Son güncelleme :
18/03/2026
Antibiyotik   Tobramycin sulfate  
Enjeksiyon
Aerosol Göz damlası Oral solüsyon / oral çözelti
Çözeltilerin stabilitesi Karışımlardaki stabilitesi Stabiliteyi etkileyen faktörler Uyumluluk Uygulama yöntemi Kaynaklar pdf
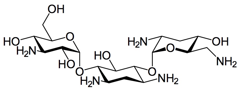
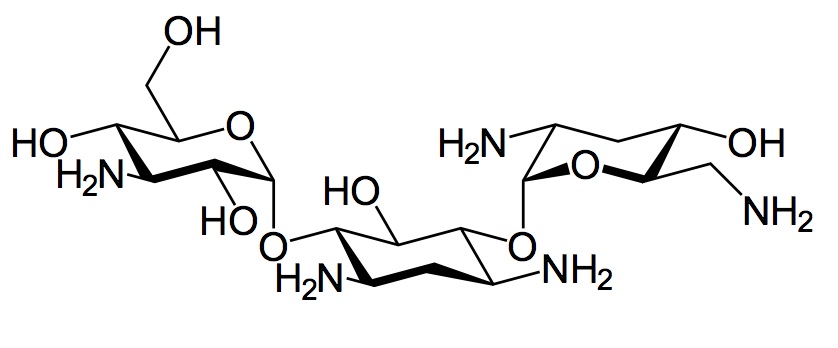
   Kimyasal yapı   

Ticari isim   Ticari isim     

Trade names are indicative and excipients composition can be different depending on the country and manufacturers

Bactob Hindistan
Beltob Hindistan
Bramicil İtalya
Brulamycin Macaristan, Malezya, Slovenya
Eltol Hindistan
Fytobra Hindistan
Gernebcin Almanya
Komitob Hindistan
Nebcin Birleşik Arap Emirlikleri, Büyük Britanya, Mısır, Suudi Arabistan, yeni Zelanda, Yunanistan
Nebcina Danimarka, Fas, İsveç, Norveç
Nebcine Fas, Fransa, Slovenya
Nebicina İtalya
Obracin Belçika, Hollanda, İsviçre, Lüksemburg
Tobracin Brezilya, Mısır, Suudi Arabistan
Tobramicina Arjantin, Brezilya, Ekvador, İspanya, İtalya, Kolombiya, Portekiz, Şili
Tobramina Brezilya
Tobramycin Almanya, Amerika Birleşik Devletleri, Avustralya, Büyük Britanya, İrlanda, Kanada, Norveç, Suudi Arabistan
Tobramycine Fransa, Hollanda, İrlanda
Tobrasix Avusturya
Tobrazid Almanya
Uyumluluk   Enjeksiyon    Uyumluluk : Tobramycin sulfate              
Bu ekran, bu durumda uyumsuzluk tipiyle (çökelme, renk değişimi, bir emülsiyonun modifikasyonu, vb.) Uyumlulukları veya uyumsuzlukları gösterir. Burada gösterilen uyumluluklar çoğunlukla yalnızca fizikseldir ve her molekülün kimyasal stabilitesi nadiren değerlendirilir. Bu karışımların değerlendirilmesi, hastaya Y bölgesi uygulama olasılığını göz önünde bulundurmak için çalışıldı. Bu veriler önceden torba veya şırıngalarda karışım yapmak için kullanılamaz. Bu tür bilgiler "Karışımda stabilite" ekranında mevcuttur.
