Siste oppdatering :
18/03/2026
Antibiotika   Tobramycin sulfate  
Injeksjon
Aerosol Mikstur Øyedråper
Oppløsningsstabilitet Stabilitet i blandinger Faktorer som påvirker stabiliteten Kompatibilitet Administrasjonsmåte Referanser pdf
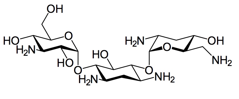
   Kjemisk struktur  

Handelsnavn   Handelsnavn     

Handelsnavn er veiledende og sammensetning av hjelpestoffer kan være forskjellig avhengig av land og produsent

Bactob India
Beltob India
Bramicil Italia
Brulamycin Malaysia, Slovenia, Ungarn
Eltol India
Fytobra India
Gernebcin Tyskland
Komitob India
Nebcin De forente arabiske emirater, Egypt, Hellas, New Zealand, Saudi-Arabia, Storbritannia
Nebcina Danmark, Marokko, Norge, Sverige
Nebcine Frankrike, Marokko, Slovenia
Nebicina Italia
Obracin Belgia, Luxembourg, Nederland, Sveits
Tobracin Brasil, Egypt, Saudi-Arabia
Tobramicina Argentina, Brasil, Chile, Colombia, Ecuador, Italia, Portugal, Spania
Tobramina Brasil
Tobramycin Australia, Canada, Irland, Norge, Saudi-Arabia, Storbritannia, Tyskland, USA
Tobramycine Frankrike, Irland, Nederland
Tobrasix Østerrike
Tobrazid Tyskland
Kompatibilitet   Injeksjon   Kompatibilitet : Tobramycin sulfate              
Dette skjermbildet viser kompatibilitet eller inkompatibilitet med, i dette tilfellet, typen inkompatibilitet (nedbør, fargeendring, modifisering av en emulsjon, etc.). Kompatibilitetene som er vist her, er for det meste bare fysiske, og den kjemiske stabiliteten til hvert molekyl blir sjelden vurdert. Evalueringen av disse blandingene ble studert for å vurdere muligheten for Y-stedadministrasjon til pasienten. Disse dataene kan ikke brukes til å lage blandinger på forhånd i poser eller sprøyter. Denne typen informasjon er tilgjengelig på skjermen "Stabilitet i blanding".
Legemiddel Oppløsningsmiddel Referanser
Kompatibel
Injeksjon Tobramycin sulfate 1.6 mg/ml
Injeksjon Aciclovir sodium 5 mg/ml
Glukose 5 % 336
Nedbør etter 1 time Uforenlig
Injeksjon Tobramycin sulfate 5 mg/ml
Injeksjon Allopurinol sodium 3 mg/ml
Natriumklorid 0,9 % 307
Kompatibel
Injeksjon Tobramycin sulfate 1 mg/ml
Injeksjon Alprostadil 15 µg/ml
3201
Kompatibel
Injeksjon Tobramycin sulfate 5 mg/ml
Injeksjon Amifostine 10 mg/ml
Glukose 5 % 3
Kompatibel
Injeksjon Tobramycin sulfate 5 mg/ml
Injeksjon Amiodarone hydrochloride 6 mg/ml
Glukose 5 % 1611
Kompatibel
Injeksjon Tobramycin sulfate 0.8 mg/ml
Injeksjon Amiodarone hydrochloride 4 mg/ml
Natriumklorid 0,9 % 385
Kompatibel
Injeksjon Tobramycin sulfate 0.8 mg/ml
Injeksjon Amiodarone hydrochloride 4 mg/ml
Glukose 5 % 385
Kjemisk ustabilitet Uforenlig
Injeksjon Tobramycin sulfate
Injeksjon Amoxicillin sodium
3527
Uspesifisert inkompatibilitet Uforenlig
