zadnja posodobitev :
18/03/2026
Antibiotik   Tobramycin sulfate  
Brizgalka
Aerosol Kapljice za oči Peroralna raztopina
Stabilnost raztopine Stabilnost mešanice Faktorji, ki vplivajo na stabilnost Kompatibilnost način aplikacije Viri pdf
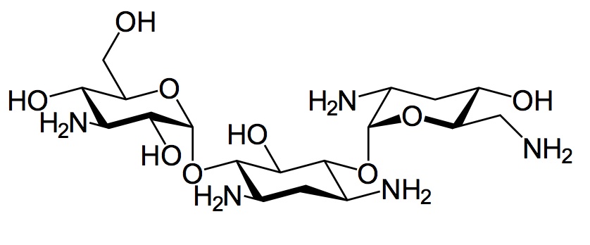
   Kemična formula  

Lastniško ime   Lastniško ime     

Sestava pomožnih snovi je med paralelami lahko različna

Bactob Indija
Beltob Indija
Bramicil Italija
Brulamycin Madžarska, Malezija, Slovenija
Eltol Indija
Fytobra Indija
Gernebcin Nemčija
Komitob Indija
Nebcin Egipt, Grčija, nova Zelandija, Savdska Arabija, Velika Britanija, Združeni arabski emirati
Nebcina Danska, Maroko, Norveška, Švedska
Nebcine Francija, Maroko, Slovenija
Nebicina Italija
Obracin Belgija, Luksemburg, Nizozemska, Švica
Tobracin Brazilija, Egipt, Savdska Arabija
Tobramicina Argentina, Brazilija, Čile, Ekvador, Italija, Kolumbija, Portugalska, Španija
Tobramina Brazilija
Tobramycin Avstralija, Irska, Kanada, Nemčija, Norveška, Savdska Arabija, Velika Britanija, Združene države Amerike
Tobramycine Francija, Irska, Nizozemska
Tobrasix Avstrija
Tobrazid Nemčija
Kompatibilnost   Brizgalka   Kompatibilnost : Tobramycin sulfate              
Ta zaslon prikazuje združljivost ali nezdružljivost s, v tem primeru, vrsto nezdružljivosti (padavine, sprememba barve, sprememba emulzije itd.). Tu prikazane združljivosti so večinoma samo fizične, pri čemer se kemijska stabilnost vsake molekule redko ocenjuje. Vrednotenje teh zmesi so preučevali, da bi preučili možnost pacientovega dajanja na mestu Y. Teh podatkov ni mogoče uporabiti za pripravo mešanic v vrečkah ali brizgah. Ta vrsta informacij je na voljo na zaslonu "Obstojnost v mešanici".
Sestava Topilo Viri
Združljivo
Brizgalka Tobramycin sulfate 1.6 mg/ml
Brizgalka Aciclovir sodium 5 mg/ml
Glukoza 5% 336
Padavine po 1 uri Nezdružljivo
Brizgalka Tobramycin sulfate 5 mg/ml
Brizgalka Allopurinol sodium 3 mg/ml
Natrijev klorid 0,9% 307
Združljivo
Brizgalka Tobramycin sulfate 1 mg/ml
Brizgalka Alprostadil 15 µg/ml
3201
Združljivo
Brizgalka Tobramycin sulfate 5 mg/ml
Brizgalka Amifostine 10 mg/ml
Glukoza 5% 3
Združljivo
Brizgalka Tobramycin sulfate 5 mg/ml
Brizgalka Amiodarone hydrochloride 6 mg/ml
Glukoza 5% 1611
Združljivo
Brizgalka Tobramycin sulfate 0.8 mg/ml
Brizgalka Amiodarone hydrochloride 4 mg/ml
Natrijev klorid 0,9% 385
Združljivo
Brizgalka Tobramycin sulfate 0.8 mg/ml
Brizgalka Amiodarone hydrochloride 4 mg/ml
Glukoza 5% 385
Kemijska nestabilnost Nezdružljivo
Brizgalka Tobramycin sulfate
Brizgalka Amoxicillin sodium
3527
Nedoločena nezdružljivost Nezdružljivo
Brizgalka Tobramycin sulfate
Brizgalka Amoxicillin sodium / clavulanic acid
3545