Bileşik Çözücü Kaynaklar
Uyumlu
Enjeksiyon Tobramycin sulfate 1.6 mg/ml
Enjeksiyon Aciclovir sodium 5 mg/ml
Glukoz %5 336
1 saat sonra yağış uyumsuz
Enjeksiyon Tobramycin sulfate 5 mg/ml
Enjeksiyon Allopurinol sodium 3 mg/ml
Sodyum klorür % 0,9 307
Uyumlu
Enjeksiyon Tobramycin sulfate 1 mg/ml
Enjeksiyon Alprostadil 15 µg/ml
3201
Uyumlu
Enjeksiyon Tobramycin sulfate 5 mg/ml
Enjeksiyon Amifostine 10 mg/ml
Glukoz %5 3
Uyumlu
Enjeksiyon Tobramycin sulfate 5 mg/ml
Enjeksiyon Amiodarone hydrochloride 6 mg/ml
Glukoz %5 1611
Uyumlu
Enjeksiyon Tobramycin sulfate 0.8 mg/ml
Enjeksiyon Amiodarone hydrochloride 4 mg/ml
Sodyum klorür % 0,9 385
Uyumlu
Enjeksiyon Tobramycin sulfate 0.8 mg/ml
Enjeksiyon Amiodarone hydrochloride 4 mg/ml
Glukoz %5 385
Kimyasal kararsızlık uyumsuz
Enjeksiyon Tobramycin sulfate
Enjeksiyon Amoxicillin sodium
3527
Belirtilmemiş uyumsuzluk uyumsuz
Enjeksiyon Tobramycin sulfate
Enjeksiyon Amoxicillin sodium / clavulanic acid
3545
Uyumlu
Enjeksiyon Tobramycin sulfate 40 mg/ml
Enjeksiyon Amoxicillin sodium / clavulanic acid 100/10 mg/ml
3824
Acil yağış uyumsuz
Enjeksiyon Tobramycin sulfate 5 mg/ml
Enjeksiyon Amphotericin B cholesteryl sulfate complex 0.83 mg/ml
Glukoz %5 921
Uyumlu
Enjeksiyon Tobramycin sulfate 5 mg/ml
Enjeksiyon Amsacrine 1 mg/ml
Glukoz %5 253
Uyumlu
Enjeksiyon Tobramycin sulfate 5 mg/ml
Enjeksiyon Anidulafungin 0.5 mg/ml
Glukoz %5 1982
Acil yağış uyumsuz
Enjeksiyon Tobramycin sulfate 21 mg/ml
Enjeksiyon Azithromycine 2 mg/ml
Sodyum klorür % 0,9 1800
Uyumlu
Enjeksiyon Tobramycin sulfate 0.2 & 0.8 mg/ml
Enjeksiyon Aztreonam 10 & 20 mg/ml
Glukoz %5 19
Uyumlu
Enjeksiyon Tobramycin sulfate 0.2 & 0.8 mg/ml
Enjeksiyon Aztreonam 10 & 20 mg/ml
Sodyum klorür % 0,9 19
Uyumlu
Enjeksiyon Tobramycin sulfate 5 mg/ml
Enjeksiyon Aztreonam 40 mg/ml
Glukoz %5 99
Uyumlu
Enjeksiyon Tobramycin sulfate 5 mg/ml
Enjeksiyon Bivalirudin 5 mg/ml
Glukoz %5 1713
Uyumlu
Enjeksiyon Tobramycin sulfate 40 mg/ml
Enjeksiyon Caffeine 10 mg/ml
Yok 3964
uyumsuz
Enjeksiyon Tobramycin sulfate
Enjeksiyon Calcium gluconate
4964
Belirtilmemiş uyumsuzluk uyumsuz
Enjeksiyon Tobramycin sulfate
Enjeksiyon Calcium gluconate
3644
Uyumlu
Enjeksiyon Tobramycin sulfate 1 mg/ml
Enjeksiyon Calcium gluconate 33 mg/ml
Glukoz %5 503
Uyumlu
Enjeksiyon Tobramycin sulfate 5 mg/ml
Enjeksiyon Calcium gluconate 16 mg/ml
Glukoz %5 503
Uyumlu