Injeksjon Tobramycin sulfate
Injeksjon Amoxicillin sodium / clavulanic acid
3545
Kompatibel
Injeksjon Tobramycin sulfate 40 mg/ml
Injeksjon Amoxicillin sodium / clavulanic acid 100/10 mg/ml
3824
Umiddelbar nedbør Uforenlig
Injeksjon Tobramycin sulfate 5 mg/ml
Injeksjon Amphotericin B cholesteryl sulfate complex 0.83 mg/ml
Glukose 5 % 921
Kompatibel
Injeksjon Tobramycin sulfate 5 mg/ml
Injeksjon Amsacrine 1 mg/ml
Glukose 5 % 253
Kompatibel
Injeksjon Tobramycin sulfate 5 mg/ml
Injeksjon Anidulafungin 0.5 mg/ml
Glukose 5 % 1982
Umiddelbar nedbør Uforenlig
Injeksjon Tobramycin sulfate 21 mg/ml
Injeksjon Azithromycine 2 mg/ml
Natriumklorid 0,9 % 1800
Kompatibel
Injeksjon Tobramycin sulfate 0.2 & 0.8 mg/ml
Injeksjon Aztreonam 10 & 20 mg/ml
Glukose 5 % 19
Kompatibel
Injeksjon Tobramycin sulfate 0.2 & 0.8 mg/ml
Injeksjon Aztreonam 10 & 20 mg/ml
Natriumklorid 0,9 % 19
Kompatibel
Injeksjon Tobramycin sulfate 5 mg/ml
Injeksjon Aztreonam 40 mg/ml
Glukose 5 % 99
Kompatibel
Injeksjon Tobramycin sulfate 5 mg/ml
Injeksjon Bivalirudin 5 mg/ml
Glukose 5 % 1713
Kompatibel
Injeksjon Tobramycin sulfate 40 mg/ml
Injeksjon Caffeine 10 mg/ml
Ingen 3964
Uforenlig
Injeksjon Tobramycin sulfate
Injeksjon Calcium gluconate
4964
Uspesifisert inkompatibilitet Uforenlig
Injeksjon Tobramycin sulfate
Injeksjon Calcium gluconate
3644
Kompatibel
Injeksjon Tobramycin sulfate 1 mg/ml
Injeksjon Calcium gluconate 33 mg/ml
Glukose 5 % 503
Kompatibel
Injeksjon Tobramycin sulfate 5 mg/ml
Injeksjon Calcium gluconate 16 mg/ml
Glukose 5 % 503
Kompatibel
Injeksjon Tobramycin sulfate 5 mg/ml
Injeksjon Caspofungin acetate 0,7 mg/ml
Natriumklorid 0,9 % 2247
Umiddelbar nedbør Uforenlig
Injeksjon Tobramycin sulfate
Injeksjon Cefamandole nafate 2 >> 100 mg/ml
Natriumklorid 0,9 % 612
Umiddelbar nedbør Uforenlig
Injeksjon Tobramycin sulfate
Injeksjon Cefamandole nafate 2 >> 100 mg/ml
Glukose 5 % 612
Uspesifisert inkompatibilitet Uforenlig
Injeksjon Tobramycin sulfate
Injeksjon Cefamandole nafate
3546
Kompatibel
Injeksjon Tobramycin sulfate 6 mg/ml
Injeksjon Cefepime dihydrochloride 125 mg/ml
Vann til injeksjon 2141
Uspesifisert inkompatibilitet Uforenlig
Injeksjon Tobramycin sulfate
Injeksjon Cefepime dihydrochloride
3548
Umiddelbar nedbør Uforenlig
Injeksjon Tobramycin sulfate 10 mg/ml
Injeksjon Cefiderocol sulfate tosylate 20 mg/mL
Glukose 5 % 4528
Umiddelbar nedbør Uforenlig
Injeksjon Tobramycin sulfate 10 mg/ml
Injeksjon Cefiderocol sulfate tosylate 20 mg/mL
Natriumklorid 0,9 % 4528
Umiddelbar nedbør Uforenlig
Injeksjon Tobramycin sulfate 0.8 mg/ml
Injeksjon Cefoperazone sodium 10 & 40 mg/ml
Glukose 5 % 1206
Uspesifisert inkompatibilitet Uforenlig
Injeksjon Tobramycin sulfate
Injeksjon Cefoperazone sodium