Združljivo
Brizgalka Tobramycin sulfate 40 mg/ml
Brizgalka Amoxicillin sodium / clavulanic acid 100/10 mg/ml
3824
Takoj padavine Nezdružljivo
Brizgalka Tobramycin sulfate 5 mg/ml
Brizgalka Amphotericin B cholesteryl sulfate complex 0.83 mg/ml
Glukoza 5% 921
Združljivo
Brizgalka Tobramycin sulfate 5 mg/ml
Brizgalka Amsacrine 1 mg/ml
Glukoza 5% 253
Združljivo
Brizgalka Tobramycin sulfate 5 mg/ml
Brizgalka Anidulafungin 0.5 mg/ml
Glukoza 5% 1982
Takoj padavine Nezdružljivo
Brizgalka Tobramycin sulfate 21 mg/ml
Brizgalka Azithromycine 2 mg/ml
Natrijev klorid 0,9% 1800
Združljivo
Brizgalka Tobramycin sulfate 0.2 & 0.8 mg/ml
Brizgalka Aztreonam 10 & 20 mg/ml
Glukoza 5% 19
Združljivo
Brizgalka Tobramycin sulfate 0.2 & 0.8 mg/ml
Brizgalka Aztreonam 10 & 20 mg/ml
Natrijev klorid 0,9% 19
Združljivo
Brizgalka Tobramycin sulfate 5 mg/ml
Brizgalka Aztreonam 40 mg/ml
Glukoza 5% 99
Združljivo
Brizgalka Tobramycin sulfate 5 mg/ml
Brizgalka Bivalirudin 5 mg/ml
Glukoza 5% 1713
Združljivo
Brizgalka Tobramycin sulfate 40 mg/ml
Brizgalka Caffeine 10 mg/ml
Nobeden 3964
Nezdružljivo
Brizgalka Tobramycin sulfate
Brizgalka Calcium gluconate
4964
Nedoločena nezdružljivost Nezdružljivo
Brizgalka Tobramycin sulfate
Brizgalka Calcium gluconate
3644
Združljivo
Brizgalka Tobramycin sulfate 1 mg/ml
Brizgalka Calcium gluconate 33 mg/ml
Glukoza 5% 503
Združljivo
Brizgalka Tobramycin sulfate 5 mg/ml
Brizgalka Calcium gluconate 16 mg/ml
Glukoza 5% 503
Združljivo
Brizgalka Tobramycin sulfate 5 mg/ml
Brizgalka Caspofungin acetate 0,7 mg/ml
Natrijev klorid 0,9% 2247
Takoj padavine Nezdružljivo
Brizgalka Tobramycin sulfate
Brizgalka Cefamandole nafate 2 >> 100 mg/ml
Natrijev klorid 0,9% 612
Takoj padavine Nezdružljivo
Brizgalka Tobramycin sulfate
Brizgalka Cefamandole nafate 2 >> 100 mg/ml
Glukoza 5% 612
Nedoločena nezdružljivost Nezdružljivo
Brizgalka Tobramycin sulfate
Brizgalka Cefamandole nafate
3546
Združljivo
Brizgalka Tobramycin sulfate 6 mg/ml
Brizgalka Cefepime dihydrochloride 125 mg/ml
Voda za injekcije 2141
Nedoločena nezdružljivost Nezdružljivo
Brizgalka Tobramycin sulfate
Brizgalka Cefepime dihydrochloride
3548
Takoj padavine Nezdružljivo
Brizgalka Tobramycin sulfate 10 mg/ml
Brizgalka Cefiderocol sulfate tosylate 20 mg/mL
Glukoza 5% 4528
Takoj padavine Nezdružljivo
Brizgalka Tobramycin sulfate 10 mg/ml
Brizgalka Cefiderocol sulfate tosylate 20 mg/mL
Natrijev klorid 0,9% 4528
Takoj padavine Nezdružljivo
Brizgalka Tobramycin sulfate 0.8 mg/ml
Brizgalka Cefoperazone sodium 10 & 40 mg/ml
Glukoza 5% 1206
Nedoločena nezdružljivost Nezdružljivo
Brizgalka Tobramycin sulfate
Brizgalka Cefoperazone sodium
3544
Nedoločena nezdružljivost Nezdružljivo
Brizgalka Tobramycin sulfate