Enjeksiyon Tobramycin sulfate 5 mg/ml
Enjeksiyon Caspofungin acetate 0,7 mg/ml
Sodyum klorür % 0,9 2247
Acil yağış uyumsuz
Enjeksiyon Tobramycin sulfate
Enjeksiyon Cefamandole nafate 2 >> 100 mg/ml
Sodyum klorür % 0,9 612
Acil yağış uyumsuz
Enjeksiyon Tobramycin sulfate
Enjeksiyon Cefamandole nafate 2 >> 100 mg/ml
Glukoz %5 612
Belirtilmemiş uyumsuzluk uyumsuz
Enjeksiyon Tobramycin sulfate
Enjeksiyon Cefamandole nafate
3546
Uyumlu
Enjeksiyon Tobramycin sulfate 6 mg/ml
Enjeksiyon Cefepime dihydrochloride 125 mg/ml
Enjeksiyonluk su 2141
Belirtilmemiş uyumsuzluk uyumsuz
Enjeksiyon Tobramycin sulfate
Enjeksiyon Cefepime dihydrochloride
3548
Acil yağış uyumsuz
Enjeksiyon Tobramycin sulfate 10 mg/ml
Enjeksiyon Cefiderocol sulfate tosylate 20 mg/mL
Glukoz %5 4528
Acil yağış uyumsuz
Enjeksiyon Tobramycin sulfate 10 mg/ml
Enjeksiyon Cefiderocol sulfate tosylate 20 mg/mL
Sodyum klorür % 0,9 4528
Acil yağış uyumsuz
Enjeksiyon Tobramycin sulfate 0.8 mg/ml
Enjeksiyon Cefoperazone sodium 10 & 40 mg/ml
Glukoz %5 1206
Belirtilmemiş uyumsuzluk uyumsuz
Enjeksiyon Tobramycin sulfate
Enjeksiyon Cefoperazone sodium
3544
Belirtilmemiş uyumsuzluk uyumsuz
Enjeksiyon Tobramycin sulfate
Enjeksiyon Cefpirome sulfate
3677
Uyumlu
Enjeksiyon Tobramycin sulfate 5 mg/ml
Enjeksiyon Ceftaroline fosamil 2,22 mg/ml
Sodyum klorür % 0,9 3249
Uyumlu
Enjeksiyon Tobramycin sulfate 5 mg/ml
Enjeksiyon Ceftaroline fosamil 2,22 mg/ml
Glukoz %5 3249
Uyumlu
Enjeksiyon Tobramycin sulfate 5 mg/ml
Enjeksiyon Ceftaroline fosamil 2,22 mg/ml
Laktatlı ringer 3249
Uyumlu
Enjeksiyon Tobramycin sulfate 6 mg/ml
Enjeksiyon Ceftazidime 83.3 mg/ml
1759
Belirtilmemiş uyumsuzluk uyumsuz
Enjeksiyon Tobramycin sulfate
Enjeksiyon Ceftazidime
3543
Uyumlu
Enjeksiyon Tobramycin sulfate 0.008 mg/ml
Enjeksiyon Ceftazidime 0.125 mg/ml
Dianéal® PD2 2.5% glucose (Baxter) 2369
Belirtilmemiş uyumsuzluk uyumsuz
Enjeksiyon Tobramycin sulfate
Enjeksiyon Ceftazidime
3883
Uyumlu
Enjeksiyon Tobramycin sulfate 6 mg/ml
Enjeksiyon Ceftazidime 125 mg/ml
Enjeksiyonluk su 2141
Acil yağış uyumsuz
Enjeksiyon Tobramycin sulfate 5 mg/ml
Enjeksiyon Ceftobiprole medocaril sodium 2 mg/ml
Laktatlı ringer 2269
Belirtilmemiş uyumsuzluk uyumsuz
Enjeksiyon Tobramycin sulfate
Enjeksiyon Ceftobiprole medocaril sodium
4650
Acil yağış uyumsuz
Enjeksiyon Tobramycin sulfate 5 mg/ml
Enjeksiyon Ceftobiprole medocaril sodium 2 mg/ml
