Última actualización :
18/03/2026
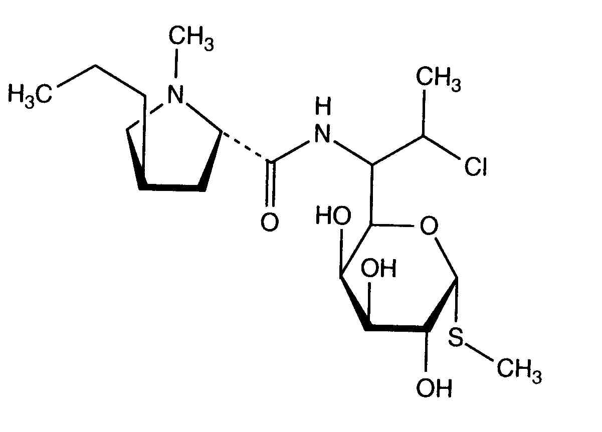
Antibiótico   Clindamycin phosphate  
Inyectables
Estabilidad en solucion Estabilidad en mezcla Factores que influyen sobre la estabilidad Compatibilidades método de inyección Bibliografía pdf
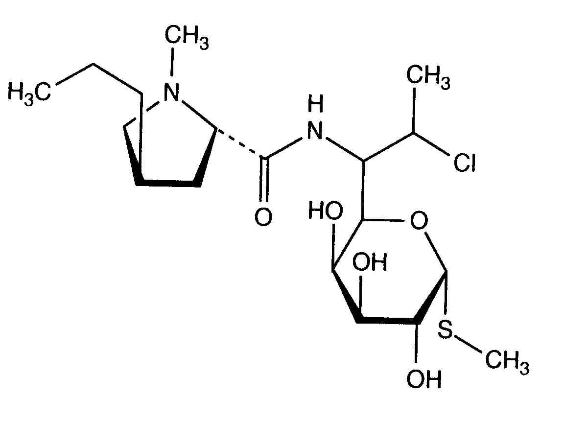
   Estructura química  

Nombre comercial   Nombre comercial     

Los nombres comerciales son orientativos y los excipientes de la formulación pueden ser distintos dependiendo del país y del laboratorio fabricante.

Biodaclin México
Camyda India
Cinbiot México
Cleocin Austria, Estados Unidos de América, Turquía
Clinamsa México
Clinbac Colombia, Marruecos
Clincina Portugal
Clinda-Saar Alemania
Clindacid Venezuela
Clindacin Malasia
Clindalaf Argentina
Clindamicina Argentina, Brasil, Chile, Colombia, Ecuador, España, Italia, Marruecos, México, Portugal, Venezuela
Clindamycin Alemania, Arabia Saudita, Austria, Canadá, Estados Unidos de América, Irán, Noruega, Rumania, Suecia
Clindamycin-Hameln Alemania
Clindamycine Bélgica, Francia, Países Bajos, Túnez
Clindanovag Argentina
Clindarix Brasil
Clindasol Alemania
Clindaval Venezuela
Clindazyn México
Clindo Polonia
Clysvic México
Daclin Chile
Dalacin Arabia Saudita, Australia, Bélgica, Canadá, Chile, Colombia, Dinamarca, Ecuador, Egipto, Emiratos Árabes Unidos, Finlandia, Gran Bretaña, Grecia, Hungría, India, Irán, Irlanda, Islandia, Italia, Luxemburgo, Malasia, México, Noruega, Nueva Zelanda, Países Bajos, Polonia, Suecia, Suiza, Túnez, Venezuela
Dalacine Francia, Túnez
Daladic Irán
Dalcinex India
Damclid India
Damicin Colombia, México
Damicine Colombia
Dolarclin Colombia
Euroclin Colombia, Ecuador
Gynasafe India
Indamid México
Klimicin Polonia
Klindan Turquía
Klindaver Turquía
Lanacine Austria
Lincocin Malasia
Lincosa Malasia
Meneklin Turquía
Sobelin Alemania
Tidact Malasia
Compatibilidades   Inyectables   Compatibilidades : Clindamycin phosphate              
Esta pantalla muestra las compatibilidades o incompatibilidades, así como el tipo de incompatibilidad (precipitación, cambio de color, modificación de una emulsión, etc). Las compatibilidades que se recogen aquí son fundamentalmente físicas, mostrando raramente la estabilidad química de la molécula. La evaluación de estas mezclas se estudió con el fin de de comprobar la posibilidad de administración en Y al paciente. Estos datos no pueden utilizarse en el caso de la preparación de mezclas dentro de bolsas o jeringas. Este tipo de información está disponible en la pantalla “Estabilidad en mezcla”.
