Ostatnia aktualizacja :
18/03/2026
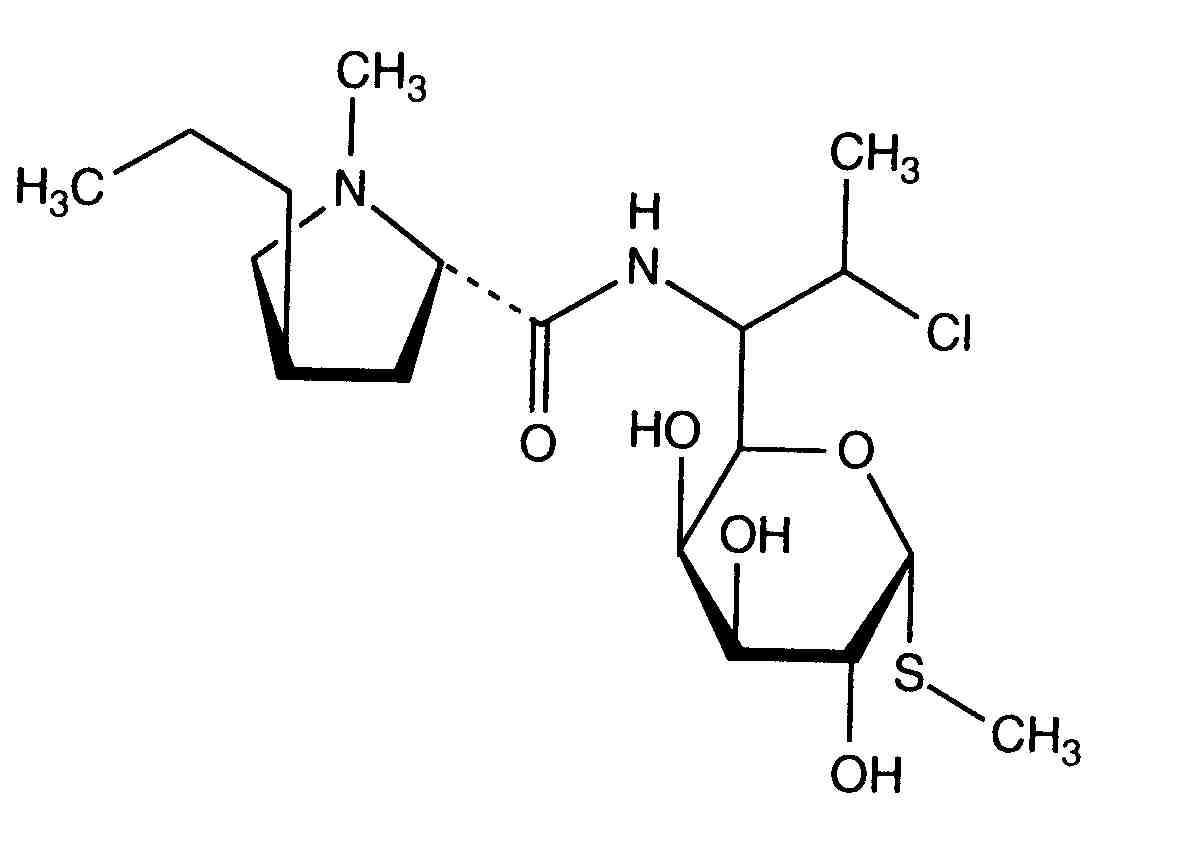
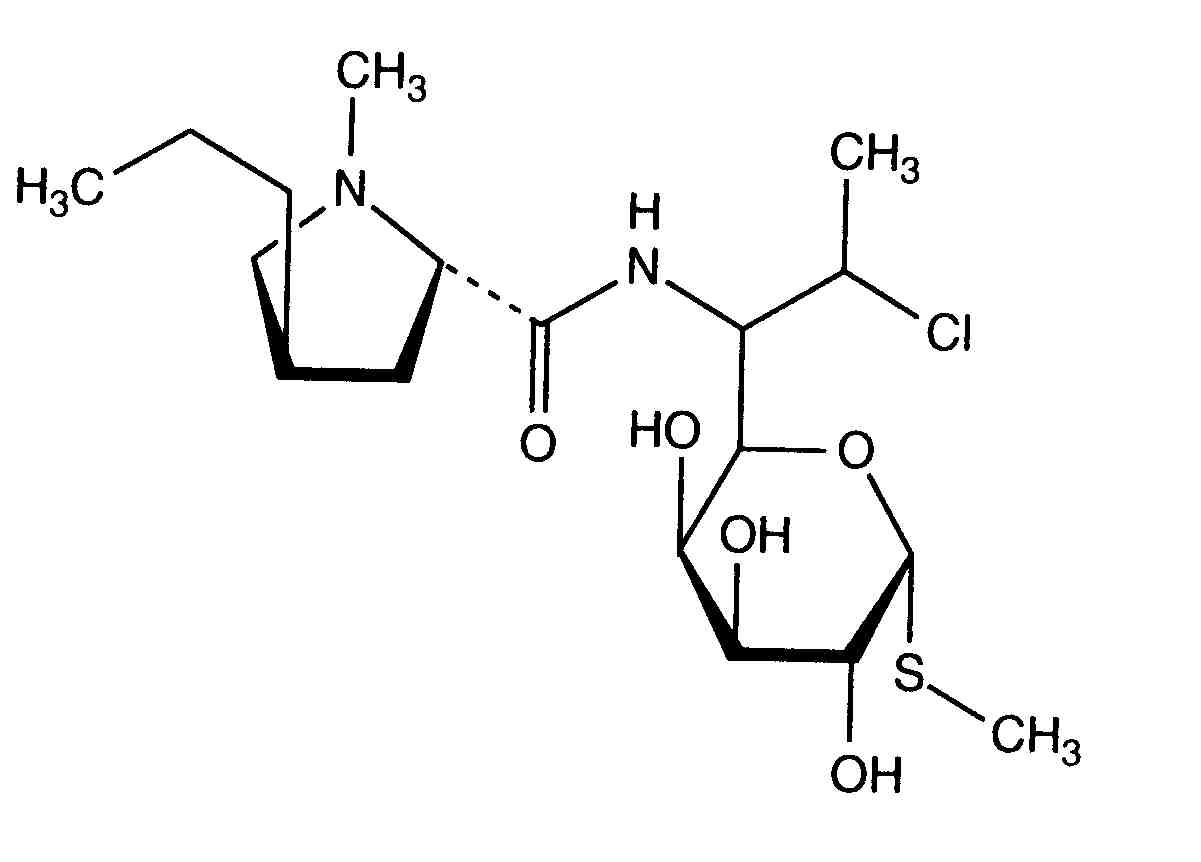
Antybiotyk   Clindamycin phosphate  
Injekcje
Trwałość roztworów Trwałość w mieszaninie Czynnik wpływający na trwałość Zgodność Sposób podania Bibliografia pdf
   Struktura chemiczna  

Nazwa handlowa   Nazwa handlowa     

Trade names are indicative and excipients composition can be different depending on the country and manufacturers

Biodaclin Meksyk
Camyda Indie
Cinbiot Meksyk
Cleocin Austria, Stany Zjednoczone Ameryki, Turcja
Clinamsa Meksyk
Clinbac KolumbiaKolumbia, Peru
Clincina Portugalia
Clinda-Saar Niemcy
Clindacid Wenezuela
Clindacin Malezja
Clindalaf Argentyna
Clindamicina Argentyna, Brazylia, Chile, Ekwador, Hiszpania, KolumbiaKolumbia, Meksyk, Peru, Portugalia, Wenezuela, Włochy
Clindamycin Arabia Saudyjska, Austria, Iran, Kanada, Niemcy, Norwegia, Rumunia, Stany Zjednoczone Ameryki, Szwecja
Clindamycin-Hameln Niemcy
Clindamycine Belgia, Francja , Holandia, Tunisie
Clindanovag Argentyna
Clindarix Brazylia
Clindasol Niemcy
Clindaval Wenezuela
Clindazyn Meksyk
Clindo Polska
Clysvic Meksyk
Daclin Chile
