最新更新 :
18/03/2026
抗生素   Tobramycin sulfate  
注射液
口服剂 气雾剂 眼药水
溶液稳定性 混合物稳定性 影响稳定性的因素 兼容性 用药途径 引用文献 PDF
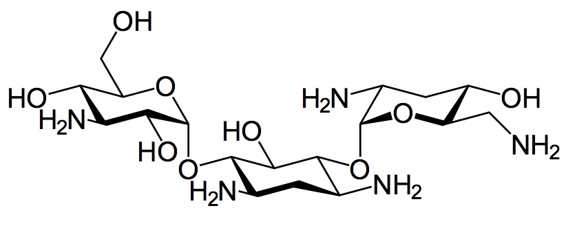
   化学式  

商品名   商品名     

商品名仅供参考, 药品所用的辅料可能依国家或厂商不同有所不同。

Bactob 印度
Beltob 印度
Bramicil 意大利
Brulamycin 匈牙利, 斯洛文尼亚, 马来西亚
Eltol 印度
Fytobra 印度
Gernebcin 德国
Komitob 印度
Nebcin 埃及, 希腊, 新西蘭, 沙特阿拉伯, 英国, 阿联酋
Nebcina 丹麦, 挪威, 摩洛哥, 瑞典
Nebcine 摩洛哥, 斯洛文尼亚, 法国
Nebicina 意大利
Obracin 卢森堡, 比利时, 瑞士, 荷兰
Tobracin 埃及, 巴西, 沙特阿拉伯
Tobramicina 厄瓜多尔, 哥伦比亚, 巴西, 意大利, 智利, 葡萄牙, 西班牙, 阿根廷
Tobramina 巴西
Tobramycin 加拿大, 德国, 挪威, 沙特阿拉伯, 澳大利亚, 爱尔兰, 美国, 英国
Tobramycine 法国, 爱尔兰, 荷兰
Tobrasix 奥地利
Tobrazid 德国
兼容性   注射液   兼容性 : Tobramycin sulfate              
This screen indicates the compatibilities or incompatibilities with, in this case, the type of incompatibility (precipitation, color change, modification of an emulsion, etc.). The compatibilities shown here are mostly physical only, with the chemical stability of each molecule rarely being assessed. The evaluation of these mixtures was studied to consider the possibility of Y-site administration to the patient. These data cannot be used for making mixtures in advance in bags or syringes. This type of information is available in the screen "Stability in mixture ».
分子 溶剂 引用文献
兼容
注射液 Tobramycin sulfate 1.6 mg/ml
注射液 Aciclovir sodium 5 mg/ml
葡萄糖5% 336
1小時後析出 不相容
注射液 Tobramycin sulfate 5 mg/ml
注射液 Allopurinol sodium 3 mg/ml
NaCl 0,9% 307
兼容
注射液 Tobramycin sulfate 1 mg/ml
注射液 Alprostadil 15 µg/ml
3201
兼容
注射液 Tobramycin sulfate 5 mg/ml
注射液 Amifostine 10 mg/ml
葡萄糖5% 3
兼容
注射液 Tobramycin sulfate 5 mg/ml
注射液 Amiodarone hydrochloride 6 mg/ml
葡萄糖5% 1611
兼容
注射液 Tobramycin sulfate 0.8 mg/ml
注射液 Amiodarone hydrochloride 4 mg/ml
NaCl 0,9% 385
兼容
注射液 Tobramycin sulfate 0.8 mg/ml
注射液 Amiodarone hydrochloride 4 mg/ml
葡萄糖5% 385
化學不穩定性 不相容
注射液 Tobramycin sulfate
注射液 Amoxicillin sodium
3527
未指定的不兼容性 不相容
注射液 Tobramycin sulfate
注射液 Amoxicillin sodium / clavulanic acid
3545
兼容
注射液 Tobramycin sulfate 40 mg/ml
注射液 Amoxicillin sodium / clavulanic acid 100/10 mg/ml
3824
立即沉澱 不相容
注射液 Tobramycin sulfate 5 mg/ml
注射液 Amphotericin B cholesteryl sulfate complex 0.83 mg/ml
葡萄糖5% 921
兼容
注射液 Tobramycin sulfate 5 mg/ml
注射液 Amsacrine 1 mg/ml
葡萄糖5% 253
兼容
注射液 Tobramycin sulfate 5 mg/ml