Molécula Solvente Bibliografía
Compatible
Inyectables Clindamycin phosphate 12 mg/ml
Inyectables Aciclovir sodium 5 mg/ml
Glucosa 5% 336
Precipitación inmediata Incompatible
Inyectables Clindamycin phosphate 10 mg/ml
Inyectables Allopurinol sodium 3 mg/ml
Cloruro de sodio 0,9% 307
Compatible
Inyectables Clindamycin phosphate 10 mg/ml
Inyectables Amifostine 10 mg/ml
Glucosa 5% 3
Compatible
Inyectables Clindamycin phosphate
Inyectables Amikacin sulfate
Cloruro de sodio 0,9% 3526
Compatible
Inyectables Clindamycin phosphate 9 mg/ml
Inyectables Amikacin sulfate 4 mg/ml
Cloruro de sodio 0,9% 565
Compatible
Inyectables Clindamycin phosphate 9 mg/ml
Inyectables Amikacin sulfate 4 mg/ml
Glucosa 5% 565
Compatible
Inyectables Clindamycin phosphate
Inyectables Amikacin sulfate
Glucosa 5% 3526
Compatible
Inyectables Clindamycin phosphate 90 mg/ml
Inyectables Amikacin sulfate 75 mg/ml
Cloruro de sodio 0,9% 639
Incompatibilidad no especificada Incompatible
Inyectables Clindamycin phosphate
Inyectables Aminophylline
3526
Compatible
Inyectables Clindamycin phosphate 6 mg/ml
Inyectables Amiodarone hydrochloride 4 mg/ml
Cloruro de sodio 0,9% 385
Compatible
Inyectables Clindamycin phosphate 6 mg/ml
Inyectables Amiodarone hydrochloride 4 mg/ml
Glucosa 5% 385
Turbidez en una hora Incompatible
Inyectables Clindamycin phosphate 150 mg/ml
Inyectables Amoxicillin sodium / clavulanic acid 100/10 mg/ml
3824
Compatible
Inyectables Clindamycin phosphate 10 mg/ml
Inyectables Amphotericin B cholesteryl sulfate complex 0.83 mg/ml
Glucosa 5% 921
Incompatibilidad no especificada Incompatible
Inyectables Clindamycin phosphate
Inyectables Ampicillin sodium
3526
Compatible
Inyectables Clindamycin phosphate
Glucosa 5% 3526
Incompatibilidad no especificada Incompatible
Inyectables Clindamycin phosphate
Inyectables Amobarbital sodium
3526
Compatible
Inyectables Clindamycin phosphate 10 mg/ml
Inyectables Amsacrine 1 mg/ml
Glucosa 5% 253
Compatible
Inyectables Clindamycin phosphate 10 mg/ml
Inyectables Anidulafungin 0.5 mg/ml
Glucosa 5% 1982
Modificación de pH> 1 unidad de pH Incompatible
Inyectables Clindamycin phosphate 9 mg/ml
Inyectables Atosiban 0,75 mg/ml
4642
Compatible
Inyectables Clindamycin phosphate 6 mg/ml
Inyectables Aztreonam 10 mg/ml
Glucosa 5% 419
Compatible
Inyectables Clindamycin phosphate 9 mg/ml
Inyectables Aztreonam 20 mg/ml
Glucosa 5% 432
Compatible
Inyectables Clindamycin phosphate 60 mg/ml
Inyectables Aztreonam 200 mg/ml
Cloruro de sodio 0,9% 644
Compatible
Inyectables Clindamycin phosphate
Inyectables Aztreonam
Cloruro de sodio 0,9% 3526
Compatible
Inyectables Clindamycin phosphate 3 mg/ml
Inyectables Aztreonam 10 mg/ml
Glucosa 5% 419
Compatible
Inyectables Clindamycin phosphate
Inyectables Aztreonam
Glucosa 5% 3526
Compatible
Inyectables Clindamycin phosphate 24 mg/ml
Nutrición parenteral (libre de lípidos) 3379
Precipitación inmediata Incompatible
Inyectables Clindamycin phosphate 30 mg/ml
Inyectables Azithromycine 2 mg/ml
Cloruro de sodio 0,9% 1800
Compatible
Inyectables Clindamycin phosphate 3 mg/ml
Nutrición parenteral (libre de lípidos) 1055
Compatible
Inyectables Clindamycin phosphate 6 mg/ml