Brizgalka Cefpirome sulfate
3677
Združljivo
Brizgalka Tobramycin sulfate 5 mg/ml
Brizgalka Ceftaroline fosamil 2,22 mg/ml
Natrijev klorid 0,9% 3249
Združljivo
Brizgalka Tobramycin sulfate 5 mg/ml
Brizgalka Ceftaroline fosamil 2,22 mg/ml
Glukoza 5% 3249
Združljivo
Brizgalka Tobramycin sulfate 5 mg/ml
Brizgalka Ceftaroline fosamil 2,22 mg/ml
Ringerjev laktat 3249
Združljivo
Brizgalka Tobramycin sulfate 6 mg/ml
Brizgalka Ceftazidime 83.3 mg/ml
1759
Nedoločena nezdružljivost Nezdružljivo
Brizgalka Tobramycin sulfate
Brizgalka Ceftazidime
3543
Združljivo
Brizgalka Tobramycin sulfate 0.008 mg/ml
Brizgalka Ceftazidime 0.125 mg/ml
Dianéal® PD2 2.5% glucose (Baxter) 2369
Nedoločena nezdružljivost Nezdružljivo
Brizgalka Tobramycin sulfate
Brizgalka Ceftazidime
3883
Združljivo
Brizgalka Tobramycin sulfate 6 mg/ml
Brizgalka Ceftazidime 125 mg/ml
Voda za injekcije 2141
Takoj padavine Nezdružljivo
Brizgalka Tobramycin sulfate 5 mg/ml
Brizgalka Ceftobiprole medocaril sodium 2 mg/ml
Ringerjev laktat 2269
Nedoločena nezdružljivost Nezdružljivo
Brizgalka Tobramycin sulfate
Brizgalka Ceftobiprole medocaril sodium
4650
Takoj padavine Nezdružljivo
Brizgalka Tobramycin sulfate 5 mg/ml
Brizgalka Ceftobiprole medocaril sodium 2 mg/ml
Glukoza 5% 2269
Takoj padavine Nezdružljivo
Brizgalka Tobramycin sulfate 5 mg/ml
Brizgalka Ceftobiprole medocaril sodium 2 mg/ml
Natrijev klorid 0,9% 2269
Združljivo
Brizgalka Tobramycin sulfate 5 mg/ml
Brizgalka Ceftolozane / tazobactam 10/5 mg/ml
Glukoza 5% 3828
Združljivo
Brizgalka Tobramycin sulfate 5 mg/ml
Brizgalka Ceftolozane / tazobactam 10/5 mg/ml
Natrijev klorid 0,9% 3828
Nedoločena nezdružljivost Nezdružljivo
Brizgalka Tobramycin sulfate
Brizgalka Ceftriaxone disodium
3523
Nedoločena nezdružljivost Nezdružljivo
Brizgalka Tobramycin sulfate
Brizgalka Cefuroxime sodium
3687
Združljivo
Brizgalka Tobramycin sulfate 1.6 mg/ml
Brizgalka Ciprofloxacin lactate 2 mg/ml
Glukoza 5% 285
Združljivo
Brizgalka Tobramycin sulfate 1 mg/ml
Brizgalka Ciprofloxacin lactate 1.5 mg/ml
Glukoza 5% 434
Združljivo
Brizgalka Tobramycin sulfate 1 mg/ml
Brizgalka Ciprofloxacin lactate 1.5 mg/ml
Natrijev klorid 0,9% 434
Združljivo
Brizgalka Tobramycin sulfate 1,6 mg/ml
Brizgalka Ciprofloxacin lactate 1 mg/ml
Glukoza 5% 500
Združljivo
Brizgalka Tobramycin sulfate 1,6 mg/ml
Brizgalka Ciprofloxacin lactate 1 mg/ml
Natrijev klorid 0,9% 500
Združljivo
Brizgalka Tobramycin sulfate 5 mg/ml
Brizgalka Cisatracurium besylate 0.1 >> 5 mg/ml
Glukoza 5% 299
Kemijska nestabilnost Nezdružljivo
Brizgalka Tobramycin sulfate
Brizgalka Cisplatin
3578
Združljivo
Brizgalka Tobramycin sulfate
Brizgalka Clindamycin phosphate
Glukoza 5% 3526
Združljivo
