Euroclin Columbia, Ecuador
Gynasafe India
Indamid Mexic
Klimicin Polonia
Klindan Turcia
Klindaver Turcia
Lanacine Austria
Lincocin Malaezia
Lincosa Malaezia
Meneklin Turcia
Sobelin Germania
Tidact Malaezia
Compatibilitate   Injectabil   Compatibilitate : Clindamycin phosphate              
Acest ecran indică compatibilitățile sau incompatibilitățile cu, în acest caz, tipul de incompatibilitate (precipitații, schimbarea culorii, modificarea unei emulsii etc.). Compatibilitățile prezentate aici sunt în mare parte numai fizice, stabilitatea chimică a fiecărei molecule fiind rareori evaluată. Evaluarea acestor amestecuri a fost studiată pentru a lua în considerare posibilitatea administrării site-ului Y la pacient. Aceste date nu pot fi utilizate pentru prepararea în prealabil a amestecurilor în pungi sau seringi. Acest tip de informații este disponibil în ecranul „Stabilitate în amestec».
Molecula (substanta activa) Solvent Bibiografie
Compatibil
Injectabil Clindamycin phosphate 12 mg/ml
Injectabil Aciclovir sodium 5 mg/ml
Glucoza 5% 336
Precipitații imediate Incompatibil
Injectabil Clindamycin phosphate 10 mg/ml
Injectabil Allopurinol sodium 3 mg/ml
clorura de sodiu 0,9% 307
Compatibil
Injectabil Clindamycin phosphate 10 mg/ml
Injectabil Amifostine 10 mg/ml
Glucoza 5% 3
Compatibil
Injectabil Clindamycin phosphate
Injectabil Amikacin sulfate
clorura de sodiu 0,9% 3526
Compatibil
Injectabil Clindamycin phosphate 9 mg/ml
Injectabil Amikacin sulfate 4 mg/ml
clorura de sodiu 0,9% 565
Compatibil
Injectabil Clindamycin phosphate 9 mg/ml
Injectabil Amikacin sulfate 4 mg/ml
Glucoza 5% 565
Compatibil
Injectabil Clindamycin phosphate
Injectabil Amikacin sulfate
Glucoza 5% 3526
Compatibil
Injectabil Clindamycin phosphate 90 mg/ml
Injectabil Amikacin sulfate 75 mg/ml
clorura de sodiu 0,9% 639
Incompatibilitate nespecificată Incompatibil
Injectabil Clindamycin phosphate
Injectabil Aminophylline
3526
Compatibil
Injectabil Clindamycin phosphate 6 mg/ml
Injectabil Amiodarone hydrochloride 4 mg/ml
clorura de sodiu 0,9% 385
Compatibil
Injectabil Clindamycin phosphate 6 mg/ml
Injectabil Amiodarone hydrochloride 4 mg/ml
Glucoza 5% 385
Turbiditate într-o oră Incompatibil
Injectabil Clindamycin phosphate 150 mg/ml
Injectabil Amoxicillin sodium / clavulanic acid 100/10 mg/ml
3824
Compatibil
Injectabil Clindamycin phosphate 10 mg/ml
Injectabil Amphotericin B cholesteryl sulfate complex 0.83 mg/ml
Glucoza 5% 921
Incompatibilitate nespecificată Incompatibil
Injectabil Clindamycin phosphate
Injectabil Ampicillin sodium
3526
Compatibil
Injectabil Clindamycin phosphate
Glucoza 5% 3526
Incompatibilitate nespecificată Incompatibil
Injectabil Clindamycin phosphate
Injectabil Amobarbital sodium
3526
Compatibil
Injectabil Clindamycin phosphate 10 mg/ml
Injectabil Amsacrine 1 mg/ml
Glucoza 5% 253