Dalacin Arabia Saudyjska, Australia, Belgia, Chile, Dania, Egipt, Ekwador, Finlandia, Grecja, Holandia, Indie, Iran, Irlandia, Islandia, Kanada, KolumbiaKolumbia, Luksemburg, Malezja, Meksyk, Norwegia, nowa Zelandia, Polska, Szwajcaria, Szwecja, Tunisie, Węgry, Wenezuela, Wielka Brytania, Włochy, Zjednoczone Emiraty Arabskie
Dalacine Francja , Tunisie
Daladic Iran
Dalcinex Indie
Damclid Indie
Damicin KolumbiaKolumbia, Meksyk
Damicine KolumbiaKolumbia
Dolarclin KolumbiaKolumbia
Euroclin Ekwador, KolumbiaKolumbia
Gynasafe Indie
Indamid Meksyk
Klimicin Polska
Klindan Turcja
Klindaver Turcja
Lanacine Austria
Lincocin Malezja
Lincosa Malezja
Meneklin Turcja
Sobelin Niemcy
Tidact Malezja
Zgodność   Injekcje   Zgodność : Clindamycin phosphate              
Ekran ten wskazuje na kompatybilności lub niezgodności z, w tym przypadku, rodzajem niezgodności (strącanie, zmiana koloru, modyfikacja emulsji, itp.). Przedstawione tutaj kompatybilności są głównie fizyczne, a stabilność chemiczna każdej cząsteczki jest rzadko oceniana. Ocenę tych mieszanin badano w celu rozważenia możliwości podania pacjentowi w miejscu Y. Dane te nie mogą być wykorzystywane do sporządzania mieszanin z wyprzedzeniem w workach lub strzykawkach. Tego typu informacje są dostępne na ekranie „Stabilność w mieszaninie”.
