Cập nhật lần cuối :
17/12/2025
Kháng sinh   Tobramycin sulfate   
Thuốc nhỏ mắt
Dạng tiêm Dung dịch uống Khí dung
Tính ổn định của các chế phẩm Độ ổn định khi trộn lẫn Những yếu tố ảnh hưởng đến độ ổn định Khả năng tương thích Tài liệu tham khảo Pdf
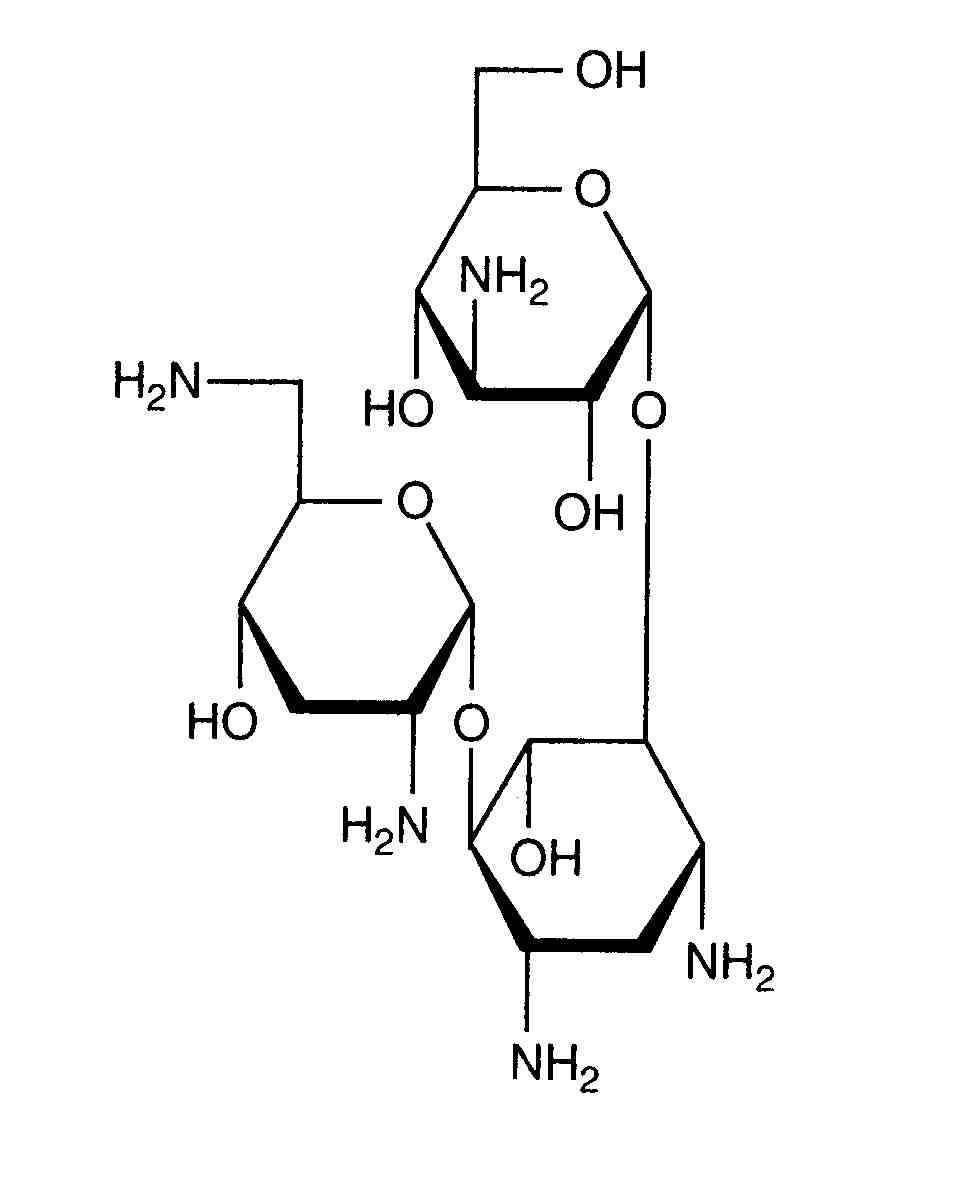
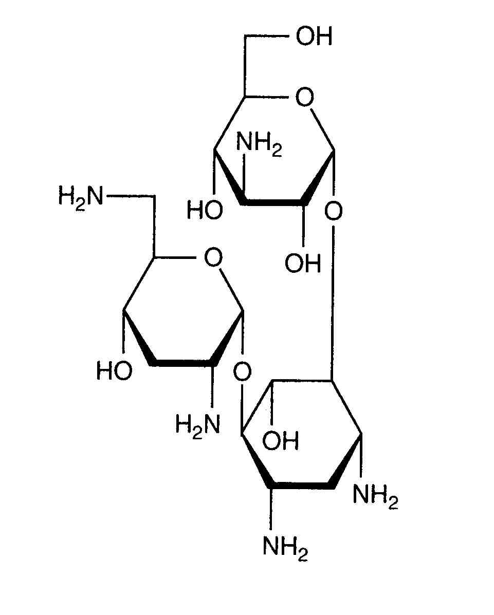
   Cấu trúc hóa học  

Thuốc nhỏ mắt
Tính ổn định của các chế phẩm   Thuốc nhỏ mắt   Tính ổn định của các chế phẩm : Tobramycin sulfate      
Bao bì Nguyên bản Tá dược Nhiệt độ Bảo quản Thời gian ổn định Mục lục
Lọ nhựa Lọ thuốc tiêm 5 ml
Nebcin® 40 mg/ml
Thuốc nhỏ mắt Tobrex® 3 mg/ml 2 ml
4-8°C Tránh ánh sáng
90 Ngày
2487


  Mentions Légales