Compatibil
Injectabil Clindamycin phosphate 10 mg/ml
Injectabil Anidulafungin 0.5 mg/ml
Glucoza 5% 1982
Modificarea pH-ului> 1 unitate de pH Incompatibil
Injectabil Clindamycin phosphate 9 mg/ml
Injectabil Atosiban 0,75 mg/ml
4642
Compatibil
Injectabil Clindamycin phosphate 6 mg/ml
Injectabil Aztreonam 10 mg/ml
Glucoza 5% 419
Compatibil
Injectabil Clindamycin phosphate 9 mg/ml
Injectabil Aztreonam 20 mg/ml
Glucoza 5% 432
Compatibil
Injectabil Clindamycin phosphate 60 mg/ml
Injectabil Aztreonam 200 mg/ml
clorura de sodiu 0,9% 644
Compatibil
Injectabil Clindamycin phosphate
Injectabil Aztreonam
clorura de sodiu 0,9% 3526
Compatibil
Injectabil Clindamycin phosphate 3 mg/ml
Injectabil Aztreonam 10 mg/ml
Glucoza 5% 419
Compatibil
Injectabil Clindamycin phosphate
Injectabil Aztreonam
Glucoza 5% 3526
Compatibil
Injectabil Clindamycin phosphate 24 mg/ml
Nutritie parenterala (amestec binar) 3379
Precipitații imediate Incompatibil
Injectabil Clindamycin phosphate 30 mg/ml
Injectabil Azithromycine 2 mg/ml
clorura de sodiu 0,9% 1800
Compatibil
Injectabil Clindamycin phosphate 3 mg/ml
Nutritie parenterala (amestec binar) 1055
Compatibil
Injectabil Clindamycin phosphate 6 mg/ml
Injectabil Aztreonam 20 mg/ml
clorura de sodiu 0,9% 419
Compatibil
Injectabil Clindamycin phosphate 3 mg/ml
Injectabil Aztreonam 20 mg/ml
clorura de sodiu 0,9% 419
Compatibil
Injectabil Clindamycin phosphate 3 mg/ml
Injectabil Aztreonam 20 mg/ml
Glucoza 5% 419
Compatibil
Injectabil Clindamycin phosphate 6 mg/ml
Injectabil Aztreonam 20 mg/ml
Glucoza 5% 419
Compatibil
Injectabil Clindamycin phosphate 10 mg/ml
Injectabil Aztreonam 40 mg/ml
Glucoza 5% 99
Compatibil
Injectabil Clindamycin phosphate 3 mg/ml
Injectabil Aztreonam 10 mg/ml
clorura de sodiu 0,9% 419
Compatibil
Injectabil Clindamycin phosphate 6 mg/ml
Injectabil Aztreonam 10 mg/ml
clorura de sodiu 0,9% 419
Compatibil
Injectabil Clindamycin phosphate 9 mg/ml
Injectabil Aztreonam 20 mg/ml
clorura de sodiu 0,9% 432
Compatibil
Injectabil Clindamycin phosphate 10 mg/ml
Injectabil Bivalirudin 5 mg/ml
Glucoza 5% 1713
Compatibil
Injectabil Clindamycin phosphate 150 mg/ml
Injectabil Caffeine 10 mg/ml
fara 3964
Incompatibilitate nespecificată Incompatibil
Injectabil Clindamycin phosphate
Injectabil Calcium gluconate
3644
Incompatibilitate nespecificată Incompatibil
Injectabil Clindamycin phosphate
Injectabil Calcium gluconate
3526
Incompatibil
Injectabil Clindamycin phosphate
Injectabil Calcium gluconate
4964
Precipitații imediate Incompatibil
Injectabil Clindamycin phosphate 10 mg/ml
Injectabil Caspofungin acetate 0,7 mg/ml
clorura de sodiu 0,9% 2247
Precipitații imediate Incompatibil
Injectabil Clindamycin phosphate 60 mg/ml
Injectabil Caspofungin acetate 0.5 mg/ml
clorura de sodiu 0,9% 2233
Compatibil
Injectabil Clindamycin phosphate 9 mg/ml