Glukoz %5 2269
Acil yağış uyumsuz
Enjeksiyon Tobramycin sulfate 5 mg/ml
Enjeksiyon Ceftobiprole medocaril sodium 2 mg/ml
Sodyum klorür % 0,9 2269
Uyumlu
Enjeksiyon Tobramycin sulfate 5 mg/ml
Enjeksiyon Ceftolozane / tazobactam 10/5 mg/ml
Glukoz %5 3828
Uyumlu
Enjeksiyon Tobramycin sulfate 5 mg/ml
Enjeksiyon Ceftolozane / tazobactam 10/5 mg/ml
Sodyum klorür % 0,9 3828
Belirtilmemiş uyumsuzluk uyumsuz
Enjeksiyon Tobramycin sulfate
Enjeksiyon Ceftriaxone disodium
3523
Belirtilmemiş uyumsuzluk uyumsuz
Enjeksiyon Tobramycin sulfate
Enjeksiyon Cefuroxime sodium
3687
Uyumlu
Enjeksiyon Tobramycin sulfate 1.6 mg/ml
Enjeksiyon Ciprofloxacin lactate 2 mg/ml
Glukoz %5 285
Uyumlu
Enjeksiyon Tobramycin sulfate 1 mg/ml
Enjeksiyon Ciprofloxacin lactate 1.5 mg/ml
Glukoz %5 434
Uyumlu
Enjeksiyon Tobramycin sulfate 1 mg/ml
Enjeksiyon Ciprofloxacin lactate 1.5 mg/ml
Sodyum klorür % 0,9 434
Uyumlu
Enjeksiyon Tobramycin sulfate 1,6 mg/ml
Enjeksiyon Ciprofloxacin lactate 1 mg/ml
Glukoz %5 500
Uyumlu
Enjeksiyon Tobramycin sulfate 1,6 mg/ml
Enjeksiyon Ciprofloxacin lactate 1 mg/ml
Sodyum klorür % 0,9 500
Uyumlu
Enjeksiyon Tobramycin sulfate 5 mg/ml
Enjeksiyon Cisatracurium besylate 0.1 >> 5 mg/ml
Glukoz %5 299
Kimyasal kararsızlık uyumsuz
Enjeksiyon Tobramycin sulfate
Enjeksiyon Cisplatin
3578
Uyumlu
Enjeksiyon Tobramycin sulfate
Enjeksiyon Clindamycin phosphate
Glukoz %5 3526
Uyumlu
Enjeksiyon Tobramycin sulfate
Enjeksiyon Clindamycin phosphate
Sodyum klorür % 0,9 3526
Acil yağış uyumsuz
Enjeksiyon Tobramycin sulfate 12 mg/ml
Enjeksiyon Clindamycin phosphate 90 mg/ml
Sodyum klorür % 0,9 639
Acil yağış uyumsuz
Enjeksiyon Tobramycin sulfate 40 mg/ml
Enjeksiyon Cloxacillin sodium 100 mg/ml
Enjeksiyonluk su 3012
Acil yağış uyumsuz
Enjeksiyon Tobramycin sulfate 10 mg/ml
Enjeksiyon Defibrotide 8 mg/ml
Sodyum klorür % 0,9 3728
Uyumlu
Enjeksiyon Tobramycin sulfate 5 mg/ml
Enjeksiyon Dexmedetomidine 4 µg/ml
Sodyum klorür % 0,9 1712
Uyumlu
Enjeksiyon Tobramycin sulfate 2.4 & 40 mg/ml
Enjeksiyon Diltiazem hydrochloride 5 mg/ml
Sodyum klorür % 0,9 198
Uyumlu
Enjeksiyon Tobramycin sulfate
Enjeksiyon Dimenhydrinate
2087
Uyumlu
Enjeksiyon Tobramycin sulfate 5 mg/ml
Enjeksiyon Docetaxel 0.9 mg/ml
Glukoz %5 1754
Uyumlu
Enjeksiyon Tobramycin sulfate 40 mg/ml
Parenteral beslenme (Lipidler) 673
Uyumlu
Enjeksiyon Tobramycin sulfate 10 mg/ml