3544
Uspesifisert inkompatibilitet Uforenlig
Injeksjon Tobramycin sulfate
Injeksjon Cefpirome sulfate
3677
Kompatibel
Injeksjon Tobramycin sulfate 5 mg/ml
Injeksjon Ceftaroline fosamil 2,22 mg/ml
Natriumklorid 0,9 % 3249
Kompatibel
Injeksjon Tobramycin sulfate 5 mg/ml
Injeksjon Ceftaroline fosamil 2,22 mg/ml
Glukose 5 % 3249
Kompatibel
Injeksjon Tobramycin sulfate 5 mg/ml
Injeksjon Ceftaroline fosamil 2,22 mg/ml
Ringers laktatoppløsning 3249
Kompatibel
Injeksjon Tobramycin sulfate 6 mg/ml
Injeksjon Ceftazidime 83.3 mg/ml
1759
Uspesifisert inkompatibilitet Uforenlig
Injeksjon Tobramycin sulfate
Injeksjon Ceftazidime
3543
Kompatibel
Injeksjon Tobramycin sulfate 0.008 mg/ml
Injeksjon Ceftazidime 0.125 mg/ml
Dianéal® PD2 2.5% glucose (Baxter) 2369
Uspesifisert inkompatibilitet Uforenlig
Injeksjon Tobramycin sulfate
Injeksjon Ceftazidime
3883
Kompatibel
Injeksjon Tobramycin sulfate 6 mg/ml
Injeksjon Ceftazidime 125 mg/ml
Vann til injeksjon 2141
Umiddelbar nedbør Uforenlig
Injeksjon Tobramycin sulfate 5 mg/ml
Injeksjon Ceftobiprole medocaril sodium 2 mg/ml
Ringers laktatoppløsning 2269
Uspesifisert inkompatibilitet Uforenlig
Injeksjon Tobramycin sulfate
Injeksjon Ceftobiprole medocaril sodium
4650
Umiddelbar nedbør Uforenlig
Injeksjon Tobramycin sulfate 5 mg/ml
Injeksjon Ceftobiprole medocaril sodium 2 mg/ml
Glukose 5 % 2269
Umiddelbar nedbør Uforenlig
Injeksjon Tobramycin sulfate 5 mg/ml
Injeksjon Ceftobiprole medocaril sodium 2 mg/ml
Natriumklorid 0,9 % 2269
Kompatibel
Injeksjon Tobramycin sulfate 5 mg/ml
Injeksjon Ceftolozane / tazobactam 10/5 mg/ml
Glukose 5 % 3828
Kompatibel
Injeksjon Tobramycin sulfate 5 mg/ml
Injeksjon Ceftolozane / tazobactam 10/5 mg/ml
Natriumklorid 0,9 % 3828
Uspesifisert inkompatibilitet Uforenlig
Injeksjon Tobramycin sulfate
Injeksjon Ceftriaxone disodium
3523
Uspesifisert inkompatibilitet Uforenlig
Injeksjon Tobramycin sulfate
Injeksjon Cefuroxime sodium
3687
Kompatibel
Injeksjon Tobramycin sulfate 1.6 mg/ml
Injeksjon Ciprofloxacin lactate 2 mg/ml
Glukose 5 % 285
Kompatibel
Injeksjon Tobramycin sulfate 1 mg/ml
Injeksjon Ciprofloxacin lactate 1.5 mg/ml
Glukose 5 % 434
Kompatibel
Injeksjon Tobramycin sulfate 1 mg/ml
Injeksjon Ciprofloxacin lactate 1.5 mg/ml
Natriumklorid 0,9 % 434
Kompatibel
Injeksjon Tobramycin sulfate 1,6 mg/ml
Injeksjon Ciprofloxacin lactate 1 mg/ml
Glukose 5 % 500
Kompatibel
Injeksjon Tobramycin sulfate 1,6 mg/ml
Injeksjon Ciprofloxacin lactate 1 mg/ml
Natriumklorid 0,9 % 500
Kompatibel
Injeksjon Tobramycin sulfate 5 mg/ml
Injeksjon Cisatracurium besylate 0.1 >> 5 mg/ml
Glukose 5 % 299
Kjemisk ustabilitet Uforenlig
Injeksjon Tobramycin sulfate
Injeksjon Cisplatin
3578
Kompatibel
Injeksjon Tobramycin sulfate