Inyectables Aztreonam 20 mg/ml
Cloruro de sodio 0,9% 419
Compatible
Inyectables Clindamycin phosphate 3 mg/ml
Inyectables Aztreonam 20 mg/ml
Cloruro de sodio 0,9% 419
Compatible
Inyectables Clindamycin phosphate 3 mg/ml
Inyectables Aztreonam 20 mg/ml
Glucosa 5% 419
Compatible
Inyectables Clindamycin phosphate 6 mg/ml
Inyectables Aztreonam 20 mg/ml
Glucosa 5% 419
Compatible
Inyectables Clindamycin phosphate 10 mg/ml
Inyectables Aztreonam 40 mg/ml
Glucosa 5% 99
Compatible
Inyectables Clindamycin phosphate 3 mg/ml
Inyectables Aztreonam 10 mg/ml
Cloruro de sodio 0,9% 419
Compatible
Inyectables Clindamycin phosphate 6 mg/ml
Inyectables Aztreonam 10 mg/ml
Cloruro de sodio 0,9% 419
Compatible
Inyectables Clindamycin phosphate 9 mg/ml
Inyectables Aztreonam 20 mg/ml
Cloruro de sodio 0,9% 432
Compatible
Inyectables Clindamycin phosphate 10 mg/ml
Inyectables Bivalirudin 5 mg/ml
Glucosa 5% 1713
Compatible
Inyectables Clindamycin phosphate 150 mg/ml
Inyectables Caffeine 10 mg/ml
Ninguno 3964
Incompatibilidad no especificada Incompatible
Inyectables Clindamycin phosphate
Inyectables Calcium gluconate
3644
Incompatibilidad no especificada Incompatible
Inyectables Clindamycin phosphate
Inyectables Calcium gluconate
3526
Incompatible
Inyectables Clindamycin phosphate
Inyectables Calcium gluconate
4964
Precipitación inmediata Incompatible
Inyectables Clindamycin phosphate 10 mg/ml
Inyectables Caspofungin acetate 0,7 mg/ml
Cloruro de sodio 0,9% 2247
Precipitación inmediata Incompatible
Inyectables Clindamycin phosphate 60 mg/ml
Inyectables Caspofungin acetate 0.5 mg/ml
Cloruro de sodio 0,9% 2233
Compatible
Inyectables Clindamycin phosphate 9 mg/ml
Inyectables Cefamandole nafate 10 mg/ml
Glucosa 5% 418
Compatible
Inyectables Clindamycin phosphate
Inyectables Cefamandole nafate
Cloruro de sodio 0,9% 3526
Compatible
Inyectables Clindamycin phosphate 9 mg/ml
Inyectables Cefamandole nafate 10 mg/ml
Cloruro de sodio 0,9% 418
Compatible
Inyectables Clindamycin phosphate
Inyectables Cefamandole nafate
Glucosa 5% 3526
Compatible
Inyectables Clindamycin phosphate 9 mg/ml
Inyectables Cefazolin sodium 10 mg/ml
Cloruro de sodio 0,9% 418
Compatible
Inyectables Clindamycin phosphate
Inyectables Cefazolin sodium
Cloruro de sodio 0,9% 3526
Compatible
Inyectables Clindamycin phosphate 9 mg/ml
Inyectables Cefazolin sodium 10 mg/ml
Glucosa 5% 418
Compatible
Inyectables Clindamycin phosphate 0,25 & 6 mg/ml
Inyectables Cefepime dihydrochloride 4 & 40 mg/ml
Glucosa 5% 3548
Compatible
Inyectables Clindamycin phosphate 10 mg/ml
Inyectables Cefiderocol sulfate tosylate 20 mg/mL
Glucosa 5% 4528
Compatible
Inyectables Clindamycin phosphate 12 mg/ml
Inyectables Cefoperazone sodium 20 mg/ml
Glucosa 5% 644
Incompatibilidad no especificada Incompatible
Inyectables Clindamycin phosphate
NaHCO3 3526
Compatible
Inyectables Clindamycin phosphate 12 mg/ml
Inyectables Cefonicid sodium 10 mg/ml
Cloruro de sodio 0,9% 644
Compatible
Inyectables Clindamycin phosphate 10 mg/ml
Nutrición parenteral (libre de lípidos) 301
Compatible
Inyectables Clindamycin phosphate
Inyectables Cefazolin sodium
Glucosa 5% 3526
Compatible
Inyectables Clindamycin phosphate 0,25 & 6 mg/ml