Związek Rozpuszczalnik Bibliografia
Zgodny
Injekcje Clindamycin phosphate 12 mg/ml
Injekcje Aciclovir sodium 5 mg/ml
Glukoza 5% 336
Natychmiastowe opady Niekompatybilny
Injekcje Clindamycin phosphate 10 mg/ml
Injekcje Allopurinol sodium 3 mg/ml
Chlorek sodu 0,9% 307
Zgodny
Injekcje Clindamycin phosphate 10 mg/ml
Injekcje Amifostine 10 mg/ml
Glukoza 5% 3
Zgodny
Injekcje Clindamycin phosphate
Injekcje Amikacin sulfate
Chlorek sodu 0,9% 3526
Zgodny
Injekcje Clindamycin phosphate 9 mg/ml
Injekcje Amikacin sulfate 4 mg/ml
Chlorek sodu 0,9% 565
Zgodny
Injekcje Clindamycin phosphate 9 mg/ml
Injekcje Amikacin sulfate 4 mg/ml
Glukoza 5% 565
Zgodny
Injekcje Clindamycin phosphate
Injekcje Amikacin sulfate
Glukoza 5% 3526
Zgodny
Injekcje Clindamycin phosphate 90 mg/ml
Injekcje Amikacin sulfate 75 mg/ml
Chlorek sodu 0,9% 639
Nieokreślona niezgodność Niekompatybilny
Injekcje Clindamycin phosphate
Injekcje Aminophylline
3526
Zgodny
Injekcje Clindamycin phosphate 6 mg/ml
Injekcje Amiodarone hydrochloride 4 mg/ml
Chlorek sodu 0,9% 385
Zgodny
Injekcje Clindamycin phosphate 6 mg/ml
Injekcje Amiodarone hydrochloride 4 mg/ml
Glukoza 5% 385
Zmętnienie w ciągu godziny Niekompatybilny
Injekcje Clindamycin phosphate 150 mg/ml
Injekcje Amoxicillin sodium / clavulanic acid 100/10 mg/ml
3824
Zgodny
Injekcje Clindamycin phosphate 10 mg/ml
Injekcje Amphotericin B cholesteryl sulfate complex 0.83 mg/ml
Glukoza 5% 921
Nieokreślona niezgodność Niekompatybilny
Injekcje Clindamycin phosphate
Injekcje Ampicillin sodium
3526
Zgodny
Injekcje Clindamycin phosphate
Glukoza 5% 3526
Nieokreślona niezgodność Niekompatybilny
Injekcje Clindamycin phosphate
Injekcje Amobarbital sodium
3526
Zgodny
Injekcje Clindamycin phosphate 10 mg/ml
Injekcje Amsacrine 1 mg/ml
Glukoza 5% 253
Zgodny
Injekcje Clindamycin phosphate 10 mg/ml
Injekcje Anidulafungin 0.5 mg/ml
Glukoza 5% 1982
Modyfikacja pH> 1 jednostka pH Niekompatybilny
Injekcje Clindamycin phosphate 9 mg/ml
Injekcje Atosiban 0,75 mg/ml
4642
Zgodny
Injekcje Clindamycin phosphate 6 mg/ml
Injekcje Aztreonam 10 mg/ml
Glukoza 5% 419
Zgodny
Injekcje Clindamycin phosphate 9 mg/ml
Injekcje Aztreonam 20 mg/ml
Glukoza 5% 432
Zgodny
Injekcje Clindamycin phosphate 60 mg/ml
Injekcje Aztreonam 200 mg/ml
Chlorek sodu 0,9% 644
Zgodny
Injekcje Clindamycin phosphate
Injekcje Aztreonam
Chlorek sodu 0,9% 3526
Zgodny
Injekcje Clindamycin phosphate 3 mg/ml
Injekcje Aztreonam 10 mg/ml
Glukoza 5% 419
Zgodny
Injekcje Clindamycin phosphate
Injekcje Aztreonam
Glukoza 5% 3526
Zgodny
Injekcje Clindamycin phosphate 24 mg/ml
Odżywianie pozajelitowe (mieszanina binarny) 3379
Natychmiastowe opady Niekompatybilny
Injekcje Clindamycin phosphate 30 mg/ml
Injekcje Azithromycine 2 mg/ml
Chlorek sodu 0,9% 1800
Zgodny
Injekcje Clindamycin phosphate 3 mg/ml
Odżywianie pozajelitowe (mieszanina binarny) 1055
Zgodny
Injekcje Clindamycin phosphate 6 mg/ml
Injekcje Aztreonam 20 mg/ml
Chlorek sodu 0,9% 419
Zgodny
Injekcje Clindamycin phosphate 3 mg/ml
Injekcje Aztreonam 20 mg/ml
Chlorek sodu 0,9% 419
Zgodny
Injekcje Clindamycin phosphate 3 mg/ml
Injekcje Aztreonam 20 mg/ml
Glukoza 5% 419
Zgodny
Injekcje Clindamycin phosphate 6 mg/ml
Injekcje Aztreonam 20 mg/ml
Glukoza 5% 419
Zgodny
Injekcje Clindamycin phosphate 10 mg/ml
Injekcje Aztreonam 40 mg/ml
Glukoza 5% 99
Zgodny
Injekcje Clindamycin phosphate 3 mg/ml
