Seneste opdatering :
18/03/2026
Antibiotisk   Tobramycin sulfate  
Injektion
Aerosol Oral opløsning Øjendråber
Stabilitet i (vandige) opløsninger Stabilitet i blandinger Faktorer der påvirker stabiliteten Kompatibilitet Administrationsvej Bibliografi pdf
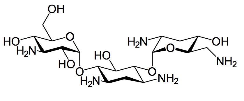
   Kemisk struktur  

Handelsnavn   Handelsnavn     

Handel navne er vejledende og hjælpestoffer sammensætning kan være forskellig afhængigt af landet og laboratorier

Bactob Indien
Beltob Indien
Bramicil Italien
Brulamycin Malaysia, Slovenien, Ungarn
Eltol Indien
Fytobra Indien
Gernebcin Tyskland
Komitob Indien
Nebcin Forenede Arabiske Emirater, Grækenland, New Zealand, Saudi-Arabien, Storbritanien, Ægypten
Nebcina Danmark, Marokko, Norge, Sverige
Nebcine Frankrig, Marokko, Slovenien
Nebicina Italien
Obracin Belgien, Holland, Luxemborg, Schweiz
Tobracin Brasilien, Saudi-Arabien, Ægypten
Tobramicina Argentina, Brasilien, Chile, Colombia, Ecuador, Italien, Portugal, Spanien
Tobramina Brasilien
Tobramycin Australien, Canada, Irland, Norge, Saudi-Arabien, Storbritanien, Tyskland, USA
Tobramycine Frankrig, Holland, Irland
Tobrasix Østrig
Tobrazid Tyskland
Kompatibilitet   Injektion   Kompatibilitet : Tobramycin sulfate              
Denne skærm viser kompatibilitet eller uforenelighed med, i dette tilfælde typen af inkompatibilitet (udfældning, farveændring, ændring af en emulsion osv.). Kompatibiliteterne vist her er for det meste kun fysiske, idet den kemiske stabilitet af hvert molekyle sjældent vurderes. Evalueringen af disse blandinger blev undersøgt for at overveje muligheden for Y-sted-administration til patienten. Disse data kan ikke bruges til at fremstille blandinger på forhånd i poser eller sprøjter. Denne type information findes på skærmen "Stabilitet i blanding".
Molekyle Opløsningsmiddel Bibliografi
Kompatibel
Injektion Tobramycin sulfate 1.6 mg/ml
Injektion Aciclovir sodium 5 mg/ml
5 % Glukose 336
Nedbør efter 1 time Uforenelig
Injektion Tobramycin sulfate 5 mg/ml
Injektion Allopurinol sodium 3 mg/ml
0,9 % Natriumklorid 307
Kompatibel
Injektion Tobramycin sulfate 1 mg/ml
Injektion Alprostadil 15 µg/ml
3201
Kompatibel
Injektion Tobramycin sulfate 5 mg/ml
Injektion Amifostine 10 mg/ml
5 % Glukose 3
Kompatibel
Injektion Tobramycin sulfate 5 mg/ml
Injektion Amiodarone hydrochloride 6 mg/ml
5 % Glukose 1611
Kompatibel
Injektion Tobramycin sulfate 0.8 mg/ml
Injektion Amiodarone hydrochloride 4 mg/ml
0,9 % Natriumklorid 385
Kompatibel
Injektion Tobramycin sulfate 0.8 mg/ml
Injektion Amiodarone hydrochloride 4 mg/ml
5 % Glukose 385
Kemisk ustabilitet Uforenelig
Injektion Tobramycin sulfate
Injektion Amoxicillin sodium
3527
Uspecificeret inkompatibilitet Uforenelig