Injectabil Cefamandole nafate 10 mg/ml
Glucoza 5% 418
Compatibil
Injectabil Clindamycin phosphate
Injectabil Cefamandole nafate
clorura de sodiu 0,9% 3526
Compatibil
Injectabil Clindamycin phosphate 9 mg/ml
Injectabil Cefamandole nafate 10 mg/ml
clorura de sodiu 0,9% 418
Compatibil
Injectabil Clindamycin phosphate
Injectabil Cefamandole nafate
Glucoza 5% 3526
Compatibil
Injectabil Clindamycin phosphate 9 mg/ml
Injectabil Cefazolin sodium 10 mg/ml
clorura de sodiu 0,9% 418
Compatibil
Injectabil Clindamycin phosphate
Injectabil Cefazolin sodium
clorura de sodiu 0,9% 3526
Compatibil
Injectabil Clindamycin phosphate 9 mg/ml
Injectabil Cefazolin sodium 10 mg/ml
Glucoza 5% 418
Compatibil
Injectabil Clindamycin phosphate 0,25 & 6 mg/ml
Injectabil Cefepime dihydrochloride 4 & 40 mg/ml
Glucoza 5% 3548
Compatibil
Injectabil Clindamycin phosphate 10 mg/ml
Injectabil Cefiderocol sulfate tosylate 20 mg/mL
Glucoza 5% 4528
Compatibil
Injectabil Clindamycin phosphate 12 mg/ml
Injectabil Cefoperazone sodium 20 mg/ml
Glucoza 5% 644
Incompatibilitate nespecificată Incompatibil
Injectabil Clindamycin phosphate
NaHCO3 3526
Compatibil
Injectabil Clindamycin phosphate 12 mg/ml
Injectabil Cefonicid sodium 10 mg/ml
clorura de sodiu 0,9% 644
Compatibil
Injectabil Clindamycin phosphate 10 mg/ml
Nutritie parenterala (amestec binar) 301
Compatibil
Injectabil Clindamycin phosphate
Injectabil Cefazolin sodium
Glucoza 5% 3526
Compatibil
Injectabil Clindamycin phosphate 0,25 & 6 mg/ml
Injectabil Cefepime dihydrochloride 4 & 40 mg/ml
clorura de sodiu 0,9% 3548
Compatibil
Injectabil Clindamycin phosphate 10 mg/ml
Injectabil Cefiderocol sulfate tosylate 20 mg/mL
clorura de sodiu 0,9% 4528
Compatibil
Injectabil Clindamycin phosphate 12 mg/ml
Injectabil Cefonicid sodium 10 mg/ml
Glucoza 5% 644
Compatibil
Injectabil Clindamycin phosphate 12 mg/ml
Injectabil Cefoperazone sodium 20 mg/ml
clorura de sodiu 0,9% 644
Compatibil
Injectabil Clindamycin phosphate 150 mg/ml
Nutritie parenterala (amestec binar) 999
Compatibil
Injectabil Clindamycin phosphate
Injectabil Cefotaxime sodium
Glucoza 5% 3526
Compatibil
Injectabil Clindamycin phosphate 9 mg/ml
Injectabil Cefotaxime sodium 20 mg/ml
Glucoza 5% 421
Compatibil
Injectabil Clindamycin phosphate 9 mg/ml
Injectabil Cefotaxime sodium 20 mg/ml
clorura de sodiu 0,9% 421
Compatibil
Injectabil Clindamycin phosphate
Injectabil Cefotaxime sodium
clorura de sodiu 0,9% 3526
Compatibil
Injectabil Clindamycin phosphate
Injectabil Cefoxitin sodium
clorura de sodiu 0,9% 3526
Compatibil
Injectabil Clindamycin phosphate 9 mg/ml
Injectabil Cefoxitin sodium 20 mg/ml
Glucoza 5% 418
Compatibil
Injectabil Clindamycin phosphate 9 mg/ml
Injectabil Cefoxitin sodium 20 mg/ml
clorura de sodiu 0,9% 418
Compatibil
Injectabil Clindamycin phosphate
Injectabil Cefoxitin sodium