注射液 Anidulafungin 0.5 mg/ml
葡萄糖5% 1982
立即沉澱 不相容
注射液 Tobramycin sulfate 21 mg/ml
注射液 Azithromycine 2 mg/ml
NaCl 0,9% 1800
兼容
注射液 Tobramycin sulfate 0.2 & 0.8 mg/ml
注射液 Aztreonam 10 & 20 mg/ml
葡萄糖5% 19
兼容
注射液 Tobramycin sulfate 0.2 & 0.8 mg/ml
注射液 Aztreonam 10 & 20 mg/ml
NaCl 0,9% 19
兼容
注射液 Tobramycin sulfate 5 mg/ml
注射液 Aztreonam 40 mg/ml
葡萄糖5% 99
兼容
注射液 Tobramycin sulfate 5 mg/ml
注射液 Bivalirudin 5 mg/ml
葡萄糖5% 1713
兼容
注射液 Tobramycin sulfate 40 mg/ml
注射液 Caffeine 10 mg/ml
无 3964
不相容
注射液 Tobramycin sulfate
注射液 Calcium gluconate
4964
未指定的不兼容性 不相容
注射液 Tobramycin sulfate
注射液 Calcium gluconate
3644
兼容
注射液 Tobramycin sulfate 1 mg/ml
注射液 Calcium gluconate 33 mg/ml
葡萄糖5% 503
兼容
注射液 Tobramycin sulfate 5 mg/ml
注射液 Calcium gluconate 16 mg/ml
葡萄糖5% 503
兼容
注射液 Tobramycin sulfate 5 mg/ml
注射液 Caspofungin acetate 0,7 mg/ml
NaCl 0,9% 2247
立即沉澱 不相容
注射液 Tobramycin sulfate
注射液 Cefamandole nafate 2 >> 100 mg/ml
NaCl 0,9% 612
立即沉澱 不相容
注射液 Tobramycin sulfate
注射液 Cefamandole nafate 2 >> 100 mg/ml
葡萄糖5% 612
未指定的不兼容性 不相容
注射液 Tobramycin sulfate
注射液 Cefamandole nafate
3546
兼容
注射液 Tobramycin sulfate 6 mg/ml
注射液 Cefepime dihydrochloride 125 mg/ml
注射用水 2141
未指定的不兼容性 不相容
注射液 Tobramycin sulfate
注射液 Cefepime dihydrochloride
3548
立即沉澱 不相容
注射液 Tobramycin sulfate 10 mg/ml
注射液 Cefiderocol sulfate tosylate 20 mg/mL
葡萄糖5% 4528
立即沉澱 不相容
注射液 Tobramycin sulfate 10 mg/ml
注射液 Cefiderocol sulfate tosylate 20 mg/mL
NaCl 0,9% 4528
立即沉澱 不相容
注射液 Tobramycin sulfate 0.8 mg/ml
注射液 Cefoperazone sodium 10 & 40 mg/ml
葡萄糖5% 1206
未指定的不兼容性 不相容
注射液 Tobramycin sulfate
注射液 Cefoperazone sodium
3544
未指定的不兼容性 不相容
注射液 Tobramycin sulfate
注射液 Cefpirome sulfate
3677
兼容
注射液 Tobramycin sulfate 5 mg/ml
注射液 Ceftaroline fosamil 2,22 mg/ml
NaCl 0,9% 3249
兼容
注射液 Tobramycin sulfate 5 mg/ml
注射液 Ceftaroline fosamil 2,22 mg/ml
葡萄糖5% 3249
兼容
注射液 Tobramycin sulfate 5 mg/ml
注射液 Ceftaroline fosamil 2,22 mg/ml
Ringer乳酸溶液 3249
兼容
注射液 Tobramycin sulfate 6 mg/ml
注射液 Ceftazidime 83.3 mg/ml
1759
未指定的不兼容性 不相容
注射液 Tobramycin sulfate
注射液 Ceftazidime
3543
兼容
注射液 Tobramycin sulfate 0.008 mg/ml
注射液 Ceftazidime 0.125 mg/ml
Dianéal® PD2 2.5% 葡萄糖 (Baxter) 2369
未指定的不兼容性 不相容
注射液 Tobramycin sulfate
注射液 Ceftazidime
3883
兼容
注射液 Tobramycin sulfate 6 mg/ml
注射液 Ceftazidime 125 mg/ml