Injektion Tobramycin sulfate
Injektion Amoxicillin sodium / clavulanic acid
3545
Kompatibel
Injektion Tobramycin sulfate 40 mg/ml
Injektion Amoxicillin sodium / clavulanic acid 100/10 mg/ml
3824
Umiddelbar nedbør Uforenelig
Injektion Tobramycin sulfate 5 mg/ml
Injektion Amphotericin B cholesteryl sulfate complex 0.83 mg/ml
5 % Glukose 921
Kompatibel
Injektion Tobramycin sulfate 5 mg/ml
Injektion Amsacrine 1 mg/ml
5 % Glukose 253
Kompatibel
Injektion Tobramycin sulfate 5 mg/ml
Injektion Anidulafungin 0.5 mg/ml
5 % Glukose 1982
Umiddelbar nedbør Uforenelig
Injektion Tobramycin sulfate 21 mg/ml
Injektion Azithromycine 2 mg/ml
0,9 % Natriumklorid 1800
Kompatibel
Injektion Tobramycin sulfate 0.2 & 0.8 mg/ml
Injektion Aztreonam 10 & 20 mg/ml
5 % Glukose 19
Kompatibel
Injektion Tobramycin sulfate 0.2 & 0.8 mg/ml
Injektion Aztreonam 10 & 20 mg/ml
0,9 % Natriumklorid 19
Kompatibel
Injektion Tobramycin sulfate 5 mg/ml
Injektion Aztreonam 40 mg/ml
5 % Glukose 99
Kompatibel
Injektion Tobramycin sulfate 5 mg/ml
Injektion Bivalirudin 5 mg/ml
5 % Glukose 1713
Kompatibel
Injektion Tobramycin sulfate 40 mg/ml
Injektion Caffeine 10 mg/ml
Ingen 3964
Uforenelig
Injektion Tobramycin sulfate
Injektion Calcium gluconate
4964
Uspecificeret inkompatibilitet Uforenelig
Injektion Tobramycin sulfate
Injektion Calcium gluconate
3644
Kompatibel
Injektion Tobramycin sulfate 1 mg/ml
Injektion Calcium gluconate 33 mg/ml
5 % Glukose 503
Kompatibel
Injektion Tobramycin sulfate 5 mg/ml
Injektion Calcium gluconate 16 mg/ml
5 % Glukose 503
Kompatibel
Injektion Tobramycin sulfate 5 mg/ml
Injektion Caspofungin acetate 0,7 mg/ml
0,9 % Natriumklorid 2247
Umiddelbar nedbør Uforenelig
Injektion Tobramycin sulfate
Injektion Cefamandole nafate 2 >> 100 mg/ml
0,9 % Natriumklorid 612
Umiddelbar nedbør Uforenelig
Injektion Tobramycin sulfate
Injektion Cefamandole nafate 2 >> 100 mg/ml
5 % Glukose 612
Uspecificeret inkompatibilitet Uforenelig
Injektion Tobramycin sulfate
Injektion Cefamandole nafate
3546
Kompatibel
Injektion Tobramycin sulfate 6 mg/ml
Injektion Cefepime dihydrochloride 125 mg/ml
Vand til injektion 2141
Uspecificeret inkompatibilitet Uforenelig
Injektion Tobramycin sulfate
Injektion Cefepime dihydrochloride
3548
Umiddelbar nedbør Uforenelig
Injektion Tobramycin sulfate 10 mg/ml
Injektion Cefiderocol sulfate tosylate 20 mg/mL
5 % Glukose 4528
Umiddelbar nedbør Uforenelig
Injektion Tobramycin sulfate 10 mg/ml
Injektion Cefiderocol sulfate tosylate 20 mg/mL
0,9 % Natriumklorid 4528
Umiddelbar nedbør Uforenelig
Injektion Tobramycin sulfate 0.8 mg/ml
Injektion Cefoperazone sodium 10 & 40 mg/ml
5 % Glukose 1206
Uspecificeret inkompatibilitet Uforenelig
Injektion Tobramycin sulfate