Injekcje Aztreonam 10 mg/ml
Chlorek sodu 0,9% 419
Zgodny
Injekcje Clindamycin phosphate 6 mg/ml
Injekcje Aztreonam 10 mg/ml
Chlorek sodu 0,9% 419
Zgodny
Injekcje Clindamycin phosphate 9 mg/ml
Injekcje Aztreonam 20 mg/ml
Chlorek sodu 0,9% 432
Zgodny
Injekcje Clindamycin phosphate 10 mg/ml
Injekcje Bivalirudin 5 mg/ml
Glukoza 5% 1713
Zgodny
Injekcje Clindamycin phosphate 150 mg/ml
Injekcje Caffeine 10 mg/ml
Żaden 3964
Nieokreślona niezgodność Niekompatybilny
Injekcje Clindamycin phosphate
Injekcje Calcium gluconate
3644
Nieokreślona niezgodność Niekompatybilny
Injekcje Clindamycin phosphate
Injekcje Calcium gluconate
3526
Niekompatybilny
Injekcje Clindamycin phosphate
Injekcje Calcium gluconate
4964
Natychmiastowe opady Niekompatybilny
Injekcje Clindamycin phosphate 10 mg/ml
Injekcje Caspofungin acetate 0,7 mg/ml
Chlorek sodu 0,9% 2247
Natychmiastowe opady Niekompatybilny
Injekcje Clindamycin phosphate 60 mg/ml
Injekcje Caspofungin acetate 0.5 mg/ml
Chlorek sodu 0,9% 2233
Zgodny
Injekcje Clindamycin phosphate 9 mg/ml
Injekcje Cefamandole nafate 10 mg/ml
Glukoza 5% 418
Zgodny
Injekcje Clindamycin phosphate
Injekcje Cefamandole nafate
Chlorek sodu 0,9% 3526
Zgodny
Injekcje Clindamycin phosphate 9 mg/ml
Injekcje Cefamandole nafate 10 mg/ml
Chlorek sodu 0,9% 418
Zgodny
Injekcje Clindamycin phosphate
Injekcje Cefamandole nafate
Glukoza 5% 3526
Zgodny
Injekcje Clindamycin phosphate 9 mg/ml
Injekcje Cefazolin sodium 10 mg/ml
Chlorek sodu 0,9% 418
Zgodny
Injekcje Clindamycin phosphate
Injekcje Cefazolin sodium
Chlorek sodu 0,9% 3526
Zgodny
Injekcje Clindamycin phosphate 9 mg/ml
Injekcje Cefazolin sodium 10 mg/ml
Glukoza 5% 418
Zgodny
Injekcje Clindamycin phosphate 0,25 & 6 mg/ml
Injekcje Cefepime dihydrochloride 4 & 40 mg/ml
Glukoza 5% 3548
Zgodny
Injekcje Clindamycin phosphate 10 mg/ml
Injekcje Cefiderocol sulfate tosylate 20 mg/mL
Glukoza 5% 4528
Zgodny
Injekcje Clindamycin phosphate 12 mg/ml
Injekcje Cefoperazone sodium 20 mg/ml
Glukoza 5% 644
Nieokreślona niezgodność Niekompatybilny
Injekcje Clindamycin phosphate
NaHCO3 3526
Zgodny
Injekcje Clindamycin phosphate 12 mg/ml
Injekcje Cefonicid sodium 10 mg/ml
Chlorek sodu 0,9% 644
Zgodny
Injekcje Clindamycin phosphate 10 mg/ml
Odżywianie pozajelitowe (mieszanina binarny) 301
Zgodny
Injekcje Clindamycin phosphate
Injekcje Cefazolin sodium
Glukoza 5% 3526
Zgodny
Injekcje Clindamycin phosphate 0,25 & 6 mg/ml
Injekcje Cefepime dihydrochloride 4 & 40 mg/ml
Chlorek sodu 0,9% 3548
Zgodny
Injekcje Clindamycin phosphate 10 mg/ml
Injekcje Cefiderocol sulfate tosylate 20 mg/mL
Chlorek sodu 0,9% 4528
Zgodny
Injekcje Clindamycin phosphate 12 mg/ml
Injekcje Cefonicid sodium 10 mg/ml
Glukoza 5% 644
Zgodny
Injekcje Clindamycin phosphate 12 mg/ml
Injekcje Cefoperazone sodium 20 mg/ml
Chlorek sodu 0,9% 644
Zgodny
Injekcje Clindamycin phosphate 150 mg/ml
Odżywianie pozajelitowe (mieszanina binarny) 999
Zgodny
Injekcje Clindamycin phosphate
Injekcje Cefotaxime sodium
Glukoza 5% 3526
Zgodny
Injekcje Clindamycin phosphate 9 mg/ml
Injekcje Cefotaxime sodium 20 mg/ml
Glukoza 5% 421
Zgodny
Injekcje Clindamycin phosphate 9 mg/ml
Injekcje Cefotaxime sodium 20 mg/ml
Chlorek sodu 0,9% 421
Zgodny
Injekcje Clindamycin phosphate
Injekcje Cefotaxime sodium
Chlorek sodu 0,9% 3526
Zgodny
Injekcje Clindamycin phosphate
Injekcje Cefoxitin sodium