Parenteral beslenme (ikili karışım) 316
Uyumlu
Enjeksiyon Tobramycin sulfate 5 mg/ml
Parenteral beslenme (Lipidler) 1415
Uyumlu
Enjeksiyon Tobramycin sulfate 5 mg/ml
Enjeksiyon Doripenem 5 mg/ml
Glukoz %5 2262
Uyumlu
Enjeksiyon Tobramycin sulfate 0,05 mg/ml
Parenteral beslenme (ikili karışım) 4445
Uyumlu
Enjeksiyon Tobramycin sulfate 5 mg/ml
Enjeksiyon Doripenem 5 mg/ml
Sodyum klorür % 0,9 2262
Uyumlu
Enjeksiyon Tobramycin sulfate 5 mg/ml
Enjeksiyon Doxorubicin hydrochloride liposome peg 0.4 mg/ml
Glukoz %5 251
Uyumlu
Enjeksiyon Tobramycin sulfate 5 mg/ml
Enjeksiyon Eravacycline 0,6 mg/ml
Sodyum klorür % 0,9 4434
Uyumlu
Enjeksiyon Tobramycin sulfate 5 mg/ml
Enjeksiyon Fenoldopam mesylate 80 µg/ml
Sodyum klorür % 0,9 1803
Uyumlu
Enjeksiyon Tobramycin sulfate 10 mg/ml
Enjeksiyon Fentanyl citrate 50 µg/ml
Glukoz %5 63
Uyumlu
Enjeksiyon Tobramycin sulfate 10 & 40 mg/ml
Parenteral beslenme (ikili karışım) 999
Uyumlu
Enjeksiyon Tobramycin sulfate 0.8 mg/ml
Enjeksiyon Enalaprilate 0.05 mg/ml
Sodyum klorür % 0,9 1315
Belirtilmemiş uyumsuzluk uyumsuz
Enjeksiyon Tobramycin sulfate
Enjeksiyon Erythromycin lactobionate
3674
Uyumlu
Enjeksiyon Tobramycin sulfate 0.8 mg/ml
Enjeksiyon Esmolol hydrochloride 10 mg/ml
Glukoz %5 384
Uyumlu
Enjeksiyon Tobramycin sulfate 1.6 mg/ml
Enjeksiyon Filgrastim 40 µg/ml
Glukoz %5 104
Uyumlu
Enjeksiyon Tobramycin sulfate 5 mg/ml
Parenteral beslenme (ikili karışım) 301
Uyumlu
Enjeksiyon Tobramycin sulfate 5 mg/ml
Enjeksiyon Etoposide phosphate 5 mg/ml
Glukoz %5 1410
Uyumlu
Enjeksiyon Tobramycin sulfate 5 mg/ml
Enjeksiyon Filgrastim 30 µg/ml
Glukoz %5 244
Uyumlu
Enjeksiyon Tobramycin sulfate 40 mg/ml
Laktatlı ringer 4603
Acil yağış uyumsuz
Enjeksiyon Tobramycin sulfate
Enjeksiyon Flucloxacillin sodium
3522
7 saat sonra yağış uyumsuz
Enjeksiyon Tobramycin sulfate 8 mg/ml
Enjeksiyon Flucloxacillin sodium 20 mg/ml
Sodyum klorür % 0,9 1232
Uyumlu
Enjeksiyon Tobramycin sulfate 40 mg/ml
Enjeksiyon Fluconazole 2 mg/ml
Sodyum klorür % 0,9 496
Uyumlu
Enjeksiyon Tobramycin sulfate 5 mg/ml
Enjeksiyon Fludarabine phosphate 1 mg/ml
Glukoz %5 492
Uyumlu
Enjeksiyon Tobramycin sulfate 40 mg/ml
Enjeksiyon Foscarnet sodium 24 mg/ml
Yok 73
Uyumlu
Enjeksiyon Tobramycin sulfate 5 mg/ml
Enjeksiyon Fosfomycin 30 mg/ml
Glukoz %5 4055
7 saat sonra yağış uyumsuz
Enjeksiyon Tobramycin sulfate 8 mg/ml