Inyectables Cefepime dihydrochloride 4 & 40 mg/ml
Cloruro de sodio 0,9% 3548
Compatible
Inyectables Clindamycin phosphate 10 mg/ml
Inyectables Cefiderocol sulfate tosylate 20 mg/mL
Cloruro de sodio 0,9% 4528
Compatible
Inyectables Clindamycin phosphate 12 mg/ml
Inyectables Cefonicid sodium 10 mg/ml
Glucosa 5% 644
Compatible
Inyectables Clindamycin phosphate 12 mg/ml
Inyectables Cefoperazone sodium 20 mg/ml
Cloruro de sodio 0,9% 644
Compatible
Inyectables Clindamycin phosphate 150 mg/ml
Nutrición parenteral (libre de lípidos) 999
Compatible
Inyectables Clindamycin phosphate
Inyectables Cefotaxime sodium
Glucosa 5% 3526
Compatible
Inyectables Clindamycin phosphate 9 mg/ml
Inyectables Cefotaxime sodium 20 mg/ml
Glucosa 5% 421
Compatible
Inyectables Clindamycin phosphate 9 mg/ml
Inyectables Cefotaxime sodium 20 mg/ml
Cloruro de sodio 0,9% 421
Compatible
Inyectables Clindamycin phosphate
Inyectables Cefotaxime sodium
Cloruro de sodio 0,9% 3526
Compatible
Inyectables Clindamycin phosphate
Inyectables Cefoxitin sodium
Cloruro de sodio 0,9% 3526
Compatible
Inyectables Clindamycin phosphate 9 mg/ml
Inyectables Cefoxitin sodium 20 mg/ml
Glucosa 5% 418
Compatible
Inyectables Clindamycin phosphate 9 mg/ml
Inyectables Cefoxitin sodium 20 mg/ml
Cloruro de sodio 0,9% 418
Compatible
Inyectables Clindamycin phosphate
Inyectables Cefoxitin sodium
Glucosa 5% 3526
Compatible
Inyectables Clindamycin phosphate 12 mg/ml
Inyectables Cefpirome sulfate 50 mg/ml
Cloruro de sodio 0,9% 280
Compatible
Inyectables Clindamycin phosphate 12 mg/ml
Inyectables Cefpirome sulfate 50 mg/ml
Cloruro de sodio 0,45% 280
Compatible
Inyectables Clindamycin phosphate 12 mg/ml
Inyectables Cefpirome sulfate 50 mg/ml
Glucosa 5% 280
Compatible
Inyectables Clindamycin phosphate 12 mg/ml
Inyectables Cefpirome sulfate 50 mg/ml
Ringer lactato 280
Compatible
Inyectables Clindamycin phosphate 10 mg/ml
Inyectables Ceftaroline fosamil 2,22 mg/ml
Ringer lactato 3249
Compatible
Inyectables Clindamycin phosphate
Inyectables Ceftazidime
Glucosa 5% 3526
Compatible
Inyectables Clindamycin phosphate 9 mg/ml
Inyectables Ceftizoxime sodium 20 mg/ml
Cloruro de sodio 0,9% 418
Compatible
Inyectables Clindamycin phosphate
Inyectables Ceftizoxime sodium
Glucosa 5% 3526
Compatible
Inyectables Clindamycin phosphate 10 mg/ml
Inyectables Ceftobiprole medocaril sodium 2 mg/ml
Cloruro de sodio 0,9% 2269
Compatible
Inyectables Clindamycin phosphate 10 mg/ml
Inyectables Ceftobiprole medocaril sodium 2 mg/ml
Glucosa 5% 2269
Compatible
Inyectables Clindamycin phosphate 10 mg/ml
Inyectables Ceftobiprole medocaril sodium 2 mg/ml
Ringer lactato 2269
Compatible
Inyectables Clindamycin phosphate 5,77 mg/ml
Nutrición parenteral (con lípidos) 4440
Compatible
Inyectables Clindamycin phosphate 1.2 mg/ml
Inyectables Cimetidine hydrochloride 1.2 & 5 mg/ml
Glucosa 5% 1201
Compatible
Inyectables Clindamycin phosphate 1.2 mg/ml
Inyectables Cimetidine hydrochloride 1.2 & 5 mg/ml
Cloruro de sodio 0,9% 1201
Precipitación inmediata Incompatible
Inyectables Clindamycin phosphate 7 mg/ml
Inyectables Ciprofloxacin lactate 1.5 mg/ml
Glucosa 5% 434
Compatible