Chlorek sodu 0,9% 3526
Zgodny
Injekcje Clindamycin phosphate 9 mg/ml
Injekcje Cefoxitin sodium 20 mg/ml
Glukoza 5% 418
Zgodny
Injekcje Clindamycin phosphate 9 mg/ml
Injekcje Cefoxitin sodium 20 mg/ml
Chlorek sodu 0,9% 418
Zgodny
Injekcje Clindamycin phosphate
Injekcje Cefoxitin sodium
Glukoza 5% 3526
Zgodny
Injekcje Clindamycin phosphate 12 mg/ml
Injekcje Cefpirome sulfate 50 mg/ml
Chlorek sodu 0,9% 280
Zgodny
Injekcje Clindamycin phosphate 12 mg/ml
Injekcje Cefpirome sulfate 50 mg/ml
Chlorek sodu 0,45% 280
Zgodny
Injekcje Clindamycin phosphate 12 mg/ml
Injekcje Cefpirome sulfate 50 mg/ml
Glukoza 5% 280
Zgodny
Injekcje Clindamycin phosphate 12 mg/ml
Injekcje Cefpirome sulfate 50 mg/ml
Roztwór Ringera z mleczanem sodowym 280
Zgodny
Injekcje Clindamycin phosphate 10 mg/ml
Injekcje Ceftaroline fosamil 2,22 mg/ml
Roztwór Ringera z mleczanem sodowym 3249
Zgodny
Injekcje Clindamycin phosphate
Injekcje Ceftazidime
Glukoza 5% 3526
Zgodny
Injekcje Clindamycin phosphate 9 mg/ml
Injekcje Ceftizoxime sodium 20 mg/ml
Chlorek sodu 0,9% 418
Zgodny
Injekcje Clindamycin phosphate
Injekcje Ceftizoxime sodium
Glukoza 5% 3526
Zgodny
Injekcje Clindamycin phosphate 10 mg/ml
Injekcje Ceftobiprole medocaril sodium 2 mg/ml
Chlorek sodu 0,9% 2269
Zgodny
Injekcje Clindamycin phosphate 10 mg/ml
Injekcje Ceftobiprole medocaril sodium 2 mg/ml
Glukoza 5% 2269
Zgodny
Injekcje Clindamycin phosphate 10 mg/ml
Injekcje Ceftobiprole medocaril sodium 2 mg/ml
Roztwór Ringera z mleczanem sodowym 2269
Zgodny
Injekcje Clindamycin phosphate 5,77 mg/ml
Żywienie pozajelitowe (lipidami) 4440
Zgodny
Injekcje Clindamycin phosphate 1.2 mg/ml
Injekcje Cimetidine hydrochloride 1.2 & 5 mg/ml
Glukoza 5% 1201
Zgodny
Injekcje Clindamycin phosphate 1.2 mg/ml
Injekcje Cimetidine hydrochloride 1.2 & 5 mg/ml
Chlorek sodu 0,9% 1201
Natychmiastowe opady Niekompatybilny
Injekcje Clindamycin phosphate 7 mg/ml
Injekcje Ciprofloxacin lactate 1.5 mg/ml
Glukoza 5% 434
Zgodny
Injekcje Clindamycin phosphate 10 mg/ml
Injekcje Cisatracurium besylate 0.1 >> 5 mg/ml
Glukoza 5% 299
Zgodny
Injekcje Clindamycin phosphate 150 mg/ml
Injekcje Cloxacillin sodium 100 mg/ml
Woda do wstrzyknięć 3012
Zgodny
Injekcje Clindamycin phosphate 10 mg/ml
Injekcje Docetaxel 0.9 mg/ml
Glukoza 5% 1754
Produkcja pęcherzyków gazu Niekompatybilny
Injekcje Clindamycin phosphate 10 mg/ml
Injekcje Doxapram hydrochloride 2 mg/ml
Glukoza 5% 1802
Zgodny
Injekcje Clindamycin phosphate 10 mg/ml
Injekcje Doxorubicin hydrochloride liposome peg 0.4 mg/ml
Glukoza 5% 251
Zgodny
Injekcje Clindamycin phosphate 9 mg/ml
Injekcje Esmolol hydrochloride 10 mg/ml
Glukoza 5% 384
Zgodny
Injekcje Clindamycin phosphate 9 mg/ml
Injekcje Fentanyl citrate 50 µg/ml
Glukoza 5% 63
Zgodny
Injekcje Clindamycin phosphate 10 mg/ml
Żywienie pozajelitowe (lipidami) 3967
Zgodny
Injekcje Clindamycin phosphate 10 mg/ml
Injekcje Ceftaroline fosamil 2,22 mg/ml
Glukoza 5% 3249
Zgodny
Injekcje Clindamycin phosphate 10 mg/ml
Injekcje Ceftaroline fosamil 2,22 mg/ml
Chlorek sodu 0,9% 3249
Zgodny
Injekcje Clindamycin phosphate 9 mg/ml
Injekcje Ceftazidime 20 mg/ml
Glukoza 5% 432
Zgodny
Injekcje Clindamycin phosphate
Injekcje Ceftazidime
Chlorek sodu 0,9% 3526
Zgodny
Injekcje Clindamycin phosphate 9 mg/ml
Injekcje Ceftazidime 20 mg/ml
Chlorek sodu 0,9% 432
Zgodny
Injekcje Clindamycin phosphate 10 mg/ml