Enjeksiyon Furosemide 1 mg/ml
Sodyum klorür % 0,9 1232
Acil yağış uyumsuz
Enjeksiyon Tobramycin sulfate 1,6 mg/ml
Enjeksiyon Furosemide 0,8 mg/ml
Glukoz %5 367
Acil yağış uyumsuz
Enjeksiyon Tobramycin sulfate 1,6 mg/ml
Enjeksiyon Furosemide 0,8 mg/ml
Sodyum klorür % 0,9 367
Belirtilmemiş uyumsuzluk uyumsuz
Enjeksiyon Tobramycin sulfate 0.8 mg/ml
Enjeksiyon Heparin sodium 50 UI/ml
Yok 317
Belirtilmemiş uyumsuzluk uyumsuz
Enjeksiyon Tobramycin sulfate
Enjeksiyon Heparin sodium
3540
Uyumlu
Enjeksiyon Tobramycin sulfate
Glukoz %5 5086
Uyumlu
Enjeksiyon Tobramycin sulfate 5 mg/ml
Enjeksiyon Fosfomycin 30 mg/ml
Sodyum klorür % 0,9 4055
Uyumlu
Enjeksiyon Tobramycin sulfate 5 mg/ml
Enjeksiyon Gemcitabine hydrochloride 10 mg/ml
Sodyum klorür % 0,9 1423
Uyumlu
Enjeksiyon Tobramycin sulfate 5 mg/ml
Enjeksiyon Granisetron hydrochloride 0.05 mg/ml
Glukoz %5 182
Uyumlu
Enjeksiyon Tobramycin sulfate 5 mg/ml
Enjeksiyon Hetastarch 60 mg/ml
çözücü Özgül 1721
Acil yağış uyumsuz
Enjeksiyon Tobramycin sulfate 0.8 mg/ml
Enjeksiyon Hetastarch 60 mg/ml
Sodyum klorür % 0,9 472
Uyumlu
Enjeksiyon Tobramycin sulfate 0.8 mg/ml
Enjeksiyon Hydromorphone hydrochloride 0.2 mg/ml
Glukoz %5 405
15 dakika sonra yağış uyumsuz
Enjeksiyon Tobramycin sulfate 1 mg/ml
Enjeksiyon Indomethacin sodium trihydrate 0,5 & 1 mg/ml
Glukoz %5 1745
Acil yağış uyumsuz
Enjeksiyon Tobramycin sulfate 1 mg/ml
Enjeksiyon Indomethacin sodium trihydrate 0,5 & 1 mg/ml
Glukoz %5 494
Uyumlu
Enjeksiyon Tobramycin sulfate 1.6 & 2 mg/ml
Enjeksiyon Insulin 0.2 UI/ml
Sodyum klorür % 0,9 129
Uyumlu
Enjeksiyon Tobramycin sulfate 5 mg/ml
Enjeksiyon Isavuconazonium sulfate 1.5 mg/ml
Glukoz %5 3829
Uyumlu
Enjeksiyon Tobramycin sulfate 5 mg/ml
Enjeksiyon Isavuconazonium sulfate 1.5 mg/ml
Sodyum klorür % 0,9 3829
Uyumlu
Enjeksiyon Tobramycin sulfate 40 mg/ml
Enjeksiyon Ketamine hydrochloride 50 mg/ml
2109
Uyumlu
Enjeksiyon Tobramycin sulfate 0.8 mg/ml
Enjeksiyon Labetalol hydrochloride 1 mg/ml
Glukoz %5 386
4 saat sonra renk değişimi uyumsuz
Enjeksiyon Tobramycin sulfate 5 mg/ml
Enjeksiyon Lansoprazole 0.55 mg/ml
Sodyum klorür % 0,9 1625
Uyumlu
Enjeksiyon Tobramycin sulfate 5 mg/ml
Enjeksiyon Linezolid 2 mg/ml
Yok 1925
Uyumlu
Enjeksiyon Tobramycin sulfate 0,80 mg/ml
Enjeksiyon Linezolid 1,80 mg/ml
2353
Uyumlu
Enjeksiyon Tobramycin sulfate 0.8 mg/ml
Enjeksiyon Magnesium sulfate 16.67 >> 100 mg/ml