Inyectables Clindamycin phosphate 10 mg/ml
Inyectables Cisatracurium besylate 0.1 >> 5 mg/ml
Glucosa 5% 299
Compatible
Inyectables Clindamycin phosphate 150 mg/ml
Inyectables Cloxacillin sodium 100 mg/ml
Agua para preparación inyectable 3012
Compatible
Inyectables Clindamycin phosphate 10 mg/ml
Inyectables Docetaxel 0.9 mg/ml
Glucosa 5% 1754
Producción de burbujas de gas. Incompatible
Inyectables Clindamycin phosphate 10 mg/ml
Inyectables Doxapram hydrochloride 2 mg/ml
Glucosa 5% 1802
Compatible
Inyectables Clindamycin phosphate 10 mg/ml
Inyectables Doxorubicin hydrochloride liposome peg 0.4 mg/ml
Glucosa 5% 251
Compatible
Inyectables Clindamycin phosphate 9 mg/ml
Inyectables Esmolol hydrochloride 10 mg/ml
Glucosa 5% 384
Compatible
Inyectables Clindamycin phosphate 9 mg/ml
Inyectables Fentanyl citrate 50 µg/ml
Glucosa 5% 63
Compatible
Inyectables Clindamycin phosphate 10 mg/ml
Nutrición parenteral (con lípidos) 3967
Compatible
Inyectables Clindamycin phosphate 10 mg/ml
Inyectables Ceftaroline fosamil 2,22 mg/ml
Glucosa 5% 3249
Compatible
Inyectables Clindamycin phosphate 10 mg/ml
Inyectables Ceftaroline fosamil 2,22 mg/ml
Cloruro de sodio 0,9% 3249
Compatible
Inyectables Clindamycin phosphate 9 mg/ml
Inyectables Ceftazidime 20 mg/ml
Glucosa 5% 432
Compatible
Inyectables Clindamycin phosphate
Inyectables Ceftazidime
Cloruro de sodio 0,9% 3526
Compatible
Inyectables Clindamycin phosphate 9 mg/ml
Inyectables Ceftazidime 20 mg/ml
Cloruro de sodio 0,9% 432
Compatible
Inyectables Clindamycin phosphate 10 mg/ml
Nutrición parenteral (con lípidos) 1415
Compatible
Inyectables Clindamycin phosphate 9 mg/ml
Inyectables Ceftizoxime sodium 20 mg/ml
Glucosa 5% 418
Compatible
Inyectables Clindamycin phosphate
Inyectables Ceftizoxime sodium
Cloruro de sodio 0,9% 3526
Inestabilidad química Incompatible
Inyectables Clindamycin phosphate 12 mg/ml
Inyectables Ceftriaxone disodium 20 mg/ml
Glucosa 5% 432
Incompatibilidad no especificada Incompatible
Inyectables Clindamycin phosphate
Inyectables Ceftriaxone disodium
3526
Inestabilidad química Incompatible
Inyectables Clindamycin phosphate 12 mg/ml
Inyectables Ceftriaxone disodium 20 mg/ml
Cloruro de sodio 0,9% 432
Compatible
Inyectables Clindamycin phosphate 9 mg/ml
Inyectables Cefuroxime sodium 15 mg/ml
Cloruro de sodio 0,9% 644
Compatible
Inyectables Clindamycin phosphate 9 mg/ml
Inyectables Cefuroxime sodium 15 mg/ml
Glucosa 5% 644
Precipitación inmediata Incompatible
Inyectables Clindamycin phosphate 7 mg/ml
Inyectables Ciprofloxacin lactate 1.5 mg/ml
Cloruro de sodio 0,9% 434
Incompatibilidad no especificada Incompatible
Inyectables Clindamycin phosphate
Inyectables Ciprofloxacin lactate
3526
Compatible
Inyectables Clindamycin phosphate 10 mg/ml
Inyectables Dexmedetomidine 4 µg/ml
Cloruro de sodio 0,9% 1712
Compatible
Inyectables Clindamycin phosphate 12 & 150 mg/ml
Inyectables Diltiazem hydrochloride 5 mg/ml
Cloruro de sodio 0,9% 198
Compatible
Inyectables Clindamycin phosphate
Inyectables Dimenhydrinate
2087
Compatible
Inyectables Clindamycin phosphate 9 mg/ml
Inyectables Enalaprilate 0.05 mg/ml
Cloruro de sodio 0,9% 1315
Compatible
Inyectables Clindamycin phosphate 10 mg/ml