Żywienie pozajelitowe (lipidami) 1415
Zgodny
Injekcje Clindamycin phosphate 9 mg/ml
Injekcje Ceftizoxime sodium 20 mg/ml
Glukoza 5% 418
Zgodny
Injekcje Clindamycin phosphate
Injekcje Ceftizoxime sodium
Chlorek sodu 0,9% 3526
Niestabilność chemiczna Niekompatybilny
Injekcje Clindamycin phosphate 12 mg/ml
Injekcje Ceftriaxone disodium 20 mg/ml
Glukoza 5% 432
Nieokreślona niezgodność Niekompatybilny
Injekcje Clindamycin phosphate
Injekcje Ceftriaxone disodium
3526
Niestabilność chemiczna Niekompatybilny
Injekcje Clindamycin phosphate 12 mg/ml
Injekcje Ceftriaxone disodium 20 mg/ml
Chlorek sodu 0,9% 432
Zgodny
Injekcje Clindamycin phosphate 9 mg/ml
Injekcje Cefuroxime sodium 15 mg/ml
Chlorek sodu 0,9% 644
Zgodny
Injekcje Clindamycin phosphate 9 mg/ml
Injekcje Cefuroxime sodium 15 mg/ml
Glukoza 5% 644
Natychmiastowe opady Niekompatybilny
Injekcje Clindamycin phosphate 7 mg/ml
Injekcje Ciprofloxacin lactate 1.5 mg/ml
Chlorek sodu 0,9% 434
Nieokreślona niezgodność Niekompatybilny
Injekcje Clindamycin phosphate
Injekcje Ciprofloxacin lactate
3526
Zgodny
Injekcje Clindamycin phosphate 10 mg/ml
Injekcje Dexmedetomidine 4 µg/ml
Chlorek sodu 0,9% 1712
Zgodny
Injekcje Clindamycin phosphate 12 & 150 mg/ml
Injekcje Diltiazem hydrochloride 5 mg/ml
Chlorek sodu 0,9% 198
Zgodny
Injekcje Clindamycin phosphate
Injekcje Dimenhydrinate
2087
Zgodny
Injekcje Clindamycin phosphate 9 mg/ml
Injekcje Enalaprilate 0.05 mg/ml
Chlorek sodu 0,9% 1315
Zgodny
Injekcje Clindamycin phosphate 10 mg/ml
Injekcje Etoposide phosphate 5 mg/ml
Glukoza 5% 1410
Zgodny
Injekcje Clindamycin phosphate 10 mg/ml
Injekcje Fenoldopam mesylate 80 µg/ml
Chlorek sodu 0,9% 1803
Natychmiastowe opady Niekompatybilny
Injekcje Clindamycin phosphate 10 mg/ml
Injekcje Filgrastim 30 µg/ml
Glukoza 5% 244
Zgodny
Injekcje Clindamycin phosphate 12 mg/ml
Injekcje Fluconazole 2 mg/ml
Żaden 256
Natychmiastowe opady Niekompatybilny
Injekcje Clindamycin phosphate 24 mg/ml
Injekcje Fluconazole 2 mg/ml
Chlorek sodu 0,9% 496
Zgodny
Injekcje Clindamycin phosphate 10 mg/ml
Injekcje Fludarabine phosphate 1 mg/ml
Glukoza 5% 492
Zgodny
Injekcje Clindamycin phosphate 12 mg/ml
Injekcje Foscarnet sodium 24 mg/ml
Glukoza 5% 1135
Zgodny
Injekcje Clindamycin phosphate 24 mg/ml
Injekcje Foscarnet sodium 24 mg/ml
Żaden 73
Zgodny
Injekcje Clindamycin phosphate 12 mg/ml
Injekcje Foscarnet sodium 24 mg/ml
Chlorek sodu 0,9% 1135
Zgodny
Injekcje Clindamycin phosphate 10 mg/ml
Injekcje Gemcitabine hydrochloride 10 mg/ml
Chlorek sodu 0,9% 1423
Zgodny
Injekcje Clindamycin phosphate
Injekcje Gentamicin sulfate
Glukoza 5% 3526
Zgodny
Injekcje Clindamycin phosphate 90 mg/ml
Injekcje Gentamicin sulfate 12 mg/ml
Chlorek sodu 0,9% 639
Zgodny
Injekcje Clindamycin phosphate 6 mg/ml
Injekcje Gentamicin sulfate 0.67 mg/ml
Glukoza 5% 423
Zgodny
Injekcje Clindamycin phosphate
Injekcje Gentamicin sulfate
Chlorek sodu 0,9% 3526
Zgodny
Injekcje Clindamycin phosphate 10 mg/ml
Injekcje Granisetron hydrochloride 0.05 mg/ml
Glukoza 5% 182
Zgodny
Injekcje Clindamycin phosphate 12 mg/ml
Injekcje Heparin sodium 50 UI/ml
Żaden 317
Zgodny
Injekcje Clindamycin phosphate 10 mg/ml
Injekcje Hetastarch 60 mg/ml
danego rozpuszczalnika 1721
Zgodny
Injekcje Clindamycin phosphate 12 mg/ml
Injekcje Hydromorphone hydrochloride 0.2 mg/ml
Glukoza 5% 405
Nieokreślona niezgodność Niekompatybilny