Injektion Cefoperazone sodium
3544
Uspecificeret inkompatibilitet Uforenelig
Injektion Tobramycin sulfate
Injektion Cefpirome sulfate
3677
Kompatibel
Injektion Tobramycin sulfate 5 mg/ml
Injektion Ceftaroline fosamil 2,22 mg/ml
0,9 % Natriumklorid 3249
Kompatibel
Injektion Tobramycin sulfate 5 mg/ml
Injektion Ceftaroline fosamil 2,22 mg/ml
5 % Glukose 3249
Kompatibel
Injektion Tobramycin sulfate 5 mg/ml
Injektion Ceftaroline fosamil 2,22 mg/ml
Ringer laktat 3249
Kompatibel
Injektion Tobramycin sulfate 6 mg/ml
Injektion Ceftazidime 83.3 mg/ml
1759
Uspecificeret inkompatibilitet Uforenelig
Injektion Tobramycin sulfate
Injektion Ceftazidime
3543
Kompatibel
Injektion Tobramycin sulfate 0.008 mg/ml
Injektion Ceftazidime 0.125 mg/ml
Dianéal® PD2 2.5% glucose (Baxter) 2369
Uspecificeret inkompatibilitet Uforenelig
Injektion Tobramycin sulfate
Injektion Ceftazidime
3883
Kompatibel
Injektion Tobramycin sulfate 6 mg/ml
Injektion Ceftazidime 125 mg/ml
Vand til injektion 2141
Umiddelbar nedbør Uforenelig
Injektion Tobramycin sulfate 5 mg/ml
Injektion Ceftobiprole medocaril sodium 2 mg/ml
Ringer laktat 2269
Uspecificeret inkompatibilitet Uforenelig
Injektion Tobramycin sulfate
Injektion Ceftobiprole medocaril sodium
4650
Umiddelbar nedbør Uforenelig
Injektion Tobramycin sulfate 5 mg/ml
Injektion Ceftobiprole medocaril sodium 2 mg/ml
5 % Glukose 2269
Umiddelbar nedbør Uforenelig
Injektion Tobramycin sulfate 5 mg/ml
Injektion Ceftobiprole medocaril sodium 2 mg/ml
0,9 % Natriumklorid 2269
Kompatibel
Injektion Tobramycin sulfate 5 mg/ml
Injektion Ceftolozane / tazobactam 10/5 mg/ml
5 % Glukose 3828
Kompatibel
Injektion Tobramycin sulfate 5 mg/ml
Injektion Ceftolozane / tazobactam 10/5 mg/ml
0,9 % Natriumklorid 3828
Uspecificeret inkompatibilitet Uforenelig
Injektion Tobramycin sulfate
Injektion Ceftriaxone disodium
3523
Uspecificeret inkompatibilitet Uforenelig
Injektion Tobramycin sulfate
Injektion Cefuroxime sodium
3687
Kompatibel
Injektion Tobramycin sulfate 1.6 mg/ml
Injektion Ciprofloxacin lactate 2 mg/ml
5 % Glukose 285
Kompatibel
Injektion Tobramycin sulfate 1 mg/ml
Injektion Ciprofloxacin lactate 1.5 mg/ml
5 % Glukose 434
Kompatibel
Injektion Tobramycin sulfate 1 mg/ml
Injektion Ciprofloxacin lactate 1.5 mg/ml
0,9 % Natriumklorid 434
Kompatibel
Injektion Tobramycin sulfate 1,6 mg/ml
Injektion Ciprofloxacin lactate 1 mg/ml
5 % Glukose 500
Kompatibel
Injektion Tobramycin sulfate 1,6 mg/ml
Injektion Ciprofloxacin lactate 1 mg/ml
0,9 % Natriumklorid 500
Kompatibel
Injektion Tobramycin sulfate 5 mg/ml
Injektion Cisatracurium besylate 0.1 >> 5 mg/ml
5 % Glukose 299
Kemisk ustabilitet Uforenelig
Injektion Tobramycin sulfate
Injektion Cisplatin
3578
Kompatibel