Glucoza 5% 3526
Compatibil
Injectabil Clindamycin phosphate 12 mg/ml
Injectabil Cefpirome sulfate 50 mg/ml
clorura de sodiu 0,9% 280
Compatibil
Injectabil Clindamycin phosphate 12 mg/ml
Injectabil Cefpirome sulfate 50 mg/ml
clorura de sodiu 0,45% 280
Compatibil
Injectabil Clindamycin phosphate 12 mg/ml
Injectabil Cefpirome sulfate 50 mg/ml
Glucoza 5% 280
Compatibil
Injectabil Clindamycin phosphate 12 mg/ml
Injectabil Cefpirome sulfate 50 mg/ml
Solutie Ringer lactat 280
Compatibil
Injectabil Clindamycin phosphate 10 mg/ml
Injectabil Ceftaroline fosamil 2,22 mg/ml
Solutie Ringer lactat 3249
Compatibil
Injectabil Clindamycin phosphate
Injectabil Ceftazidime
Glucoza 5% 3526
Compatibil
Injectabil Clindamycin phosphate 9 mg/ml
Injectabil Ceftizoxime sodium 20 mg/ml
clorura de sodiu 0,9% 418
Compatibil
Injectabil Clindamycin phosphate
Injectabil Ceftizoxime sodium
Glucoza 5% 3526
Compatibil
Injectabil Clindamycin phosphate 10 mg/ml
Injectabil Ceftobiprole medocaril sodium 2 mg/ml
clorura de sodiu 0,9% 2269
Compatibil
Injectabil Clindamycin phosphate 10 mg/ml
Injectabil Ceftobiprole medocaril sodium 2 mg/ml
Glucoza 5% 2269
Compatibil
Injectabil Clindamycin phosphate 10 mg/ml
Injectabil Ceftobiprole medocaril sodium 2 mg/ml
Solutie Ringer lactat 2269
Compatibil
Injectabil Clindamycin phosphate 5,77 mg/ml
Nutriție parenterală (cu lipide) 4440
Compatibil
Injectabil Clindamycin phosphate 1.2 mg/ml
Injectabil Cimetidine hydrochloride 1.2 & 5 mg/ml
Glucoza 5% 1201
Compatibil
Injectabil Clindamycin phosphate 1.2 mg/ml
Injectabil Cimetidine hydrochloride 1.2 & 5 mg/ml
clorura de sodiu 0,9% 1201
Precipitații imediate Incompatibil
Injectabil Clindamycin phosphate 7 mg/ml
Injectabil Ciprofloxacin lactate 1.5 mg/ml
Glucoza 5% 434
Compatibil
Injectabil Clindamycin phosphate 10 mg/ml
Injectabil Cisatracurium besylate 0.1 >> 5 mg/ml
Glucoza 5% 299
Compatibil
Injectabil Clindamycin phosphate 150 mg/ml
Injectabil Cloxacillin sodium 100 mg/ml
apa pentru preparate injectabile 3012
Compatibil
Injectabil Clindamycin phosphate 10 mg/ml
Injectabil Docetaxel 0.9 mg/ml
Glucoza 5% 1754
Producția de bule de gaz Incompatibil
Injectabil Clindamycin phosphate 10 mg/ml
Injectabil Doxapram hydrochloride 2 mg/ml
Glucoza 5% 1802
Compatibil
Injectabil Clindamycin phosphate 10 mg/ml
Injectabil Doxorubicin hydrochloride liposome peg 0.4 mg/ml
Glucoza 5% 251
Compatibil
Injectabil Clindamycin phosphate 9 mg/ml
Injectabil Esmolol hydrochloride 10 mg/ml
Glucoza 5% 384
Compatibil
Injectabil Clindamycin phosphate 9 mg/ml
Injectabil Fentanyl citrate 50 µg/ml
Glucoza 5% 63
Compatibil
Injectabil Clindamycin phosphate 10 mg/ml
Nutriție parenterală (cu lipide) 3967
Compatibil
Injectabil Clindamycin phosphate 10 mg/ml
Injectabil Ceftaroline fosamil 2,22 mg/ml
Glucoza 5% 3249
Compatibil
Injectabil Clindamycin phosphate 10 mg/ml