Glukoz %5 1047
Uyumlu
Enjeksiyon Tobramycin sulfate 5 mg/ml
Enjeksiyon Melphalan 0.1 mg/ml
Sodyum klorür % 0,9 169
Uyumlu
Enjeksiyon Tobramycin sulfate 40 mg/ml
Enjeksiyon Meropenem 50 mg/ml
Enjeksiyonluk su 4319
Uyumlu
Enjeksiyon Tobramycin sulfate 40 mg/ml
Enjeksiyon Meropenem 50 mg/ml
4389
Uyumlu
Enjeksiyon Tobramycin sulfate 0.8 mg/ml
Enjeksiyon Metronidazole 5 mg/ml
Yok 1035
Uyumlu
Enjeksiyon Tobramycin sulfate
Enjeksiyon Metronidazole
3594
Uyumlu
Enjeksiyon Tobramycin sulfate 10 mg/ml
Enjeksiyon Midazolam hydrochloride 1 mg/ml
Glukoz %5 176
Uyumlu
Enjeksiyon Tobramycin sulfate 1.6 >> 2.4 mg/ml
Enjeksiyon Morphine sulfate 1 mg/ml
Sodyum klorür % 0,9 406
Uyumlu
Enjeksiyon Tobramycin sulfate 0.8 mg/ml
Enjeksiyon Morphine sulfate 1 mg/ml
Glukoz %5 405
Uyumlu
Enjeksiyon Tobramycin sulfate 40 mg/ml
Enjeksiyon Naloxone hydrochloride 0.4 mg/ml
Yok 3408
Uyumlu
Enjeksiyon Tobramycin sulfate 0.8 mg/ml
Enjeksiyon Nicardipine hydrochloride 0.1 mg/ml
Sodyum klorür % 0,9 1490
Uyumlu
Enjeksiyon Tobramycin sulfate 0.8 mg/ml
Enjeksiyon Nicardipine hydrochloride 0.1 mg/ml
Glukoz %5 1490
Uyumlu
Enjeksiyon Tobramycin sulfate 0,8 mg/ml
Enjeksiyon Ofloxacin 2 mg/ml
Yok 889
Uyumlu
Enjeksiyon Tobramycin sulfate 5 mg/ml
Enjeksiyon Oritavancin 0.8 >>2 mg/ml
Glukoz %5 3152
Acil yağış uyumsuz
Enjeksiyon Tobramycin sulfate
Enjeksiyon Pantoprazole sodium
2090
Uyumlu
Enjeksiyon Tobramycin sulfate 40 mg/ml
Enjeksiyon Paracetamol 10 mg/ml
4742
Acil yağış uyumsuz
Enjeksiyon Tobramycin sulfate 5 mg/ml
Enjeksiyon Pemetrexed disodium 20 mg/ml
Sodyum klorür % 0,9 1953
Uyumlu
Enjeksiyon Tobramycin sulfate 0.8 mg/ml
Enjeksiyon Pethidine hydrochloride 10 mg/ml
Glukoz %5 405
Uyumlu
Enjeksiyon Tobramycin sulfate 1.6 >> 2.4 mg/ml
Enjeksiyon Pethidine hydrochloride 10 mg/ml
Sodyum klorür % 0,9 406
Kimyasal kararsızlık uyumsuz
Enjeksiyon Tobramycin sulfate
Enjeksiyon Piperacillin sodium
1168
Kimyasal kararsızlık uyumsuz
Enjeksiyon Tobramycin sulfate
Enjeksiyon Piperacillin sodium / tazobactam
3586
Emülsiyonun anında dengesizliği uyumsuz
Enjeksiyon Tobramycin sulfate 2 mg/ml
Enjeksiyon Propofol
660
Acil yağış uyumsuz
Enjeksiyon Tobramycin sulfate 5 mg/ml
Enjeksiyon Propofol 10 mg/ml
Yok 300
Uyumlu
Enjeksiyon Tobramycin sulfate 5 mg/ml
Enjeksiyon Remifentanil hydrochloride 25 & 250 µg/ml
Sodyum klorür % 0,9 59
Acil yağış uyumsuz