Injektion Tobramycin sulfate
Injektion Clindamycin phosphate
5 % Glukose 3526
Kompatibel
Injektion Tobramycin sulfate
Injektion Clindamycin phosphate
0,9 % Natriumklorid 3526
Umiddelbar nedbør Uforenelig
Injektion Tobramycin sulfate 12 mg/ml
Injektion Clindamycin phosphate 90 mg/ml
0,9 % Natriumklorid 639
Umiddelbar nedbør Uforenelig
Injektion Tobramycin sulfate 40 mg/ml
Injektion Cloxacillin sodium 100 mg/ml
Vand til injektion 3012
Umiddelbar nedbør Uforenelig
Injektion Tobramycin sulfate 10 mg/ml
Injektion Defibrotide 8 mg/ml
0,9 % Natriumklorid 3728
Kompatibel
Injektion Tobramycin sulfate 5 mg/ml
Injektion Dexmedetomidine 4 µg/ml
0,9 % Natriumklorid 1712
Kompatibel
Injektion Tobramycin sulfate 2.4 & 40 mg/ml
Injektion Diltiazem hydrochloride 5 mg/ml
0,9 % Natriumklorid 198
Kompatibel
Injektion Tobramycin sulfate
Injektion Dimenhydrinate
2087
Kompatibel
Injektion Tobramycin sulfate 5 mg/ml
Injektion Docetaxel 0.9 mg/ml
5 % Glukose 1754
Kompatibel
Injektion Tobramycin sulfate 40 mg/ml
Parenteral ernæring (lipider) 673
Kompatibel
Injektion Tobramycin sulfate 10 mg/ml
Parenteral ernæring (lipid-fri) 316
Kompatibel
Injektion Tobramycin sulfate 5 mg/ml
Parenteral ernæring (lipider) 1415
Kompatibel
Injektion Tobramycin sulfate 5 mg/ml
Injektion Doripenem 5 mg/ml
5 % Glukose 2262
Kompatibel
Injektion Tobramycin sulfate 0,05 mg/ml
Parenteral ernæring (lipid-fri) 4445
Kompatibel
Injektion Tobramycin sulfate 5 mg/ml
Injektion Doripenem 5 mg/ml
0,9 % Natriumklorid 2262
Kompatibel
Injektion Tobramycin sulfate 5 mg/ml
Injektion Doxorubicin hydrochloride liposome peg 0.4 mg/ml
5 % Glukose 251
Kompatibel
Injektion Tobramycin sulfate 5 mg/ml
Injektion Eravacycline 0,6 mg/ml
0,9 % Natriumklorid 4434
Kompatibel
Injektion Tobramycin sulfate 5 mg/ml
Injektion Fenoldopam mesylate 80 µg/ml
0,9 % Natriumklorid 1803
Kompatibel
Injektion Tobramycin sulfate 10 mg/ml
Injektion Fentanyl citrate 50 µg/ml
5 % Glukose 63
Kompatibel
Injektion Tobramycin sulfate 10 & 40 mg/ml
Parenteral ernæring (lipid-fri) 999
Kompatibel
Injektion Tobramycin sulfate 0.8 mg/ml
Injektion Enalaprilate 0.05 mg/ml
0,9 % Natriumklorid 1315
Uspecificeret inkompatibilitet Uforenelig
Injektion Tobramycin sulfate
Injektion Erythromycin lactobionate
3674
Kompatibel
Injektion Tobramycin sulfate 0.8 mg/ml
Injektion Esmolol hydrochloride 10 mg/ml
5 % Glukose 384
Kompatibel
Injektion Tobramycin sulfate 1.6 mg/ml
Injektion Filgrastim 40 µg/ml
5 % Glukose 104
Kompatibel
Injektion Tobramycin sulfate 5 mg/ml
Parenteral ernæring (lipid-fri) 301
Kompatibel
Injektion Tobramycin sulfate 5 mg/ml
Injektion Etoposide phosphate 5 mg/ml
5 % Glukose 1410
Kompatibel
Injektion Tobramycin sulfate 5 mg/ml
Injektion Filgrastim 30 µg/ml