注射用水 2141
立即沉澱 不相容
注射液 Tobramycin sulfate 5 mg/ml
注射液 Ceftobiprole medocaril sodium 2 mg/ml
Ringer乳酸溶液 2269
未指定的不兼容性 不相容
注射液 Tobramycin sulfate
注射液 Ceftobiprole medocaril sodium
4650
立即沉澱 不相容
注射液 Tobramycin sulfate 5 mg/ml
注射液 Ceftobiprole medocaril sodium 2 mg/ml
葡萄糖5% 2269
立即沉澱 不相容
注射液 Tobramycin sulfate 5 mg/ml
注射液 Ceftobiprole medocaril sodium 2 mg/ml
NaCl 0,9% 2269
兼容
注射液 Tobramycin sulfate 5 mg/ml
注射液 Ceftolozane / tazobactam 10/5 mg/ml
葡萄糖5% 3828
兼容
注射液 Tobramycin sulfate 5 mg/ml
注射液 Ceftolozane / tazobactam 10/5 mg/ml
NaCl 0,9% 3828
未指定的不兼容性 不相容
注射液 Tobramycin sulfate
注射液 Ceftriaxone disodium
3523
未指定的不兼容性 不相容
注射液 Tobramycin sulfate
注射液 Cefuroxime sodium
3687
兼容
注射液 Tobramycin sulfate 1.6 mg/ml
注射液 Ciprofloxacin lactate 2 mg/ml
葡萄糖5% 285
兼容
注射液 Tobramycin sulfate 1 mg/ml
注射液 Ciprofloxacin lactate 1.5 mg/ml
葡萄糖5% 434
兼容
注射液 Tobramycin sulfate 1 mg/ml
注射液 Ciprofloxacin lactate 1.5 mg/ml
NaCl 0,9% 434
兼容
注射液 Tobramycin sulfate 1,6 mg/ml
注射液 Ciprofloxacin lactate 1 mg/ml
葡萄糖5% 500
兼容
注射液 Tobramycin sulfate 1,6 mg/ml
注射液 Ciprofloxacin lactate 1 mg/ml
NaCl 0,9% 500
兼容
注射液 Tobramycin sulfate 5 mg/ml
注射液 Cisatracurium besylate 0.1 >> 5 mg/ml
葡萄糖5% 299
化學不穩定性 不相容
注射液 Tobramycin sulfate
注射液 Cisplatin
3578
兼容
注射液 Tobramycin sulfate
注射液 Clindamycin phosphate
葡萄糖5% 3526
兼容
注射液 Tobramycin sulfate
注射液 Clindamycin phosphate
NaCl 0,9% 3526
立即沉澱 不相容
注射液 Tobramycin sulfate 12 mg/ml
注射液 Clindamycin phosphate 90 mg/ml
NaCl 0,9% 639
立即沉澱 不相容
注射液 Tobramycin sulfate 40 mg/ml
注射液 Cloxacillin sodium 100 mg/ml
注射用水 3012
立即沉澱 不相容
注射液 Tobramycin sulfate 10 mg/ml
注射液 Defibrotide 8 mg/ml
NaCl 0,9% 3728
兼容
注射液 Tobramycin sulfate 5 mg/ml
注射液 Dexmedetomidine 4 µg/ml
NaCl 0,9% 1712
兼容
注射液 Tobramycin sulfate 2.4 & 40 mg/ml
注射液 Diltiazem hydrochloride 5 mg/ml
NaCl 0,9% 198
兼容
注射液 Tobramycin sulfate
注射液 Dimenhydrinate
2087
兼容
注射液 Tobramycin sulfate 5 mg/ml
注射液 Docetaxel 0.9 mg/ml
葡萄糖5% 1754
兼容
注射液 Tobramycin sulfate 40 mg/ml
肠外营养(含脂肪) 673
兼容
注射液 Tobramycin sulfate 10 mg/ml
肠外营养(二种混合物) 316
兼容
注射液 Tobramycin sulfate 5 mg/ml
肠外营养(含脂肪) 1415
兼容
注射液 Tobramycin sulfate 5 mg/ml
注射液 Doripenem 5 mg/ml
葡萄糖5% 2262
兼容
注射液 Tobramycin sulfate 0,05 mg/ml
肠外营养(二种混合物) 4445
兼容
注射液 Tobramycin sulfate 5 mg/ml