Injeksjon Clindamycin phosphate
Glukose 5 % 3526
Kompatibel
Injeksjon Tobramycin sulfate
Injeksjon Clindamycin phosphate
Natriumklorid 0,9 % 3526
Umiddelbar nedbør Uforenlig
Injeksjon Tobramycin sulfate 12 mg/ml
Injeksjon Clindamycin phosphate 90 mg/ml
Natriumklorid 0,9 % 639
Umiddelbar nedbør Uforenlig
Injeksjon Tobramycin sulfate 40 mg/ml
Injeksjon Cloxacillin sodium 100 mg/ml
Vann til injeksjon 3012
Umiddelbar nedbør Uforenlig
Injeksjon Tobramycin sulfate 10 mg/ml
Injeksjon Defibrotide 8 mg/ml
Natriumklorid 0,9 % 3728
Kompatibel
Injeksjon Tobramycin sulfate 5 mg/ml
Injeksjon Dexmedetomidine 4 µg/ml
Natriumklorid 0,9 % 1712
Kompatibel
Injeksjon Tobramycin sulfate 2.4 & 40 mg/ml
Injeksjon Diltiazem hydrochloride 5 mg/ml
Natriumklorid 0,9 % 198
Kompatibel
Injeksjon Tobramycin sulfate
Injeksjon Dimenhydrinate
2087
Kompatibel
Injeksjon Tobramycin sulfate 5 mg/ml
Injeksjon Docetaxel 0.9 mg/ml
Glukose 5 % 1754
Kompatibel
Injeksjon Tobramycin sulfate 40 mg/ml
Parenteral ernæring (med lipider) 673
Kompatibel
Injeksjon Tobramycin sulfate 10 mg/ml
Parenteral ernæring(lipid-free) 316
Kompatibel
Injeksjon Tobramycin sulfate 5 mg/ml
Parenteral ernæring (med lipider) 1415
Kompatibel
Injeksjon Tobramycin sulfate 5 mg/ml
Injeksjon Doripenem 5 mg/ml
Glukose 5 % 2262
Kompatibel
Injeksjon Tobramycin sulfate 0,05 mg/ml
Parenteral ernæring(lipid-free) 4445
Kompatibel
Injeksjon Tobramycin sulfate 5 mg/ml
Injeksjon Doripenem 5 mg/ml
Natriumklorid 0,9 % 2262
Kompatibel
Injeksjon Tobramycin sulfate 5 mg/ml
Injeksjon Doxorubicin hydrochloride liposome peg 0.4 mg/ml
Glukose 5 % 251
Kompatibel
Injeksjon Tobramycin sulfate 5 mg/ml
Injeksjon Eravacycline 0,6 mg/ml
Natriumklorid 0,9 % 4434
Kompatibel
Injeksjon Tobramycin sulfate 5 mg/ml
Injeksjon Fenoldopam mesylate 80 µg/ml
Natriumklorid 0,9 % 1803
Kompatibel
Injeksjon Tobramycin sulfate 10 mg/ml
Injeksjon Fentanyl citrate 50 µg/ml
Glukose 5 % 63
Kompatibel
Injeksjon Tobramycin sulfate 10 & 40 mg/ml
Parenteral ernæring(lipid-free) 999
Kompatibel
Injeksjon Tobramycin sulfate 0.8 mg/ml
Injeksjon Enalaprilate 0.05 mg/ml
Natriumklorid 0,9 % 1315
Uspesifisert inkompatibilitet Uforenlig
Injeksjon Tobramycin sulfate
Injeksjon Erythromycin lactobionate
3674
Kompatibel
Injeksjon Tobramycin sulfate 0.8 mg/ml
Injeksjon Esmolol hydrochloride 10 mg/ml
Glukose 5 % 384
Kompatibel
Injeksjon Tobramycin sulfate 1.6 mg/ml
Injeksjon Filgrastim 40 µg/ml
Glukose 5 % 104
Kompatibel
Injeksjon Tobramycin sulfate 5 mg/ml
Parenteral ernæring(lipid-free) 301
Kompatibel
Injeksjon Tobramycin sulfate 5 mg/ml
Injeksjon Etoposide phosphate 5 mg/ml
Glukose 5 % 1410
Kompatibel
Injeksjon Tobramycin sulfate 5 mg/ml
Injeksjon Filgrastim 30 µg/ml