5 % Glukose 244
Kompatibel
Injektion Tobramycin sulfate 40 mg/ml
Ringer laktat 4603
Umiddelbar nedbør Uforenelig
Injektion Tobramycin sulfate
Injektion Flucloxacillin sodium
3522
Nedbør efter 7 timer Uforenelig
Injektion Tobramycin sulfate 8 mg/ml
Injektion Flucloxacillin sodium 20 mg/ml
0,9 % Natriumklorid 1232
Kompatibel
Injektion Tobramycin sulfate 40 mg/ml
Injektion Fluconazole 2 mg/ml
0,9 % Natriumklorid 496
Kompatibel
Injektion Tobramycin sulfate 5 mg/ml
Injektion Fludarabine phosphate 1 mg/ml
5 % Glukose 492
Kompatibel
Injektion Tobramycin sulfate 40 mg/ml
Injektion Foscarnet sodium 24 mg/ml
Ingen 73
Kompatibel
Injektion Tobramycin sulfate 5 mg/ml
Injektion Fosfomycin 30 mg/ml
5 % Glukose 4055
Nedbør efter 7 timer Uforenelig
Injektion Tobramycin sulfate 8 mg/ml
Injektion Furosemide 1 mg/ml
0,9 % Natriumklorid 1232
Umiddelbar nedbør Uforenelig
Injektion Tobramycin sulfate 1,6 mg/ml
Injektion Furosemide 0,8 mg/ml
5 % Glukose 367
Umiddelbar nedbør Uforenelig
Injektion Tobramycin sulfate 1,6 mg/ml
Injektion Furosemide 0,8 mg/ml
0,9 % Natriumklorid 367
Uspecificeret inkompatibilitet Uforenelig
Injektion Tobramycin sulfate 0.8 mg/ml
Injektion Heparin sodium 50 UI/ml
Ingen 317
Uspecificeret inkompatibilitet Uforenelig
Injektion Tobramycin sulfate
Injektion Heparin sodium
3540
Kompatibel
Injektion Tobramycin sulfate
5 % Glukose 5086
Kompatibel
Injektion Tobramycin sulfate 5 mg/ml
Injektion Fosfomycin 30 mg/ml
0,9 % Natriumklorid 4055
Kompatibel
Injektion Tobramycin sulfate 5 mg/ml
Injektion Gemcitabine hydrochloride 10 mg/ml
0,9 % Natriumklorid 1423
Kompatibel
Injektion Tobramycin sulfate 5 mg/ml
Injektion Granisetron hydrochloride 0.05 mg/ml
5 % Glukose 182
Kompatibel
Injektion Tobramycin sulfate 5 mg/ml
Injektion Hetastarch 60 mg/ml
specifikt opløsningsmiddel 1721
Umiddelbar nedbør Uforenelig
Injektion Tobramycin sulfate 0.8 mg/ml
Injektion Hetastarch 60 mg/ml
0,9 % Natriumklorid 472
Kompatibel
Injektion Tobramycin sulfate 0.8 mg/ml
Injektion Hydromorphone hydrochloride 0.2 mg/ml
5 % Glukose 405
Nedbør efter 15 minutter Uforenelig
Injektion Tobramycin sulfate 1 mg/ml
Injektion Indomethacin sodium trihydrate 0,5 & 1 mg/ml
5 % Glukose 1745
Umiddelbar nedbør Uforenelig
Injektion Tobramycin sulfate 1 mg/ml
Injektion Indomethacin sodium trihydrate 0,5 & 1 mg/ml
5 % Glukose 494
Kompatibel
Injektion Tobramycin sulfate 1.6 & 2 mg/ml
Injektion Insulin 0.2 UI/ml
0,9 % Natriumklorid 129
Kompatibel
Injektion Tobramycin sulfate 5 mg/ml
Injektion Isavuconazonium sulfate 1.5 mg/ml
5 % Glukose 3829
Kompatibel
Injektion Tobramycin sulfate 5 mg/ml
Injektion Isavuconazonium sulfate 1.5 mg/ml
0,9 % Natriumklorid 3829
Kompatibel
Injektion Tobramycin sulfate 40 mg/ml