Injectabil Ceftaroline fosamil 2,22 mg/ml
clorura de sodiu 0,9% 3249
Compatibil
Injectabil Clindamycin phosphate 9 mg/ml
Injectabil Ceftazidime 20 mg/ml
Glucoza 5% 432
Compatibil
Injectabil Clindamycin phosphate
Injectabil Ceftazidime
clorura de sodiu 0,9% 3526
Compatibil
Injectabil Clindamycin phosphate 9 mg/ml
Injectabil Ceftazidime 20 mg/ml
clorura de sodiu 0,9% 432
Compatibil
Injectabil Clindamycin phosphate 10 mg/ml
Nutriție parenterală (cu lipide) 1415
Compatibil
Injectabil Clindamycin phosphate 9 mg/ml
Injectabil Ceftizoxime sodium 20 mg/ml
Glucoza 5% 418
Compatibil
Injectabil Clindamycin phosphate
Injectabil Ceftizoxime sodium
clorura de sodiu 0,9% 3526
Instabilitate chimică Incompatibil
Injectabil Clindamycin phosphate 12 mg/ml
Injectabil Ceftriaxone disodium 20 mg/ml
Glucoza 5% 432
Incompatibilitate nespecificată Incompatibil
Injectabil Clindamycin phosphate
Injectabil Ceftriaxone disodium
3526
Instabilitate chimică Incompatibil
Injectabil Clindamycin phosphate 12 mg/ml
Injectabil Ceftriaxone disodium 20 mg/ml
clorura de sodiu 0,9% 432
Compatibil
Injectabil Clindamycin phosphate 9 mg/ml
Injectabil Cefuroxime sodium 15 mg/ml
clorura de sodiu 0,9% 644
Compatibil
Injectabil Clindamycin phosphate 9 mg/ml
Injectabil Cefuroxime sodium 15 mg/ml
Glucoza 5% 644
Precipitații imediate Incompatibil
Injectabil Clindamycin phosphate 7 mg/ml
Injectabil Ciprofloxacin lactate 1.5 mg/ml
clorura de sodiu 0,9% 434
Incompatibilitate nespecificată Incompatibil
Injectabil Clindamycin phosphate
Injectabil Ciprofloxacin lactate
3526
Compatibil
Injectabil Clindamycin phosphate 10 mg/ml
Injectabil Dexmedetomidine 4 µg/ml
clorura de sodiu 0,9% 1712
Compatibil
Injectabil Clindamycin phosphate 12 & 150 mg/ml
Injectabil Diltiazem hydrochloride 5 mg/ml
clorura de sodiu 0,9% 198
Compatibil
Injectabil Clindamycin phosphate
Injectabil Dimenhydrinate
2087
Compatibil
Injectabil Clindamycin phosphate 9 mg/ml
Injectabil Enalaprilate 0.05 mg/ml
clorura de sodiu 0,9% 1315
Compatibil
Injectabil Clindamycin phosphate 10 mg/ml
Injectabil Etoposide phosphate 5 mg/ml
Glucoza 5% 1410
Compatibil
Injectabil Clindamycin phosphate 10 mg/ml
Injectabil Fenoldopam mesylate 80 µg/ml
clorura de sodiu 0,9% 1803
Precipitații imediate Incompatibil
Injectabil Clindamycin phosphate 10 mg/ml
Injectabil Filgrastim 30 µg/ml
Glucoza 5% 244
Compatibil
Injectabil Clindamycin phosphate 12 mg/ml
Injectabil Fluconazole 2 mg/ml
fara 256
Precipitații imediate Incompatibil
Injectabil Clindamycin phosphate 24 mg/ml
Injectabil Fluconazole 2 mg/ml
clorura de sodiu 0,9% 496
Compatibil
Injectabil Clindamycin phosphate 10 mg/ml
Injectabil Fludarabine phosphate 1 mg/ml
Glucoza 5% 492
Compatibil
Injectabil Clindamycin phosphate 12 mg/ml
Injectabil Foscarnet sodium 24 mg/ml
Glucoza 5% 1135
Compatibil