Inyectables Etoposide phosphate 5 mg/ml
Glucosa 5% 1410
Compatible
Inyectables Clindamycin phosphate 10 mg/ml
Inyectables Fenoldopam mesylate 80 µg/ml
Cloruro de sodio 0,9% 1803
Precipitación inmediata Incompatible
Inyectables Clindamycin phosphate 10 mg/ml
Inyectables Filgrastim 30 µg/ml
Glucosa 5% 244
Compatible
Inyectables Clindamycin phosphate 12 mg/ml
Inyectables Fluconazole 2 mg/ml
Ninguno 256
Precipitación inmediata Incompatible
Inyectables Clindamycin phosphate 24 mg/ml
Inyectables Fluconazole 2 mg/ml
Cloruro de sodio 0,9% 496
Compatible
Inyectables Clindamycin phosphate 10 mg/ml
Inyectables Fludarabine phosphate 1 mg/ml
Glucosa 5% 492
Compatible
Inyectables Clindamycin phosphate 12 mg/ml
Inyectables Foscarnet sodium 24 mg/ml
Glucosa 5% 1135
Compatible
Inyectables Clindamycin phosphate 24 mg/ml
Inyectables Foscarnet sodium 24 mg/ml
Ninguno 73
Compatible
Inyectables Clindamycin phosphate 12 mg/ml
Inyectables Foscarnet sodium 24 mg/ml
Cloruro de sodio 0,9% 1135
Compatible
Inyectables Clindamycin phosphate 10 mg/ml
Inyectables Gemcitabine hydrochloride 10 mg/ml
Cloruro de sodio 0,9% 1423
Compatible
Inyectables Clindamycin phosphate
Inyectables Gentamicin sulfate
Glucosa 5% 3526
Compatible
Inyectables Clindamycin phosphate 90 mg/ml
Inyectables Gentamicin sulfate 12 mg/ml
Cloruro de sodio 0,9% 639
Compatible
Inyectables Clindamycin phosphate 6 mg/ml
Inyectables Gentamicin sulfate 0.67 mg/ml
Glucosa 5% 423
Compatible
Inyectables Clindamycin phosphate
Inyectables Gentamicin sulfate
Cloruro de sodio 0,9% 3526
Compatible
Inyectables Clindamycin phosphate 10 mg/ml
Inyectables Granisetron hydrochloride 0.05 mg/ml
Glucosa 5% 182
Compatible
Inyectables Clindamycin phosphate 12 mg/ml
Inyectables Heparin sodium 50 UI/ml
Ninguno 317
Compatible
Inyectables Clindamycin phosphate 10 mg/ml
Inyectables Hetastarch 60 mg/ml
específico disolvente 1721
Compatible
Inyectables Clindamycin phosphate 12 mg/ml
Inyectables Hydromorphone hydrochloride 0.2 mg/ml
Glucosa 5% 405
Incompatibilidad no especificada Incompatible
Inyectables Clindamycin phosphate
Inyectables Idarubicin hydrochloride
3526
Precipitación inmediata Incompatible
Inyectables Clindamycin phosphate 12 mg/ml
Inyectables Idarubicin hydrochloride 1 mg/ml
Cloruro de sodio 0,9% 491
Compatible
Inyectables Clindamycin phosphate 150 mg/ml
Inyectables Ketamine hydrochloride 50 mg/ml
2109
Compatible
Inyectables Clindamycin phosphate 9 mg/ml
Inyectables Labetalol hydrochloride 1 mg/ml
Glucosa 5% 386
Precipitación inmediata Incompatible
Inyectables Clindamycin phosphate 10 mg/ml
Inyectables Lansoprazole 0.55 mg/ml
Cloruro de sodio 0,9% 1625
Compatible
Inyectables Clindamycin phosphate 150 mg/ml
Inyectables Levofloxacine 5 mg/ml
Glucosa 5% 1072
Compatible
Inyectables Clindamycin phosphate 10 mg/ml
Inyectables Linezolid 2 mg/ml
Ninguno 1925
Incompatibilidad no especificada Incompatible
Inyectables Clindamycin phosphate
Inyectables Magnesium chloride
5012
Incompatibilidad no especificada Incompatible
Inyectables Clindamycin phosphate
Inyectables Magnesium sulfate
3838
Compatible
Inyectables Clindamycin phosphate 12 mg/ml
Inyectables Magnesium sulfate 16.67 >> 100 mg/ml