Injektion Ketamine hydrochloride 50 mg/ml
2109
Kompatibel
Injektion Tobramycin sulfate 0.8 mg/ml
Injektion Labetalol hydrochloride 1 mg/ml
5 % Glukose 386
Farveændring efter 4 timer Uforenelig
Injektion Tobramycin sulfate 5 mg/ml
Injektion Lansoprazole 0.55 mg/ml
0,9 % Natriumklorid 1625
Kompatibel
Injektion Tobramycin sulfate 5 mg/ml
Injektion Linezolid 2 mg/ml
Ingen 1925
Kompatibel
Injektion Tobramycin sulfate 0,80 mg/ml
Injektion Linezolid 1,80 mg/ml
2353
Kompatibel
Injektion Tobramycin sulfate 0.8 mg/ml
Injektion Magnesium sulfate 16.67 >> 100 mg/ml
5 % Glukose 1047
Kompatibel
Injektion Tobramycin sulfate 5 mg/ml
Injektion Melphalan 0.1 mg/ml
0,9 % Natriumklorid 169
Kompatibel
Injektion Tobramycin sulfate 40 mg/ml
Injektion Meropenem 50 mg/ml
Vand til injektion 4319
Kompatibel
Injektion Tobramycin sulfate 40 mg/ml
Injektion Meropenem 50 mg/ml
4389
Kompatibel
Injektion Tobramycin sulfate 0.8 mg/ml
Injektion Metronidazole 5 mg/ml
Ingen 1035
Kompatibel
Injektion Tobramycin sulfate
Injektion Metronidazole
3594
Kompatibel
Injektion Tobramycin sulfate 10 mg/ml
Injektion Midazolam hydrochloride 1 mg/ml
5 % Glukose 176
Kompatibel
Injektion Tobramycin sulfate 1.6 >> 2.4 mg/ml
Injektion Morphine sulfate 1 mg/ml
0,9 % Natriumklorid 406
Kompatibel
Injektion Tobramycin sulfate 0.8 mg/ml
Injektion Morphine sulfate 1 mg/ml
5 % Glukose 405
Kompatibel
Injektion Tobramycin sulfate 40 mg/ml
Injektion Naloxone hydrochloride 0.4 mg/ml
Ingen 3408
Kompatibel
Injektion Tobramycin sulfate 0.8 mg/ml
Injektion Nicardipine hydrochloride 0.1 mg/ml
0,9 % Natriumklorid 1490
Kompatibel
Injektion Tobramycin sulfate 0.8 mg/ml
Injektion Nicardipine hydrochloride 0.1 mg/ml
5 % Glukose 1490
Kompatibel
Injektion Tobramycin sulfate 0,8 mg/ml
Injektion Ofloxacin 2 mg/ml
Ingen 889
Kompatibel
Injektion Tobramycin sulfate 5 mg/ml
Injektion Oritavancin 0.8 >>2 mg/ml
5 % Glukose 3152
Umiddelbar nedbør Uforenelig
Injektion Tobramycin sulfate
Injektion Pantoprazole sodium
2090
Kompatibel
Injektion Tobramycin sulfate 40 mg/ml
Injektion Paracetamol 10 mg/ml
4742
Umiddelbar nedbør Uforenelig
Injektion Tobramycin sulfate 5 mg/ml
Injektion Pemetrexed disodium 20 mg/ml
0,9 % Natriumklorid 1953
Kompatibel
Injektion Tobramycin sulfate 0.8 mg/ml
Injektion Pethidine hydrochloride 10 mg/ml
5 % Glukose 405
Kompatibel
Injektion Tobramycin sulfate 1.6 >> 2.4 mg/ml
Injektion Pethidine hydrochloride 10 mg/ml
0,9 % Natriumklorid 406
Kemisk ustabilitet Uforenelig
Injektion Tobramycin sulfate
Injektion Piperacillin sodium
1168
Kemisk ustabilitet Uforenelig
Injektion Tobramycin sulfate
Injektion Piperacillin sodium / tazobactam
3586
Umiddelbar ustabilitet af emulsionen Uforenelig
Injektion Tobramycin sulfate 2 mg/ml