Injectabil Clindamycin phosphate 24 mg/ml
Injectabil Foscarnet sodium 24 mg/ml
fara 73
Compatibil
Injectabil Clindamycin phosphate 12 mg/ml
Injectabil Foscarnet sodium 24 mg/ml
clorura de sodiu 0,9% 1135
Compatibil
Injectabil Clindamycin phosphate 10 mg/ml
Injectabil Gemcitabine hydrochloride 10 mg/ml
clorura de sodiu 0,9% 1423
Compatibil
Injectabil Clindamycin phosphate
Injectabil Gentamicin sulfate
Glucoza 5% 3526
Compatibil
Injectabil Clindamycin phosphate 90 mg/ml
Injectabil Gentamicin sulfate 12 mg/ml
clorura de sodiu 0,9% 639
Compatibil
Injectabil Clindamycin phosphate 6 mg/ml
Injectabil Gentamicin sulfate 0.67 mg/ml
Glucoza 5% 423
Compatibil
Injectabil Clindamycin phosphate
Injectabil Gentamicin sulfate
clorura de sodiu 0,9% 3526
Compatibil
Injectabil Clindamycin phosphate 10 mg/ml
Injectabil Granisetron hydrochloride 0.05 mg/ml
Glucoza 5% 182
Compatibil
Injectabil Clindamycin phosphate 12 mg/ml
Injectabil Heparin sodium 50 UI/ml
fara 317
Compatibil
Injectabil Clindamycin phosphate 10 mg/ml
Injectabil Hetastarch 60 mg/ml
specific de solvent 1721
Compatibil
Injectabil Clindamycin phosphate 12 mg/ml
Injectabil Hydromorphone hydrochloride 0.2 mg/ml
Glucoza 5% 405
Incompatibilitate nespecificată Incompatibil
Injectabil Clindamycin phosphate
Injectabil Idarubicin hydrochloride
3526
Precipitații imediate Incompatibil
Injectabil Clindamycin phosphate 12 mg/ml
Injectabil Idarubicin hydrochloride 1 mg/ml
clorura de sodiu 0,9% 491
Compatibil
Injectabil Clindamycin phosphate 150 mg/ml
Injectabil Ketamine hydrochloride 50 mg/ml
2109
Compatibil
Injectabil Clindamycin phosphate 9 mg/ml
Injectabil Labetalol hydrochloride 1 mg/ml
Glucoza 5% 386
Precipitații imediate Incompatibil
Injectabil Clindamycin phosphate 10 mg/ml
Injectabil Lansoprazole 0.55 mg/ml
clorura de sodiu 0,9% 1625
Compatibil
Injectabil Clindamycin phosphate 150 mg/ml
Injectabil Levofloxacine 5 mg/ml
Glucoza 5% 1072
Compatibil
Injectabil Clindamycin phosphate 10 mg/ml
Injectabil Linezolid 2 mg/ml
fara 1925
Incompatibilitate nespecificată Incompatibil
Injectabil Clindamycin phosphate
Injectabil Magnesium chloride
5012
Incompatibilitate nespecificată Incompatibil
Injectabil Clindamycin phosphate
Injectabil Magnesium sulfate
3838
Compatibil
Injectabil Clindamycin phosphate 12 mg/ml
Injectabil Magnesium sulfate 16.67 >> 100 mg/ml
Glucoza 5% 1047
Incompatibilitate nespecificată Incompatibil
Injectabil Clindamycin phosphate
Injectabil Magnesium sulfate
3526
Compatibil
Injectabil Clindamycin phosphate 10 mg/ml
Injectabil Melphalan 0.1 mg/ml
clorura de sodiu 0,9% 169
Compatibil
Injectabil Clindamycin phosphate 150 mg/ml
Injectabil Meropenem 50 mg/ml
apa pentru preparate injectabile 4319
Incompatibilitate nespecificată Incompatibil
Injectabil Clindamycin phosphate
Injectabil Methohexital sodium
3526
Compatibil