Glukose 5 % 244
Kompatibel
Injeksjon Tobramycin sulfate 40 mg/ml
Ringers laktatoppløsning 4603
Umiddelbar nedbør Uforenlig
Injeksjon Tobramycin sulfate
Injeksjon Flucloxacillin sodium
3522
Nedbør etter 7 timer Uforenlig
Injeksjon Tobramycin sulfate 8 mg/ml
Injeksjon Flucloxacillin sodium 20 mg/ml
Natriumklorid 0,9 % 1232
Kompatibel
Injeksjon Tobramycin sulfate 40 mg/ml
Injeksjon Fluconazole 2 mg/ml
Natriumklorid 0,9 % 496
Kompatibel
Injeksjon Tobramycin sulfate 5 mg/ml
Injeksjon Fludarabine phosphate 1 mg/ml
Glukose 5 % 492
Kompatibel
Injeksjon Tobramycin sulfate 40 mg/ml
Injeksjon Foscarnet sodium 24 mg/ml
Ingen 73
Kompatibel
Injeksjon Tobramycin sulfate 5 mg/ml
Injeksjon Fosfomycin 30 mg/ml
Glukose 5 % 4055
Nedbør etter 7 timer Uforenlig
Injeksjon Tobramycin sulfate 8 mg/ml
Injeksjon Furosemide 1 mg/ml
Natriumklorid 0,9 % 1232
Umiddelbar nedbør Uforenlig
Injeksjon Tobramycin sulfate 1,6 mg/ml
Injeksjon Furosemide 0,8 mg/ml
Glukose 5 % 367
Umiddelbar nedbør Uforenlig
Injeksjon Tobramycin sulfate 1,6 mg/ml
Injeksjon Furosemide 0,8 mg/ml
Natriumklorid 0,9 % 367
Uspesifisert inkompatibilitet Uforenlig
Injeksjon Tobramycin sulfate 0.8 mg/ml
Injeksjon Heparin sodium 50 UI/ml
Ingen 317
Uspesifisert inkompatibilitet Uforenlig
Injeksjon Tobramycin sulfate
Injeksjon Heparin sodium
3540
Kompatibel
Injeksjon Tobramycin sulfate
Glukose 5 % 5086
Kompatibel
Injeksjon Tobramycin sulfate 5 mg/ml
Injeksjon Fosfomycin 30 mg/ml
Natriumklorid 0,9 % 4055
Kompatibel
Injeksjon Tobramycin sulfate 5 mg/ml
Injeksjon Gemcitabine hydrochloride 10 mg/ml
Natriumklorid 0,9 % 1423
Kompatibel
Injeksjon Tobramycin sulfate 5 mg/ml
Injeksjon Granisetron hydrochloride 0.05 mg/ml
Glukose 5 % 182
Kompatibel
Injeksjon Tobramycin sulfate 5 mg/ml
Injeksjon Hetastarch 60 mg/ml
spesifikk løsemiddel 1721
Umiddelbar nedbør Uforenlig
Injeksjon Tobramycin sulfate 0.8 mg/ml
Injeksjon Hetastarch 60 mg/ml
Natriumklorid 0,9 % 472
Kompatibel
Injeksjon Tobramycin sulfate 0.8 mg/ml
Injeksjon Hydromorphone hydrochloride 0.2 mg/ml
Glukose 5 % 405
Nedbør etter 15 minutter Uforenlig
Injeksjon Tobramycin sulfate 1 mg/ml
Injeksjon Indomethacin sodium trihydrate 0,5 & 1 mg/ml
Glukose 5 % 1745
Umiddelbar nedbør Uforenlig
Injeksjon Tobramycin sulfate 1 mg/ml
Injeksjon Indomethacin sodium trihydrate 0,5 & 1 mg/ml
Glukose 5 % 494
Kompatibel
Injeksjon Tobramycin sulfate 1.6 & 2 mg/ml
Injeksjon Insulin 0.2 UI/ml
Natriumklorid 0,9 % 129
Kompatibel
Injeksjon Tobramycin sulfate 5 mg/ml
Injeksjon Isavuconazonium sulfate 1.5 mg/ml
Glukose 5 % 3829
Kompatibel
Injeksjon Tobramycin sulfate 5 mg/ml
Injeksjon Isavuconazonium sulfate 1.5 mg/ml
Natriumklorid 0,9 % 3829
Kompatibel
Injeksjon Tobramycin sulfate 40 mg/ml