Brizgalka Tobramycin sulfate
Brizgalka Clindamycin phosphate
Natrijev klorid 0,9% 3526
Takoj padavine Nezdružljivo
Brizgalka Tobramycin sulfate 12 mg/ml
Brizgalka Clindamycin phosphate 90 mg/ml
Natrijev klorid 0,9% 639
Takoj padavine Nezdružljivo
Brizgalka Tobramycin sulfate 40 mg/ml
Brizgalka Cloxacillin sodium 100 mg/ml
Voda za injekcije 3012
Takoj padavine Nezdružljivo
Brizgalka Tobramycin sulfate 10 mg/ml
Brizgalka Defibrotide 8 mg/ml
Natrijev klorid 0,9% 3728
Združljivo
Brizgalka Tobramycin sulfate 5 mg/ml
Brizgalka Dexmedetomidine 4 µg/ml
Natrijev klorid 0,9% 1712
Združljivo
Brizgalka Tobramycin sulfate 2.4 & 40 mg/ml
Brizgalka Diltiazem hydrochloride 5 mg/ml
Natrijev klorid 0,9% 198
Združljivo
Brizgalka Tobramycin sulfate
Brizgalka Dimenhydrinate
2087
Združljivo
Brizgalka Tobramycin sulfate 5 mg/ml
Brizgalka Docetaxel 0.9 mg/ml
Glukoza 5% 1754
Združljivo
Brizgalka Tobramycin sulfate 40 mg/ml
Parenteralna prehrana (z lipidi) 673
Združljivo
Brizgalka Tobramycin sulfate 10 mg/ml
Parenteralna prehrana (binarno zmes) 316
Združljivo
Brizgalka Tobramycin sulfate 5 mg/ml
Parenteralna prehrana (z lipidi) 1415
Združljivo
Brizgalka Tobramycin sulfate 5 mg/ml
Brizgalka Doripenem 5 mg/ml
Glukoza 5% 2262
Združljivo
Brizgalka Tobramycin sulfate 0,05 mg/ml
Parenteralna prehrana (binarno zmes) 4445
Združljivo
Brizgalka Tobramycin sulfate 5 mg/ml
Brizgalka Doripenem 5 mg/ml
Natrijev klorid 0,9% 2262
Združljivo
Brizgalka Tobramycin sulfate 5 mg/ml
Brizgalka Doxorubicin hydrochloride liposome peg 0.4 mg/ml
Glukoza 5% 251
Združljivo
Brizgalka Tobramycin sulfate 5 mg/ml
Brizgalka Eravacycline 0,6 mg/ml
Natrijev klorid 0,9% 4434
Združljivo
Brizgalka Tobramycin sulfate 5 mg/ml
Brizgalka Fenoldopam mesylate 80 µg/ml
Natrijev klorid 0,9% 1803
Združljivo
Brizgalka Tobramycin sulfate 10 mg/ml
Brizgalka Fentanyl citrate 50 µg/ml
Glukoza 5% 63
Združljivo
Brizgalka Tobramycin sulfate 10 & 40 mg/ml
Parenteralna prehrana (binarno zmes) 999
Združljivo
Brizgalka Tobramycin sulfate 0.8 mg/ml
Brizgalka Enalaprilate 0.05 mg/ml
Natrijev klorid 0,9% 1315
Nedoločena nezdružljivost Nezdružljivo
Brizgalka Tobramycin sulfate
Brizgalka Erythromycin lactobionate
3674
Združljivo
Brizgalka Tobramycin sulfate 0.8 mg/ml
Brizgalka Esmolol hydrochloride 10 mg/ml
Glukoza 5% 384
Združljivo
Brizgalka Tobramycin sulfate 1.6 mg/ml
Brizgalka Filgrastim 40 µg/ml
Glukoza 5% 104
Združljivo
Brizgalka Tobramycin sulfate 5 mg/ml
Parenteralna prehrana (binarno zmes) 301
Združljivo
Brizgalka Tobramycin sulfate 5 mg/ml
Brizgalka Etoposide phosphate 5 mg/ml
Glukoza 5% 1410
Združljivo
Brizgalka Tobramycin sulfate 5 mg/ml
Brizgalka Filgrastim 30 µg/ml
Glukoza 5% 244
Združljivo
Brizgalka Tobramycin sulfate 40 mg/ml