Injektion Propofol
660
Umiddelbar nedbør Uforenelig
Injektion Tobramycin sulfate 5 mg/ml
Injektion Propofol 10 mg/ml
Ingen 300
Kompatibel
Injektion Tobramycin sulfate 5 mg/ml
Injektion Remifentanil hydrochloride 25 & 250 µg/ml
0,9 % Natriumklorid 59
Umiddelbar nedbør Uforenelig
Injektion Tobramycin sulfate 40 mg/ml
Injektion Salbutamol sulfate 1 mg/ml
Ingen 3216
Nedbør efter 4 timer Uforenelig
Injektion Tobramycin sulfate 5 mg/ml
Injektion Sargramostim 10 µg/ml
0,9 % Natriumklorid 335
Kompatibel
Injektion Tobramycin sulfate 2,4 mg/ml
Injektion Sodium bicarbonate 40 mg/ml
Ingen 3122
Kompatibel
Injektion Tobramycin sulfate 5 mg/ml
Injektion Sulbactam/durlobactam 15/15 mg/ml
0,9 % Natriumklorid 4801
Kompatibel
Injektion Tobramycin sulfate 40 mg/ml
Injektion Tacrolimus 1000 µg/ml
0,9 % Natriumklorid 479
Umiddelbar turbiditet Uforenelig
Injektion Tobramycin sulfate 5 mg/ml
Injektion Tedizolid phosphate 0.8 mg/ml
0,9 % Natriumklorid 3827
Uspecificeret inkompatibilitet Uforenelig
Injektion Tobramycin sulfate
Injektion Teicoplanine
3656
Kompatibel
Injektion Tobramycin sulfate 5 mg/ml
Injektion Telavancin hydrochloride 7.5 mg/ml
0,9 % Natriumklorid 3254
Kompatibel
Injektion Tobramycin sulfate 5 mg/ml
Injektion Telavancin hydrochloride 7.5 mg/ml
5 % Glukose 3254
Kompatibel
Injektion Tobramycin sulfate 6 mg/ml
Injektion Temocilline 83.33 mg/ml
Vand til injektion 2231
Uspecificeret inkompatibilitet Uforenelig
Injektion Tobramycin sulfate
Injektion Temocilline
2296
Kompatibel
Injektion Tobramycin sulfate 5 mg/ml
Injektion Teniposide 0.1 mg/ml
5 % Glukose 905
Kompatibel
Injektion Tobramycin sulfate 0.8 mg/ml
Injektion Theophylline 4 mg/ml
Ingen 317
Umiddelbar nedbør Uforenelig
Injektion Tobramycin sulfate 40 mg/ml
Injektion Thiopental sodium 25 mg/ml
0,9 % Natriumklorid 3767
Kompatibel
Injektion Tobramycin sulfate 5 mg/ml
Injektion Thiotepa 1 mg/ml
5 % Glukose 249
Kompatibel
Injektion Tobramycin sulfate
0,9 % Natriumklorid 5086
Kemisk ustabilitet Uforenelig
Injektion Tobramycin sulfate
Injektion Ticarcillin / clavulanic acid
3587
Kompatibel
Injektion Tobramycin sulfate
Injektion Tigecycline
0,9 % Natriumklorid 3332
Kompatibel
Injektion Tobramycin sulfate 6 mg/ml
Injektion Vancomycin hydrochloride 10 mg/ml
5 % Glukose 3385
Kompatibel
Injektion Tobramycin sulfate 0.16 mg/ml
Injektion Verapamil hydrochloride 0.08 mg/ml
0,9 % Natriumklorid 1057
Kompatibel
Injektion Tobramycin sulfate 0.16 mg/ml
Injektion Verapamil hydrochloride 0.08 mg/ml
5 % Glukose 1057
Kompatibel
Injektion Tobramycin sulfate 5 mg/ml
Injektion Vinorelbine tartrate 1 mg/ml
0,9 % Natriumklorid 84
Kompatibel
Injektion Tobramycin sulfate 2 mg/ml
Injektion Zidovudine 4 mg/ml
5 % Glukose 337

  Mentions Légales