Injectabil Clindamycin phosphate 10 mg/ml
Injectabil Metronidazole 5 mg/ml
fara 1035
Compatibil
Injectabil Clindamycin phosphate
Injectabil Metronidazole
3594
Compatibil
Injectabil Clindamycin phosphate 9 mg/ml
Injectabil Midazolam hydrochloride 1 mg/ml
Glucoza 5% 176
Compatibil
Injectabil Clindamycin phosphate 12 mg/ml
Injectabil Morphine sulfate 1 mg/ml
Glucoza 5% 405
Compatibil
Injectabil Clindamycin phosphate 150 mg/ml
Injectabil N-acetylcysteine 200 mg/ml
fara 3766
Compatibil
Injectabil Clindamycin phosphate 150 mg/ml
Injectabil Naloxone hydrochloride 0.4 mg/ml
fara 3408
Compatibil
Injectabil Clindamycin phosphate
Injectabil Netilmicin sulfate
clorura de sodiu 0,9% 3526
Compatibil
Injectabil Clindamycin phosphate 9 mg/ml
Injectabil Netilmicin sulfate 3 mg/ml
Glucoza 5% 421
Compatibil
Injectabil Clindamycin phosphate 9 mg/ml
Injectabil Netilmicin sulfate 3 mg/ml
clorura de sodiu 0,9% 421
Compatibil
Injectabil Clindamycin phosphate
Injectabil Netilmicin sulfate
Glucoza 5% 3526
Compatibil
Injectabil Clindamycin phosphate 9 mg/ml
Injectabil Nicardipine hydrochloride 0.1 mg/ml
clorura de sodiu 0,9% 1490
Compatibil
Injectabil Clindamycin phosphate 9 mg/ml
Injectabil Nicardipine hydrochloride 0.1 mg/ml
Glucoza 5% 1490
Compatibil
Injectabil Clindamycin phosphate 6 mg/ml
Injectabil Ofloxacin 2 mg/ml
fara 889
Compatibil
Injectabil Clindamycin phosphate 10 mg/ml
Injectabil Ondansetron hydrochloride 1 mg/ml
clorura de sodiu 0,9% 334
Precipitații după 1 oră Incompatibil
Injectabil Clindamycin phosphate 12 mg/ml
Injectabil Oritavancin 0.8 >>2 mg/ml
Glucoza 5% 3152
Precipitații după 1 oră Incompatibil
Injectabil Clindamycin phosphate
Injectabil Pantoprazole sodium
2090
Compatibil
Injectabil Clindamycin phosphate 150 mg/ml
Injectabil Paracetamol 10 mg/ml
4742
Compatibil
Injectabil Clindamycin phosphate 10 mg/ml
Injectabil Paracetamol 10 mg/ml
fara 3571
Compatibil
Injectabil Clindamycin phosphate 10 mg/ml
Injectabil Pemetrexed disodium 20 mg/ml
clorura de sodiu 0,9% 1953
Incompatibilitate nespecificată Incompatibil
Injectabil Clindamycin phosphate
Injectabil Pentobarbital sodium
3526
Compatibil
Injectabil Clindamycin phosphate 12 mg/ml
Injectabil Pethidine hydrochloride 10 mg/ml
Glucoza 5% 405
Incompatibilitate nespecificată Incompatibil
Injectabil Clindamycin phosphate
Injectabil Phenobarbital sodium
3526
Incompatibilitate nespecificată Incompatibil
Injectabil Clindamycin phosphate
Injectabil Phenytoin sodium
3526
Compatibil
Injectabil Clindamycin phosphate 18 mg/ml
Injectabil Phloroglucinol 2,5 mg/ml
3791
Compatibil
Injectabil Clindamycin phosphate
Injectabil Piperacillin sodium
Glucoza 5% 3526
Compatibil
Injectabil Clindamycin phosphate
Injectabil Piperacillin sodium
clorura de sodiu 0,9% 3526
Compatibil
Injectabil Clindamycin phosphate 9 mg/ml