Injekcje Clindamycin phosphate
Injekcje Idarubicin hydrochloride
3526
Natychmiastowe opady Niekompatybilny
Injekcje Clindamycin phosphate 12 mg/ml
Injekcje Idarubicin hydrochloride 1 mg/ml
Chlorek sodu 0,9% 491
Zgodny
Injekcje Clindamycin phosphate 150 mg/ml
Injekcje Ketamine hydrochloride 50 mg/ml
2109
Zgodny
Injekcje Clindamycin phosphate 9 mg/ml
Injekcje Labetalol hydrochloride 1 mg/ml
Glukoza 5% 386
Natychmiastowe opady Niekompatybilny
Injekcje Clindamycin phosphate 10 mg/ml
Injekcje Lansoprazole 0.55 mg/ml
Chlorek sodu 0,9% 1625
Zgodny
Injekcje Clindamycin phosphate 150 mg/ml
Injekcje Levofloxacine 5 mg/ml
Glukoza 5% 1072
Zgodny
Injekcje Clindamycin phosphate 10 mg/ml
Injekcje Linezolid 2 mg/ml
Żaden 1925
Nieokreślona niezgodność Niekompatybilny
Injekcje Clindamycin phosphate
Injekcje Magnesium chloride
5012
Nieokreślona niezgodność Niekompatybilny
Injekcje Clindamycin phosphate
Injekcje Magnesium sulfate
3838
Zgodny
Injekcje Clindamycin phosphate 12 mg/ml
Injekcje Magnesium sulfate 16.67 >> 100 mg/ml
Glukoza 5% 1047
Nieokreślona niezgodność Niekompatybilny
Injekcje Clindamycin phosphate
Injekcje Magnesium sulfate
3526
Zgodny
Injekcje Clindamycin phosphate 10 mg/ml
Injekcje Melphalan 0.1 mg/ml
Chlorek sodu 0,9% 169
Zgodny
Injekcje Clindamycin phosphate 150 mg/ml
Injekcje Meropenem 50 mg/ml
Woda do wstrzyknięć 4319
Nieokreślona niezgodność Niekompatybilny
Injekcje Clindamycin phosphate
Injekcje Methohexital sodium
3526
Zgodny
Injekcje Clindamycin phosphate 10 mg/ml
Injekcje Metronidazole 5 mg/ml
Żaden 1035
Zgodny
Injekcje Clindamycin phosphate
Injekcje Metronidazole
3594
Zgodny
Injekcje Clindamycin phosphate 9 mg/ml
Injekcje Midazolam hydrochloride 1 mg/ml
Glukoza 5% 176
Zgodny
Injekcje Clindamycin phosphate 12 mg/ml
Injekcje Morphine sulfate 1 mg/ml
Glukoza 5% 405
Zgodny
Injekcje Clindamycin phosphate 150 mg/ml
Injekcje N-acetylcysteine 200 mg/ml
Żaden 3766
Zgodny
Injekcje Clindamycin phosphate 150 mg/ml
Injekcje Naloxone hydrochloride 0.4 mg/ml
Żaden 3408
Zgodny
Injekcje Clindamycin phosphate
Injekcje Netilmicin sulfate
Chlorek sodu 0,9% 3526
Zgodny
Injekcje Clindamycin phosphate 9 mg/ml
Injekcje Netilmicin sulfate 3 mg/ml
Glukoza 5% 421
Zgodny
Injekcje Clindamycin phosphate 9 mg/ml
Injekcje Netilmicin sulfate 3 mg/ml
Chlorek sodu 0,9% 421
Zgodny
Injekcje Clindamycin phosphate
Injekcje Netilmicin sulfate
Glukoza 5% 3526
Zgodny
Injekcje Clindamycin phosphate 9 mg/ml
Injekcje Nicardipine hydrochloride 0.1 mg/ml
Chlorek sodu 0,9% 1490
Zgodny
Injekcje Clindamycin phosphate 9 mg/ml
Injekcje Nicardipine hydrochloride 0.1 mg/ml
Glukoza 5% 1490
Zgodny
Injekcje Clindamycin phosphate 6 mg/ml
Injekcje Ofloxacin 2 mg/ml
Żaden 889
Zgodny
Injekcje Clindamycin phosphate 10 mg/ml
Injekcje Ondansetron hydrochloride 1 mg/ml
Chlorek sodu 0,9% 334
Opady po 1 godzinie Niekompatybilny
Injekcje Clindamycin phosphate 12 mg/ml
Injekcje Oritavancin 0.8 >>2 mg/ml
Glukoza 5% 3152
Opady po 1 godzinie Niekompatybilny
Injekcje Clindamycin phosphate
Injekcje Pantoprazole sodium
2090
Zgodny
Injekcje Clindamycin phosphate 150 mg/ml
Injekcje Paracetamol 10 mg/ml
4742
Zgodny
Injekcje Clindamycin phosphate 10 mg/ml
Injekcje Paracetamol 10 mg/ml
Żaden 3571
Zgodny
Injekcje Clindamycin phosphate 10 mg/ml
Injekcje Pemetrexed disodium 20 mg/ml
Chlorek sodu 0,9% 1953