Ringerjev laktat 4603
Takoj padavine Nezdružljivo
Brizgalka Tobramycin sulfate
Brizgalka Flucloxacillin sodium
3522
Padavine po 7 urah Nezdružljivo
Brizgalka Tobramycin sulfate 8 mg/ml
Brizgalka Flucloxacillin sodium 20 mg/ml
Natrijev klorid 0,9% 1232
Združljivo
Brizgalka Tobramycin sulfate 40 mg/ml
Brizgalka Fluconazole 2 mg/ml
Natrijev klorid 0,9% 496
Združljivo
Brizgalka Tobramycin sulfate 5 mg/ml
Brizgalka Fludarabine phosphate 1 mg/ml
Glukoza 5% 492
Združljivo
Brizgalka Tobramycin sulfate 40 mg/ml
Brizgalka Foscarnet sodium 24 mg/ml
Nobeden 73
Združljivo
Brizgalka Tobramycin sulfate 5 mg/ml
Brizgalka Fosfomycin 30 mg/ml
Glukoza 5% 4055
Padavine po 7 urah Nezdružljivo
Brizgalka Tobramycin sulfate 8 mg/ml
Brizgalka Furosemide 1 mg/ml
Natrijev klorid 0,9% 1232
Takoj padavine Nezdružljivo
Brizgalka Tobramycin sulfate 1,6 mg/ml
Brizgalka Furosemide 0,8 mg/ml
Glukoza 5% 367
Takoj padavine Nezdružljivo
Brizgalka Tobramycin sulfate 1,6 mg/ml
Brizgalka Furosemide 0,8 mg/ml
Natrijev klorid 0,9% 367
Nedoločena nezdružljivost Nezdružljivo
Brizgalka Tobramycin sulfate 0.8 mg/ml
Brizgalka Heparin sodium 50 UI/ml
Nobeden 317
Nedoločena nezdružljivost Nezdružljivo
Brizgalka Tobramycin sulfate
Brizgalka Heparin sodium
3540
Združljivo
Brizgalka Tobramycin sulfate
Glukoza 5% 5086
Združljivo
Brizgalka Tobramycin sulfate 5 mg/ml
Brizgalka Fosfomycin 30 mg/ml
Natrijev klorid 0,9% 4055
Združljivo
Brizgalka Tobramycin sulfate 5 mg/ml
Brizgalka Gemcitabine hydrochloride 10 mg/ml
Natrijev klorid 0,9% 1423
Združljivo
Brizgalka Tobramycin sulfate 5 mg/ml
Brizgalka Granisetron hydrochloride 0.05 mg/ml
Glukoza 5% 182
Združljivo
Brizgalka Tobramycin sulfate 5 mg/ml
Brizgalka Hetastarch 60 mg/ml
Posebni topila 1721
Takoj padavine Nezdružljivo
Brizgalka Tobramycin sulfate 0.8 mg/ml
Brizgalka Hetastarch 60 mg/ml
Natrijev klorid 0,9% 472
Združljivo
Brizgalka Tobramycin sulfate 0.8 mg/ml
Brizgalka Hydromorphone hydrochloride 0.2 mg/ml
Glukoza 5% 405
Padavine po 15 urah Nezdružljivo
Brizgalka Tobramycin sulfate 1 mg/ml
Brizgalka Indomethacin sodium trihydrate 0,5 & 1 mg/ml
Glukoza 5% 1745
Takoj padavine Nezdružljivo
Brizgalka Tobramycin sulfate 1 mg/ml
Brizgalka Indomethacin sodium trihydrate 0,5 & 1 mg/ml
Glukoza 5% 494
Združljivo
Brizgalka Tobramycin sulfate 1.6 & 2 mg/ml
Brizgalka Insulin 0.2 UI/ml
Natrijev klorid 0,9% 129
Združljivo
Brizgalka Tobramycin sulfate 5 mg/ml
Brizgalka Isavuconazonium sulfate 1.5 mg/ml
Glukoza 5% 3829
Združljivo
Brizgalka Tobramycin sulfate 5 mg/ml
Brizgalka Isavuconazonium sulfate 1.5 mg/ml
Natrijev klorid 0,9% 3829
Združljivo
Brizgalka Tobramycin sulfate 40 mg/ml
Brizgalka Ketamine hydrochloride 50 mg/ml
2109
Združljivo