Injectabil Piperacillin sodium 40 mg/ml
Glucoza 5% 432
Compatibil
Injectabil Clindamycin phosphate 9 mg/ml
Injectabil Piperacillin sodium 40 mg/ml
clorura de sodiu 0,9% 432
Compatibil
Injectabil Clindamycin phosphate 10 mg/ml
Injectabil Piperacillin sodium / tazobactam 40/5 mg/ml
Glucoza 5% 81
Turbiditate imediată Incompatibil
Injectabil Clindamycin phosphate 150 mg/ml
Injectabil Salbutamol sulfate 1 mg/ml
fara 3216
Incompatibilitate nespecificată Incompatibil
Injectabil Clindamycin phosphate
Injectabil Sodium bicarbonate
3526
Precipitații imediate Incompatibil
Injectabil Clindamycin phosphate 12 mg/ml
Injectabil Temocilline 83.33 mg/ml
apa pentru preparate injectabile 2231
Compatibil
Injectabil Clindamycin phosphate 10 mg/ml
Injectabil Teniposide 0.1 mg/ml
Glucoza 5% 905
Incompatibilitate nespecificată Incompatibil
Injectabil Clindamycin phosphate
Injectabil Thiopental sodium
3526
Compatibil
Injectabil Clindamycin phosphate
clorura de sodiu 0,9% 3526
Compatibil
Injectabil Clindamycin phosphate 10 mg/ml
Injectabil Propofol 10 mg/ml
fara 300
Incompatibilitate nespecificată Incompatibil
Injectabil Clindamycin phosphate
Injectabil Ranitidine hydrochloride
3526
Compatibil
Injectabil Clindamycin phosphate 10 mg/ml
Injectabil Remifentanil hydrochloride 25 & 250 µg/ml
clorura de sodiu 0,9% 59
Compatibil
Injectabil Clindamycin phosphate 10 mg/ml
Injectabil Sargramostim 10 µg/ml
clorura de sodiu 0,9% 335
Compatibil
Injectabil Clindamycin phosphate 12 mg/ml
Injectabil Tacrolimus 1000 µg/ml
clorura de sodiu 0,9% 479
Compatibil
Injectabil Clindamycin phosphate 12 mg/ml
Injectabil Theophylline 4 mg/ml
fara 317
Precipitații imediate Incompatibil
Injectabil Clindamycin phosphate 150 mg/ml
Injectabil Thiopental sodium 25 mg/ml
clorura de sodiu 0,9% 3767
Compatibil
Injectabil Clindamycin phosphate 10 mg/ml
Injectabil Thiotepa 1 mg/ml
Glucoza 5% 249
Compatibil
Injectabil Clindamycin phosphate
Injectabil Tobramycin sulfate
clorura de sodiu 0,9% 3526
Precipitații imediate Incompatibil
Injectabil Clindamycin phosphate 90 mg/ml
Injectabil Tobramycin sulfate 12 mg/ml
clorura de sodiu 0,9% 639
Compatibil
Injectabil Clindamycin phosphate
Injectabil Tobramycin sulfate
Glucoza 5% 3526
Precipitații după 2 ore Incompatibil
Injectabil Clindamycin phosphate 6 mg/ml
Injectabil Tramadol hydrochloride 0,4 mg/ml
clorura de sodiu 0,9% 2002
Compatibil
Injectabil Clindamycin phosphate 1.2 mg/ml
Injectabil Verapamil hydrochloride 0.08 mg/ml
clorura de sodiu 0,9% 1057
Compatibil
Injectabil Clindamycin phosphate 1.2 mg/ml
Injectabil Verapamil hydrochloride 0.08 mg/ml
Glucoza 5% 1057
Compatibil
Injectabil Clindamycin phosphate 10 mg/ml
Injectabil Vinorelbine tartrate 1 mg/ml
clorura de sodiu 0,9% 84
Compatibil
Injectabil Clindamycin phosphate 12 mg/ml
Injectabil Zidovudine 4 mg/ml
Glucoza 5% 337

  Mentions Légales