注射液 Doripenem 5 mg/ml
NaCl 0,9% 2262
兼容
注射液 Tobramycin sulfate 5 mg/ml
注射液 Doxorubicin hydrochloride liposome peg 0.4 mg/ml
葡萄糖5% 251
兼容
注射液 Tobramycin sulfate 5 mg/ml
注射液 Eravacycline 0,6 mg/ml
NaCl 0,9% 4434
兼容
注射液 Tobramycin sulfate 5 mg/ml
注射液 Fenoldopam mesylate 80 µg/ml
NaCl 0,9% 1803
兼容
注射液 Tobramycin sulfate 10 mg/ml
注射液 Fentanyl citrate 50 µg/ml
葡萄糖5% 63
兼容
注射液 Tobramycin sulfate 10 & 40 mg/ml
肠外营养(二种混合物) 999
兼容
注射液 Tobramycin sulfate 0.8 mg/ml
注射液 Enalaprilate 0.05 mg/ml
NaCl 0,9% 1315
未指定的不兼容性 不相容
注射液 Tobramycin sulfate
注射液 Erythromycin lactobionate
3674
兼容
注射液 Tobramycin sulfate 0.8 mg/ml
注射液 Esmolol hydrochloride 10 mg/ml
葡萄糖5% 384
兼容
注射液 Tobramycin sulfate 1.6 mg/ml
注射液 Filgrastim 40 µg/ml
葡萄糖5% 104
兼容
注射液 Tobramycin sulfate 5 mg/ml
肠外营养(二种混合物) 301
兼容
注射液 Tobramycin sulfate 5 mg/ml
注射液 Etoposide phosphate 5 mg/ml
葡萄糖5% 1410
兼容
注射液 Tobramycin sulfate 5 mg/ml
注射液 Filgrastim 30 µg/ml
葡萄糖5% 244
兼容
注射液 Tobramycin sulfate 40 mg/ml
Ringer乳酸溶液 4603
立即沉澱 不相容
注射液 Tobramycin sulfate
注射液 Flucloxacillin sodium
3522
7小時後出現沉澱 不相容
注射液 Tobramycin sulfate 8 mg/ml
注射液 Flucloxacillin sodium 20 mg/ml
NaCl 0,9% 1232
兼容
注射液 Tobramycin sulfate 40 mg/ml
注射液 Fluconazole 2 mg/ml
NaCl 0,9% 496
兼容
注射液 Tobramycin sulfate 5 mg/ml
注射液 Fludarabine phosphate 1 mg/ml
葡萄糖5% 492
兼容
注射液 Tobramycin sulfate 40 mg/ml
注射液 Foscarnet sodium 24 mg/ml
无 73
兼容
注射液 Tobramycin sulfate 5 mg/ml
注射液 Fosfomycin 30 mg/ml
葡萄糖5% 4055
7小時後出現沉澱 不相容
注射液 Tobramycin sulfate 8 mg/ml
注射液 Furosemide 1 mg/ml
NaCl 0,9% 1232
立即沉澱 不相容
注射液 Tobramycin sulfate 1,6 mg/ml
注射液 Furosemide 0,8 mg/ml
葡萄糖5% 367
立即沉澱 不相容
注射液 Tobramycin sulfate 1,6 mg/ml
注射液 Furosemide 0,8 mg/ml
NaCl 0,9% 367
未指定的不兼容性 不相容
注射液 Tobramycin sulfate 0.8 mg/ml
注射液 Heparin sodium 50 UI/ml
无 317
未指定的不兼容性 不相容
注射液 Tobramycin sulfate
注射液 Heparin sodium
3540
兼容
注射液 Tobramycin sulfate
葡萄糖5% 5086
兼容
注射液 Tobramycin sulfate 5 mg/ml
注射液 Fosfomycin 30 mg/ml
NaCl 0,9% 4055
兼容
注射液 Tobramycin sulfate 5 mg/ml
注射液 Gemcitabine hydrochloride 10 mg/ml
NaCl 0,9% 1423
兼容
注射液 Tobramycin sulfate 5 mg/ml
注射液 Granisetron hydrochloride 0.05 mg/ml
葡萄糖5% 182
兼容
注射液 Tobramycin sulfate 5 mg/ml
注射液 Hetastarch 60 mg/ml
特定溶液 1721
立即沉澱 不相容
注射液 Tobramycin sulfate 0.8 mg/ml
注射液 Hetastarch 60 mg/ml
NaCl 0,9% 472
兼容