Brizgalka Tobramycin sulfate 0.8 mg/ml
Brizgalka Labetalol hydrochloride 1 mg/ml
Glukoza 5% 386
Sprememba barve po 4 urah Nezdružljivo
Brizgalka Tobramycin sulfate 5 mg/ml
Brizgalka Lansoprazole 0.55 mg/ml
Natrijev klorid 0,9% 1625
Združljivo
Brizgalka Tobramycin sulfate 5 mg/ml
Brizgalka Linezolid 2 mg/ml
Nobeden 1925
Združljivo
Brizgalka Tobramycin sulfate 0,80 mg/ml
Brizgalka Linezolid 1,80 mg/ml
2353
Združljivo
Brizgalka Tobramycin sulfate 0.8 mg/ml
Brizgalka Magnesium sulfate 16.67 >> 100 mg/ml
Glukoza 5% 1047
Združljivo
Brizgalka Tobramycin sulfate 5 mg/ml
Brizgalka Melphalan 0.1 mg/ml
Natrijev klorid 0,9% 169
Združljivo
Brizgalka Tobramycin sulfate 40 mg/ml
Brizgalka Meropenem 50 mg/ml
Voda za injekcije 4319
Združljivo
Brizgalka Tobramycin sulfate 40 mg/ml
Brizgalka Meropenem 50 mg/ml
4389
Združljivo
Brizgalka Tobramycin sulfate 0.8 mg/ml
Brizgalka Metronidazole 5 mg/ml
Nobeden 1035
Združljivo
Brizgalka Tobramycin sulfate
Brizgalka Metronidazole
3594
Združljivo
Brizgalka Tobramycin sulfate 10 mg/ml
Brizgalka Midazolam hydrochloride 1 mg/ml
Glukoza 5% 176
Združljivo
Brizgalka Tobramycin sulfate 1.6 >> 2.4 mg/ml
Brizgalka Morphine sulfate 1 mg/ml
Natrijev klorid 0,9% 406
Združljivo
Brizgalka Tobramycin sulfate 0.8 mg/ml
Brizgalka Morphine sulfate 1 mg/ml
Glukoza 5% 405
Združljivo
Brizgalka Tobramycin sulfate 40 mg/ml
Brizgalka Naloxone hydrochloride 0.4 mg/ml
Nobeden 3408
Združljivo
Brizgalka Tobramycin sulfate 0.8 mg/ml
Brizgalka Nicardipine hydrochloride 0.1 mg/ml
Natrijev klorid 0,9% 1490
Združljivo
Brizgalka Tobramycin sulfate 0.8 mg/ml
Brizgalka Nicardipine hydrochloride 0.1 mg/ml
Glukoza 5% 1490
Združljivo
Brizgalka Tobramycin sulfate 0,8 mg/ml
Brizgalka Ofloxacin 2 mg/ml
Nobeden 889
Združljivo
Brizgalka Tobramycin sulfate 5 mg/ml
Brizgalka Oritavancin 0.8 >>2 mg/ml
Glukoza 5% 3152
Takoj padavine Nezdružljivo
Brizgalka Tobramycin sulfate
Brizgalka Pantoprazole sodium
2090
Združljivo
Brizgalka Tobramycin sulfate 40 mg/ml
Brizgalka Paracetamol 10 mg/ml
4742
Takoj padavine Nezdružljivo
Brizgalka Tobramycin sulfate 5 mg/ml
Brizgalka Pemetrexed disodium 20 mg/ml
Natrijev klorid 0,9% 1953
Združljivo
Brizgalka Tobramycin sulfate 0.8 mg/ml
Brizgalka Pethidine hydrochloride 10 mg/ml
Glukoza 5% 405
Združljivo
Brizgalka Tobramycin sulfate 1.6 >> 2.4 mg/ml
Brizgalka Pethidine hydrochloride 10 mg/ml
Natrijev klorid 0,9% 406
Kemijska nestabilnost Nezdružljivo
Brizgalka Tobramycin sulfate
Brizgalka Piperacillin sodium
1168
Kemijska nestabilnost Nezdružljivo
Brizgalka Tobramycin sulfate
Brizgalka Piperacillin sodium / tazobactam
3586
Takojšnja nestabilnost emulzije Nezdružljivo
Brizgalka Tobramycin sulfate 2 mg/ml
Brizgalka Propofol
660