Nieokreślona niezgodność Niekompatybilny
Injekcje Clindamycin phosphate
Injekcje Pentobarbital sodium
3526
Zgodny
Injekcje Clindamycin phosphate 12 mg/ml
Injekcje Pethidine hydrochloride 10 mg/ml
Glukoza 5% 405
Nieokreślona niezgodność Niekompatybilny
Injekcje Clindamycin phosphate
Injekcje Phenobarbital sodium
3526
Nieokreślona niezgodność Niekompatybilny
Injekcje Clindamycin phosphate
Injekcje Phenytoin sodium
3526
Zgodny
Injekcje Clindamycin phosphate 18 mg/ml
Injekcje Phloroglucinol 2,5 mg/ml
3791
Zgodny
Injekcje Clindamycin phosphate
Injekcje Piperacillin sodium
Glukoza 5% 3526
Zgodny
Injekcje Clindamycin phosphate
Injekcje Piperacillin sodium
Chlorek sodu 0,9% 3526
Zgodny
Injekcje Clindamycin phosphate 9 mg/ml
Injekcje Piperacillin sodium 40 mg/ml
Glukoza 5% 432
Zgodny
Injekcje Clindamycin phosphate 9 mg/ml
Injekcje Piperacillin sodium 40 mg/ml
Chlorek sodu 0,9% 432
Zgodny
Injekcje Clindamycin phosphate 10 mg/ml
Injekcje Piperacillin sodium / tazobactam 40/5 mg/ml
Glukoza 5% 81
Natychmiastowe zmętnienie Niekompatybilny
Injekcje Clindamycin phosphate 150 mg/ml
Injekcje Salbutamol sulfate 1 mg/ml
Żaden 3216
Nieokreślona niezgodność Niekompatybilny
Injekcje Clindamycin phosphate
Injekcje Sodium bicarbonate
3526
Natychmiastowe opady Niekompatybilny
Injekcje Clindamycin phosphate 12 mg/ml
Injekcje Temocilline 83.33 mg/ml
Woda do wstrzyknięć 2231
Zgodny
Injekcje Clindamycin phosphate 10 mg/ml
Injekcje Teniposide 0.1 mg/ml
Glukoza 5% 905
Nieokreślona niezgodność Niekompatybilny
Injekcje Clindamycin phosphate
Injekcje Thiopental sodium
3526
Zgodny
Injekcje Clindamycin phosphate
Chlorek sodu 0,9% 3526
Zgodny
Injekcje Clindamycin phosphate 10 mg/ml
Injekcje Propofol 10 mg/ml
Żaden 300
Nieokreślona niezgodność Niekompatybilny
Injekcje Clindamycin phosphate
Injekcje Ranitidine hydrochloride
3526
Zgodny
Injekcje Clindamycin phosphate 10 mg/ml
Injekcje Remifentanil hydrochloride 25 & 250 µg/ml
Chlorek sodu 0,9% 59
Zgodny
Injekcje Clindamycin phosphate 10 mg/ml
Injekcje Sargramostim 10 µg/ml
Chlorek sodu 0,9% 335
Zgodny
Injekcje Clindamycin phosphate 12 mg/ml
Injekcje Tacrolimus 1000 µg/ml
Chlorek sodu 0,9% 479
Zgodny
Injekcje Clindamycin phosphate 12 mg/ml
Injekcje Theophylline 4 mg/ml
Żaden 317
Natychmiastowe opady Niekompatybilny
Injekcje Clindamycin phosphate 150 mg/ml
Injekcje Thiopental sodium 25 mg/ml
Chlorek sodu 0,9% 3767
Zgodny
Injekcje Clindamycin phosphate 10 mg/ml
Injekcje Thiotepa 1 mg/ml
Glukoza 5% 249
Zgodny
Injekcje Clindamycin phosphate
Injekcje Tobramycin sulfate
Chlorek sodu 0,9% 3526
Natychmiastowe opady Niekompatybilny
Injekcje Clindamycin phosphate 90 mg/ml
Injekcje Tobramycin sulfate 12 mg/ml
Chlorek sodu 0,9% 639
Zgodny
Injekcje Clindamycin phosphate
Injekcje Tobramycin sulfate
Glukoza 5% 3526
Opady po 2 godzinach Niekompatybilny
Injekcje Clindamycin phosphate 6 mg/ml
Injekcje Tramadol hydrochloride 0,4 mg/ml
Chlorek sodu 0,9% 2002
Zgodny
Injekcje Clindamycin phosphate 1.2 mg/ml
Injekcje Verapamil hydrochloride 0.08 mg/ml
Chlorek sodu 0,9% 1057
Zgodny
Injekcje Clindamycin phosphate 1.2 mg/ml
Injekcje Verapamil hydrochloride 0.08 mg/ml
Glukoza 5% 1057
Zgodny
Injekcje Clindamycin phosphate 10 mg/ml
Injekcje Vinorelbine tartrate 1 mg/ml
Chlorek sodu 0,9% 84
Zgodny
Injekcje Clindamycin phosphate 12 mg/ml
Injekcje Zidovudine 4 mg/ml
Glukoza 5% 337

  Mentions Légales