Injeksjon Ketamine hydrochloride 50 mg/ml
2109
Kompatibel
Injeksjon Tobramycin sulfate 0.8 mg/ml
Injeksjon Labetalol hydrochloride 1 mg/ml
Glukose 5 % 386
Fargeendring etter 4 timer Uforenlig
Injeksjon Tobramycin sulfate 5 mg/ml
Injeksjon Lansoprazole 0.55 mg/ml
Natriumklorid 0,9 % 1625
Kompatibel
Injeksjon Tobramycin sulfate 5 mg/ml
Injeksjon Linezolid 2 mg/ml
Ingen 1925
Kompatibel
Injeksjon Tobramycin sulfate 0,80 mg/ml
Injeksjon Linezolid 1,80 mg/ml
2353
Kompatibel
Injeksjon Tobramycin sulfate 0.8 mg/ml
Injeksjon Magnesium sulfate 16.67 >> 100 mg/ml
Glukose 5 % 1047
Kompatibel
Injeksjon Tobramycin sulfate 5 mg/ml
Injeksjon Melphalan 0.1 mg/ml
Natriumklorid 0,9 % 169
Kompatibel
Injeksjon Tobramycin sulfate 40 mg/ml
Injeksjon Meropenem 50 mg/ml
Vann til injeksjon 4319
Kompatibel
Injeksjon Tobramycin sulfate 40 mg/ml
Injeksjon Meropenem 50 mg/ml
4389
Kompatibel
Injeksjon Tobramycin sulfate 0.8 mg/ml
Injeksjon Metronidazole 5 mg/ml
Ingen 1035
Kompatibel
Injeksjon Tobramycin sulfate
Injeksjon Metronidazole
3594
Kompatibel
Injeksjon Tobramycin sulfate 10 mg/ml
Injeksjon Midazolam hydrochloride 1 mg/ml
Glukose 5 % 176
Kompatibel
Injeksjon Tobramycin sulfate 1.6 >> 2.4 mg/ml
Injeksjon Morphine sulfate 1 mg/ml
Natriumklorid 0,9 % 406
Kompatibel
Injeksjon Tobramycin sulfate 0.8 mg/ml
Injeksjon Morphine sulfate 1 mg/ml
Glukose 5 % 405
Kompatibel
Injeksjon Tobramycin sulfate 40 mg/ml
Injeksjon Naloxone hydrochloride 0.4 mg/ml
Ingen 3408
Kompatibel
Injeksjon Tobramycin sulfate 0.8 mg/ml
Injeksjon Nicardipine hydrochloride 0.1 mg/ml
Natriumklorid 0,9 % 1490
Kompatibel
Injeksjon Tobramycin sulfate 0.8 mg/ml
Injeksjon Nicardipine hydrochloride 0.1 mg/ml
Glukose 5 % 1490
Kompatibel
Injeksjon Tobramycin sulfate 0,8 mg/ml
Injeksjon Ofloxacin 2 mg/ml
Ingen 889
Kompatibel
Injeksjon Tobramycin sulfate 5 mg/ml
Injeksjon Oritavancin 0.8 >>2 mg/ml
Glukose 5 % 3152
Umiddelbar nedbør Uforenlig
Injeksjon Tobramycin sulfate
Injeksjon Pantoprazole sodium
2090
Kompatibel
Injeksjon Tobramycin sulfate 40 mg/ml
Injeksjon Paracetamol 10 mg/ml
4742
Umiddelbar nedbør Uforenlig
Injeksjon Tobramycin sulfate 5 mg/ml
Injeksjon Pemetrexed disodium 20 mg/ml
Natriumklorid 0,9 % 1953
Kompatibel
Injeksjon Tobramycin sulfate 0.8 mg/ml
Injeksjon Pethidine hydrochloride 10 mg/ml
Glukose 5 % 405
Kompatibel
Injeksjon Tobramycin sulfate 1.6 >> 2.4 mg/ml
Injeksjon Pethidine hydrochloride 10 mg/ml
Natriumklorid 0,9 % 406
Kjemisk ustabilitet Uforenlig
Injeksjon Tobramycin sulfate
Injeksjon Piperacillin sodium
1168
Kjemisk ustabilitet Uforenlig
Injeksjon Tobramycin sulfate
Injeksjon Piperacillin sodium / tazobactam
3586
Umiddelbar ustabilitet av emulsjonen Uforenlig
Injeksjon Tobramycin sulfate 2 mg/ml