注射液 Tobramycin sulfate 0.8 mg/ml
注射液 Hydromorphone hydrochloride 0.2 mg/ml
葡萄糖5% 405
15分鐘後析出 不相容
注射液 Tobramycin sulfate 1 mg/ml
注射液 Indomethacin sodium trihydrate 0,5 & 1 mg/ml
葡萄糖5% 1745
立即沉澱 不相容
注射液 Tobramycin sulfate 1 mg/ml
注射液 Indomethacin sodium trihydrate 0,5 & 1 mg/ml
葡萄糖5% 494
兼容
注射液 Tobramycin sulfate 1.6 & 2 mg/ml
注射液 Insulin 0.2 UI/ml
NaCl 0,9% 129
兼容
注射液 Tobramycin sulfate 5 mg/ml
注射液 Isavuconazonium sulfate 1.5 mg/ml
葡萄糖5% 3829
兼容
注射液 Tobramycin sulfate 5 mg/ml
注射液 Isavuconazonium sulfate 1.5 mg/ml
NaCl 0,9% 3829
兼容
注射液 Tobramycin sulfate 40 mg/ml
注射液 Ketamine hydrochloride 50 mg/ml
2109
兼容
注射液 Tobramycin sulfate 0.8 mg/ml
注射液 Labetalol hydrochloride 1 mg/ml
葡萄糖5% 386
4小時後變色 不相容
注射液 Tobramycin sulfate 5 mg/ml
注射液 Lansoprazole 0.55 mg/ml
NaCl 0,9% 1625
兼容
注射液 Tobramycin sulfate 5 mg/ml
注射液 Linezolid 2 mg/ml
无 1925
兼容
注射液 Tobramycin sulfate 0,80 mg/ml
注射液 Linezolid 1,80 mg/ml
2353
兼容
注射液 Tobramycin sulfate 0.8 mg/ml
注射液 Magnesium sulfate 16.67 >> 100 mg/ml
葡萄糖5% 1047
兼容
注射液 Tobramycin sulfate 5 mg/ml
注射液 Melphalan 0.1 mg/ml
NaCl 0,9% 169
兼容
注射液 Tobramycin sulfate 40 mg/ml
注射液 Meropenem 50 mg/ml
注射用水 4319
兼容
注射液 Tobramycin sulfate 40 mg/ml
注射液 Meropenem 50 mg/ml
4389
兼容
注射液 Tobramycin sulfate 0.8 mg/ml
注射液 Metronidazole 5 mg/ml
无 1035
兼容
注射液 Tobramycin sulfate
注射液 Metronidazole
3594
兼容
注射液 Tobramycin sulfate 10 mg/ml
注射液 Midazolam hydrochloride 1 mg/ml
葡萄糖5% 176
兼容
注射液 Tobramycin sulfate 1.6 >> 2.4 mg/ml
注射液 Morphine sulfate 1 mg/ml
NaCl 0,9% 406
兼容
注射液 Tobramycin sulfate 0.8 mg/ml
注射液 Morphine sulfate 1 mg/ml
葡萄糖5% 405
兼容
注射液 Tobramycin sulfate 40 mg/ml
注射液 Naloxone hydrochloride 0.4 mg/ml
无 3408
兼容
注射液 Tobramycin sulfate 0.8 mg/ml
注射液 Nicardipine hydrochloride 0.1 mg/ml
NaCl 0,9% 1490
兼容
注射液 Tobramycin sulfate 0.8 mg/ml
注射液 Nicardipine hydrochloride 0.1 mg/ml
葡萄糖5% 1490
兼容
注射液 Tobramycin sulfate 0,8 mg/ml
注射液 Ofloxacin 2 mg/ml
无 889
兼容
注射液 Tobramycin sulfate 5 mg/ml
注射液 Oritavancin 0.8 >>2 mg/ml
葡萄糖5% 3152
立即沉澱 不相容
注射液 Tobramycin sulfate
注射液 Pantoprazole sodium
2090
兼容
注射液 Tobramycin sulfate 40 mg/ml
注射液 Paracetamol 10 mg/ml
4742
立即沉澱 不相容
注射液 Tobramycin sulfate 5 mg/ml
注射液 Pemetrexed disodium 20 mg/ml
NaCl 0,9% 1953
兼容
注射液 Tobramycin sulfate 0.8 mg/ml