Enjeksiyon Tobramycin sulfate 40 mg/ml
Enjeksiyon Salbutamol sulfate 1 mg/ml
Yok 3216
4 saat sonra yağış uyumsuz
Enjeksiyon Tobramycin sulfate 5 mg/ml
Enjeksiyon Sargramostim 10 µg/ml
Sodyum klorür % 0,9 335
Uyumlu
Enjeksiyon Tobramycin sulfate 2,4 mg/ml
Enjeksiyon Sodium bicarbonate 40 mg/ml
Yok 3122
Uyumlu
Enjeksiyon Tobramycin sulfate 5 mg/ml
Enjeksiyon Sulbactam/durlobactam 15/15 mg/ml
Sodyum klorür % 0,9 4801
Uyumlu
Enjeksiyon Tobramycin sulfate 40 mg/ml
Enjeksiyon Tacrolimus 1000 µg/ml
Sodyum klorür % 0,9 479
Anında bulanıklık uyumsuz
Enjeksiyon Tobramycin sulfate 5 mg/ml
Enjeksiyon Tedizolid phosphate 0.8 mg/ml
Sodyum klorür % 0,9 3827
Belirtilmemiş uyumsuzluk uyumsuz
Enjeksiyon Tobramycin sulfate
Enjeksiyon Teicoplanine
3656
Uyumlu
Enjeksiyon Tobramycin sulfate 5 mg/ml
Enjeksiyon Telavancin hydrochloride 7.5 mg/ml
Sodyum klorür % 0,9 3254
Uyumlu
Enjeksiyon Tobramycin sulfate 5 mg/ml
Enjeksiyon Telavancin hydrochloride 7.5 mg/ml
Glukoz %5 3254
Uyumlu
Enjeksiyon Tobramycin sulfate 6 mg/ml
Enjeksiyon Temocilline 83.33 mg/ml
Enjeksiyonluk su 2231
Belirtilmemiş uyumsuzluk uyumsuz
Enjeksiyon Tobramycin sulfate
Enjeksiyon Temocilline
2296
Uyumlu
Enjeksiyon Tobramycin sulfate 5 mg/ml
Enjeksiyon Teniposide 0.1 mg/ml
Glukoz %5 905
Uyumlu
Enjeksiyon Tobramycin sulfate 0.8 mg/ml
Enjeksiyon Theophylline 4 mg/ml
Yok 317
Acil yağış uyumsuz
Enjeksiyon Tobramycin sulfate 40 mg/ml
Enjeksiyon Thiopental sodium 25 mg/ml
Sodyum klorür % 0,9 3767
Uyumlu
Enjeksiyon Tobramycin sulfate 5 mg/ml
Enjeksiyon Thiotepa 1 mg/ml
Glukoz %5 249
Uyumlu
Enjeksiyon Tobramycin sulfate
Sodyum klorür % 0,9 5086
Kimyasal kararsızlık uyumsuz
Enjeksiyon Tobramycin sulfate
Enjeksiyon Ticarcillin / clavulanic acid
3587
Uyumlu
Enjeksiyon Tobramycin sulfate
Enjeksiyon Tigecycline
Sodyum klorür % 0,9 3332
Uyumlu
Enjeksiyon Tobramycin sulfate 6 mg/ml
Enjeksiyon Vancomycin hydrochloride 10 mg/ml
Glukoz %5 3385
Uyumlu
Enjeksiyon Tobramycin sulfate 0.16 mg/ml
Enjeksiyon Verapamil hydrochloride 0.08 mg/ml
Sodyum klorür % 0,9 1057
Uyumlu
Enjeksiyon Tobramycin sulfate 0.16 mg/ml
Enjeksiyon Verapamil hydrochloride 0.08 mg/ml
Glukoz %5 1057
Uyumlu
Enjeksiyon Tobramycin sulfate 5 mg/ml
Enjeksiyon Vinorelbine tartrate 1 mg/ml
Sodyum klorür % 0,9 84
Uyumlu
Enjeksiyon Tobramycin sulfate 2 mg/ml
Enjeksiyon Zidovudine 4 mg/ml
Glukoz %5 337

  Mentions Légales