Injeksjon Propofol
660
Umiddelbar nedbør Uforenlig
Injeksjon Tobramycin sulfate 5 mg/ml
Injeksjon Propofol 10 mg/ml
Ingen 300
Kompatibel
Injeksjon Tobramycin sulfate 5 mg/ml
Injeksjon Remifentanil hydrochloride 25 & 250 µg/ml
Natriumklorid 0,9 % 59
Umiddelbar nedbør Uforenlig
Injeksjon Tobramycin sulfate 40 mg/ml
Injeksjon Salbutamol sulfate 1 mg/ml
Ingen 3216
Nedbør etter 4 timer Uforenlig
Injeksjon Tobramycin sulfate 5 mg/ml
Injeksjon Sargramostim 10 µg/ml
Natriumklorid 0,9 % 335
Kompatibel
Injeksjon Tobramycin sulfate 2,4 mg/ml
Injeksjon Sodium bicarbonate 40 mg/ml
Ingen 3122
Kompatibel
Injeksjon Tobramycin sulfate 5 mg/ml
Injeksjon Sulbactam/durlobactam 15/15 mg/ml
Natriumklorid 0,9 % 4801
Kompatibel
Injeksjon Tobramycin sulfate 40 mg/ml
Injeksjon Tacrolimus 1000 µg/ml
Natriumklorid 0,9 % 479
Umiddelbar turbiditet Uforenlig
Injeksjon Tobramycin sulfate 5 mg/ml
Injeksjon Tedizolid phosphate 0.8 mg/ml
Natriumklorid 0,9 % 3827
Uspesifisert inkompatibilitet Uforenlig
Injeksjon Tobramycin sulfate
Injeksjon Teicoplanine
3656
Kompatibel
Injeksjon Tobramycin sulfate 5 mg/ml
Injeksjon Telavancin hydrochloride 7.5 mg/ml
Natriumklorid 0,9 % 3254
Kompatibel
Injeksjon Tobramycin sulfate 5 mg/ml
Injeksjon Telavancin hydrochloride 7.5 mg/ml
Glukose 5 % 3254
Kompatibel
Injeksjon Tobramycin sulfate 6 mg/ml
Injeksjon Temocilline 83.33 mg/ml
Vann til injeksjon 2231
Uspesifisert inkompatibilitet Uforenlig
Injeksjon Tobramycin sulfate
Injeksjon Temocilline
2296
Kompatibel
Injeksjon Tobramycin sulfate 5 mg/ml
Injeksjon Teniposide 0.1 mg/ml
Glukose 5 % 905
Kompatibel
Injeksjon Tobramycin sulfate 0.8 mg/ml
Injeksjon Theophylline 4 mg/ml
Ingen 317
Umiddelbar nedbør Uforenlig
Injeksjon Tobramycin sulfate 40 mg/ml
Injeksjon Thiopental sodium 25 mg/ml
Natriumklorid 0,9 % 3767
Kompatibel
Injeksjon Tobramycin sulfate 5 mg/ml
Injeksjon Thiotepa 1 mg/ml
Glukose 5 % 249
Kompatibel
Injeksjon Tobramycin sulfate
Natriumklorid 0,9 % 5086
Kjemisk ustabilitet Uforenlig
Injeksjon Tobramycin sulfate
Injeksjon Ticarcillin / clavulanic acid
3587
Kompatibel
Injeksjon Tobramycin sulfate
Injeksjon Tigecycline
Natriumklorid 0,9 % 3332
Kompatibel
Injeksjon Tobramycin sulfate 6 mg/ml
Injeksjon Vancomycin hydrochloride 10 mg/ml
Glukose 5 % 3385
Kompatibel
Injeksjon Tobramycin sulfate 0.16 mg/ml
Injeksjon Verapamil hydrochloride 0.08 mg/ml
Natriumklorid 0,9 % 1057
Kompatibel
Injeksjon Tobramycin sulfate 0.16 mg/ml
Injeksjon Verapamil hydrochloride 0.08 mg/ml
Glukose 5 % 1057
Kompatibel
Injeksjon Tobramycin sulfate 5 mg/ml
Injeksjon Vinorelbine tartrate 1 mg/ml
Natriumklorid 0,9 % 84
Kompatibel
Injeksjon Tobramycin sulfate 2 mg/ml
Injeksjon Zidovudine 4 mg/ml
Glukose 5 % 337

  Mentions Légales