Glucosa 5% 1047
Incompatibilidad no especificada Incompatible
Inyectables Clindamycin phosphate
Inyectables Magnesium sulfate
3526
Compatible
Inyectables Clindamycin phosphate 10 mg/ml
Inyectables Melphalan 0.1 mg/ml
Cloruro de sodio 0,9% 169
Compatible
Inyectables Clindamycin phosphate 150 mg/ml
Inyectables Meropenem 50 mg/ml
Agua para preparación inyectable 4319
Incompatibilidad no especificada Incompatible
Inyectables Clindamycin phosphate
Inyectables Methohexital sodium
3526
Compatible
Inyectables Clindamycin phosphate 10 mg/ml
Inyectables Metronidazole 5 mg/ml
Ninguno 1035
Compatible
Inyectables Clindamycin phosphate
Inyectables Metronidazole
3594
Compatible
Inyectables Clindamycin phosphate 9 mg/ml
Inyectables Midazolam hydrochloride 1 mg/ml
Glucosa 5% 176
Compatible
Inyectables Clindamycin phosphate 12 mg/ml
Inyectables Morphine sulfate 1 mg/ml
Glucosa 5% 405
Compatible
Inyectables Clindamycin phosphate 150 mg/ml
Inyectables N-acetylcysteine 200 mg/ml
Ninguno 3766
Compatible
Inyectables Clindamycin phosphate 150 mg/ml
Inyectables Naloxone hydrochloride 0.4 mg/ml
Ninguno 3408
Compatible
Inyectables Clindamycin phosphate
Inyectables Netilmicin sulfate
Cloruro de sodio 0,9% 3526
Compatible
Inyectables Clindamycin phosphate 9 mg/ml
Inyectables Netilmicin sulfate 3 mg/ml
Glucosa 5% 421
Compatible
Inyectables Clindamycin phosphate 9 mg/ml
Inyectables Netilmicin sulfate 3 mg/ml
Cloruro de sodio 0,9% 421
Compatible
Inyectables Clindamycin phosphate
Inyectables Netilmicin sulfate
Glucosa 5% 3526
Compatible
Inyectables Clindamycin phosphate 9 mg/ml
Inyectables Nicardipine hydrochloride 0.1 mg/ml
Cloruro de sodio 0,9% 1490
Compatible
Inyectables Clindamycin phosphate 9 mg/ml
Inyectables Nicardipine hydrochloride 0.1 mg/ml
Glucosa 5% 1490
Compatible
Inyectables Clindamycin phosphate 6 mg/ml
Inyectables Ofloxacin 2 mg/ml
Ninguno 889
Compatible
Inyectables Clindamycin phosphate 10 mg/ml
Inyectables Ondansetron hydrochloride 1 mg/ml
Cloruro de sodio 0,9% 334
Precipitación después de 1 hora Incompatible
Inyectables Clindamycin phosphate 12 mg/ml
Inyectables Oritavancin 0.8 >>2 mg/ml
Glucosa 5% 3152
Precipitación después de 1 hora Incompatible
Inyectables Clindamycin phosphate
Inyectables Pantoprazole sodium
2090
Compatible
Inyectables Clindamycin phosphate 150 mg/ml
Inyectables Paracetamol 10 mg/ml
4742
Compatible
Inyectables Clindamycin phosphate 10 mg/ml
Inyectables Paracetamol 10 mg/ml
Ninguno 3571
Compatible
Inyectables Clindamycin phosphate 10 mg/ml
Inyectables Pemetrexed disodium 20 mg/ml
Cloruro de sodio 0,9% 1953
Incompatibilidad no especificada Incompatible
Inyectables Clindamycin phosphate
Inyectables Pentobarbital sodium
3526
Compatible
Inyectables Clindamycin phosphate 12 mg/ml
Inyectables Pethidine hydrochloride 10 mg/ml
Glucosa 5% 405
Incompatibilidad no especificada Incompatible
Inyectables Clindamycin phosphate
Inyectables Phenobarbital sodium
3526
Incompatibilidad no especificada Incompatible
Inyectables Clindamycin phosphate
Inyectables Phenytoin sodium
3526
Compatible
Inyectables Clindamycin phosphate 18 mg/ml
Inyectables Phloroglucinol 2,5 mg/ml
3791