Takoj padavine Nezdružljivo
Brizgalka Tobramycin sulfate 5 mg/ml
Brizgalka Propofol 10 mg/ml
Nobeden 300
Združljivo
Brizgalka Tobramycin sulfate 5 mg/ml
Brizgalka Remifentanil hydrochloride 25 & 250 µg/ml
Natrijev klorid 0,9% 59
Takoj padavine Nezdružljivo
Brizgalka Tobramycin sulfate 40 mg/ml
Brizgalka Salbutamol sulfate 1 mg/ml
Nobeden 3216
Padavine po 4 urah Nezdružljivo
Brizgalka Tobramycin sulfate 5 mg/ml
Brizgalka Sargramostim 10 µg/ml
Natrijev klorid 0,9% 335
Združljivo
Brizgalka Tobramycin sulfate 2,4 mg/ml
Brizgalka Sodium bicarbonate 40 mg/ml
Nobeden 3122
Združljivo
Brizgalka Tobramycin sulfate 5 mg/ml
Brizgalka Sulbactam/durlobactam 15/15 mg/ml
Natrijev klorid 0,9% 4801
Združljivo
Brizgalka Tobramycin sulfate 40 mg/ml
Brizgalka Tacrolimus 1000 µg/ml
Natrijev klorid 0,9% 479
Takojšnja motnost Nezdružljivo
Brizgalka Tobramycin sulfate 5 mg/ml
Brizgalka Tedizolid phosphate 0.8 mg/ml
Natrijev klorid 0,9% 3827
Nedoločena nezdružljivost Nezdružljivo
Brizgalka Tobramycin sulfate
Brizgalka Teicoplanine
3656
Združljivo
Brizgalka Tobramycin sulfate 5 mg/ml
Brizgalka Telavancin hydrochloride 7.5 mg/ml
Natrijev klorid 0,9% 3254
Združljivo
Brizgalka Tobramycin sulfate 5 mg/ml
Brizgalka Telavancin hydrochloride 7.5 mg/ml
Glukoza 5% 3254
Združljivo
Brizgalka Tobramycin sulfate 6 mg/ml
Brizgalka Temocilline 83.33 mg/ml
Voda za injekcije 2231
Nedoločena nezdružljivost Nezdružljivo
Brizgalka Tobramycin sulfate
Brizgalka Temocilline
2296
Združljivo
Brizgalka Tobramycin sulfate 5 mg/ml
Brizgalka Teniposide 0.1 mg/ml
Glukoza 5% 905
Združljivo
Brizgalka Tobramycin sulfate 0.8 mg/ml
Brizgalka Theophylline 4 mg/ml
Nobeden 317
Takoj padavine Nezdružljivo
Brizgalka Tobramycin sulfate 40 mg/ml
Brizgalka Thiopental sodium 25 mg/ml
Natrijev klorid 0,9% 3767
Združljivo
Brizgalka Tobramycin sulfate 5 mg/ml
Brizgalka Thiotepa 1 mg/ml
Glukoza 5% 249
Združljivo
Brizgalka Tobramycin sulfate
Natrijev klorid 0,9% 5086
Kemijska nestabilnost Nezdružljivo
Brizgalka Tobramycin sulfate
Brizgalka Ticarcillin / clavulanic acid
3587
Združljivo
Brizgalka Tobramycin sulfate
Brizgalka Tigecycline
Natrijev klorid 0,9% 3332
Združljivo
Brizgalka Tobramycin sulfate 6 mg/ml
Brizgalka Vancomycin hydrochloride 10 mg/ml
Glukoza 5% 3385
Združljivo
Brizgalka Tobramycin sulfate 0.16 mg/ml
Brizgalka Verapamil hydrochloride 0.08 mg/ml
Natrijev klorid 0,9% 1057
Združljivo
Brizgalka Tobramycin sulfate 0.16 mg/ml
Brizgalka Verapamil hydrochloride 0.08 mg/ml
Glukoza 5% 1057
Združljivo
Brizgalka Tobramycin sulfate 5 mg/ml
Brizgalka Vinorelbine tartrate 1 mg/ml
Natrijev klorid 0,9% 84
Združljivo
Brizgalka Tobramycin sulfate 2 mg/ml
Brizgalka Zidovudine 4 mg/ml
Glukoza 5% 337

  Mentions Légales