注射液 Pethidine hydrochloride 10 mg/ml
葡萄糖5% 405
兼容
注射液 Tobramycin sulfate 1.6 >> 2.4 mg/ml
注射液 Pethidine hydrochloride 10 mg/ml
NaCl 0,9% 406
化學不穩定性 不相容
注射液 Tobramycin sulfate
注射液 Piperacillin sodium
1168
化學不穩定性 不相容
注射液 Tobramycin sulfate
注射液 Piperacillin sodium / tazobactam
3586
乳液立即不穩定 不相容
注射液 Tobramycin sulfate 2 mg/ml
注射液 Propofol
660
立即沉澱 不相容
注射液 Tobramycin sulfate 5 mg/ml
注射液 Propofol 10 mg/ml
无 300
兼容
注射液 Tobramycin sulfate 5 mg/ml
注射液 Remifentanil hydrochloride 25 & 250 µg/ml
NaCl 0,9% 59
立即沉澱 不相容
注射液 Tobramycin sulfate 40 mg/ml
注射液 Salbutamol sulfate 1 mg/ml
无 3216
4小時後出現沉澱 不相容
注射液 Tobramycin sulfate 5 mg/ml
注射液 Sargramostim 10 µg/ml
NaCl 0,9% 335
兼容
注射液 Tobramycin sulfate 2,4 mg/ml
注射液 Sodium bicarbonate 40 mg/ml
无 3122
兼容
注射液 Tobramycin sulfate 5 mg/ml
注射液 Sulbactam/durlobactam 15/15 mg/ml
NaCl 0,9% 4801
兼容
注射液 Tobramycin sulfate 40 mg/ml
注射液 Tacrolimus 1000 µg/ml
NaCl 0,9% 479
立即渾濁 不相容
注射液 Tobramycin sulfate 5 mg/ml
注射液 Tedizolid phosphate 0.8 mg/ml
NaCl 0,9% 3827
未指定的不兼容性 不相容
注射液 Tobramycin sulfate
注射液 Teicoplanine
3656
兼容
注射液 Tobramycin sulfate 5 mg/ml
注射液 Telavancin hydrochloride 7.5 mg/ml
NaCl 0,9% 3254
兼容
注射液 Tobramycin sulfate 5 mg/ml
注射液 Telavancin hydrochloride 7.5 mg/ml
葡萄糖5% 3254
兼容
注射液 Tobramycin sulfate 6 mg/ml
注射液 Temocilline 83.33 mg/ml
注射用水 2231
未指定的不兼容性 不相容
注射液 Tobramycin sulfate
注射液 Temocilline
2296
兼容
注射液 Tobramycin sulfate 5 mg/ml
注射液 Teniposide 0.1 mg/ml
葡萄糖5% 905
兼容
注射液 Tobramycin sulfate 0.8 mg/ml
注射液 Theophylline 4 mg/ml
无 317
立即沉澱 不相容
注射液 Tobramycin sulfate 40 mg/ml
注射液 Thiopental sodium 25 mg/ml
NaCl 0,9% 3767
兼容
注射液 Tobramycin sulfate 5 mg/ml
注射液 Thiotepa 1 mg/ml
葡萄糖5% 249
兼容
注射液 Tobramycin sulfate
NaCl 0,9% 5086
化學不穩定性 不相容
注射液 Tobramycin sulfate
注射液 Ticarcillin / clavulanic acid
3587
兼容
注射液 Tobramycin sulfate
注射液 Tigecycline
NaCl 0,9% 3332
兼容
注射液 Tobramycin sulfate 6 mg/ml
注射液 Vancomycin hydrochloride 10 mg/ml
葡萄糖5% 3385
兼容
注射液 Tobramycin sulfate 0.16 mg/ml
注射液 Verapamil hydrochloride 0.08 mg/ml
NaCl 0,9% 1057
兼容
注射液 Tobramycin sulfate 0.16 mg/ml
注射液 Verapamil hydrochloride 0.08 mg/ml
葡萄糖5% 1057
兼容
注射液 Tobramycin sulfate 5 mg/ml
注射液 Vinorelbine tartrate 1 mg/ml
NaCl 0,9% 84
兼容
注射液 Tobramycin sulfate 2 mg/ml
注射液 Zidovudine 4 mg/ml
葡萄糖5% 337

  Mentions Légales