Compatible
Inyectables Clindamycin phosphate
Inyectables Piperacillin sodium
Glucosa 5% 3526
Compatible
Inyectables Clindamycin phosphate
Inyectables Piperacillin sodium
Cloruro de sodio 0,9% 3526
Compatible
Inyectables Clindamycin phosphate 9 mg/ml
Inyectables Piperacillin sodium 40 mg/ml
Glucosa 5% 432
Compatible
Inyectables Clindamycin phosphate 9 mg/ml
Inyectables Piperacillin sodium 40 mg/ml
Cloruro de sodio 0,9% 432
Compatible
Inyectables Clindamycin phosphate 10 mg/ml
Inyectables Piperacillin sodium / tazobactam 40/5 mg/ml
Glucosa 5% 81
Turbidez inmediata Incompatible
Inyectables Clindamycin phosphate 150 mg/ml
Inyectables Salbutamol sulfate 1 mg/ml
Ninguno 3216
Incompatibilidad no especificada Incompatible
Inyectables Clindamycin phosphate
Inyectables Sodium bicarbonate
3526
Precipitación inmediata Incompatible
Inyectables Clindamycin phosphate 12 mg/ml
Inyectables Temocilline 83.33 mg/ml
Agua para preparación inyectable 2231
Compatible
Inyectables Clindamycin phosphate 10 mg/ml
Inyectables Teniposide 0.1 mg/ml
Glucosa 5% 905
Incompatibilidad no especificada Incompatible
Inyectables Clindamycin phosphate
Inyectables Thiopental sodium
3526
Compatible
Inyectables Clindamycin phosphate
Cloruro de sodio 0,9% 3526
Compatible
Inyectables Clindamycin phosphate 10 mg/ml
Inyectables Propofol 10 mg/ml
Ninguno 300
Incompatibilidad no especificada Incompatible
Inyectables Clindamycin phosphate
Inyectables Ranitidine hydrochloride
3526
Compatible
Inyectables Clindamycin phosphate 10 mg/ml
Inyectables Remifentanil hydrochloride 25 & 250 µg/ml
Cloruro de sodio 0,9% 59
Compatible
Inyectables Clindamycin phosphate 10 mg/ml
Inyectables Sargramostim 10 µg/ml
Cloruro de sodio 0,9% 335
Compatible
Inyectables Clindamycin phosphate 12 mg/ml
Inyectables Tacrolimus 1000 µg/ml
Cloruro de sodio 0,9% 479
Compatible
Inyectables Clindamycin phosphate 12 mg/ml
Inyectables Theophylline 4 mg/ml
Ninguno 317
Precipitación inmediata Incompatible
Inyectables Clindamycin phosphate 150 mg/ml
Inyectables Thiopental sodium 25 mg/ml
Cloruro de sodio 0,9% 3767
Compatible
Inyectables Clindamycin phosphate 10 mg/ml
Inyectables Thiotepa 1 mg/ml
Glucosa 5% 249
Compatible
Inyectables Clindamycin phosphate
Inyectables Tobramycin sulfate
Cloruro de sodio 0,9% 3526
Precipitación inmediata Incompatible
Inyectables Clindamycin phosphate 90 mg/ml
Inyectables Tobramycin sulfate 12 mg/ml
Cloruro de sodio 0,9% 639
Compatible
Inyectables Clindamycin phosphate
Inyectables Tobramycin sulfate
Glucosa 5% 3526
Precipitación después de 2 horas. Incompatible
Inyectables Clindamycin phosphate 6 mg/ml
Inyectables Tramadol hydrochloride 0,4 mg/ml
Cloruro de sodio 0,9% 2002
Compatible
Inyectables Clindamycin phosphate 1.2 mg/ml
Inyectables Verapamil hydrochloride 0.08 mg/ml
Cloruro de sodio 0,9% 1057
Compatible
Inyectables Clindamycin phosphate 1.2 mg/ml
Inyectables Verapamil hydrochloride 0.08 mg/ml
Glucosa 5% 1057
Compatible
Inyectables Clindamycin phosphate 10 mg/ml
Inyectables Vinorelbine tartrate 1 mg/ml
Cloruro de sodio 0,9% 84
Compatible
Inyectables Clindamycin phosphate 12 mg/ml
Inyectables Zidovudine 4 mg/ml
Glucosa 5% 337

  Mentions Légales