Ultimo aggiornamento :
18/03/2026
Antibiotico   Tobramycin sulfate  
Iniezione
Aerosol Collirio Soluzione orale
Stabilità in soluzione Stabilità in miscela Fattori che influenzano la stabilità Compatibilità metodo di iniezione Bibliografia pdf
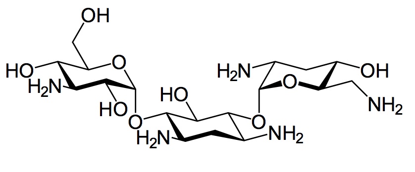
   Struttura chimica  

Nome commerciale   Nome commerciale     

Trade names are indicative and excipients composition can be different depending on the country and manufacturers

Bactob India
Beltob India
Bramicil Italia
Brulamycin Malaysia, Slovenia, Ungheria
Eltol India
Fytobra India
Gernebcin Germania
Komitob India
Nebcin Arabia Saudita, Egitto, Emirati Arabi Uniti, Gran Bretagna, Grecia, nuova Zelanda
Nebcina Danimarca, Marocco, Norvegia, Svezia
Nebcine Francia, Marocco, Slovenia
Nebicina Italia
Obracin Belgio, Lussemburgo, Paesi Bassi, Svizzera
Tobracin Arabia Saudita, Brasile, Egitto
Tobramicina Argentina, Brasile, Chile, Colombia, Ecuador, Italia, Portogallo, Spagna
Tobramina Brasile
Tobramycin Arabia Saudita, Australia, Canada, Germania, Gran Bretagna, Irlanda, Norvegia, Stati Uniti d’America
Tobramycine Francia, Irlanda, Paesi Bassi
Tobrasix Austria
Tobrazid Germania
Compatibilità   Iniezione   Compatibilità : Tobramycin sulfate              
explication_incompatibilite_molecules
Molecola Solvente Bibliografia
Compatibile
Iniezione Tobramycin sulfate 1.6 mg/ml
Iniezione Aciclovir sodium 5 mg/ml
Glucosio 5% 336
Precipitazioni dopo 1 ora Incompatibile
Iniezione Tobramycin sulfate 5 mg/ml
Iniezione Allopurinol sodium 3 mg/ml
Cloruro di sodio 0,9% 307
Compatibile
Iniezione Tobramycin sulfate 1 mg/ml
Iniezione Alprostadil 15 µg/ml
3201
Compatibile
Iniezione Tobramycin sulfate 5 mg/ml
Iniezione Amifostine 10 mg/ml
Glucosio 5% 3
Compatibile
Iniezione Tobramycin sulfate 5 mg/ml
Iniezione Amiodarone hydrochloride 6 mg/ml
Glucosio 5% 1611
Compatibile
Iniezione Tobramycin sulfate 0.8 mg/ml
Iniezione Amiodarone hydrochloride 4 mg/ml
Cloruro di sodio 0,9% 385
Compatibile
Iniezione Tobramycin sulfate 0.8 mg/ml
Iniezione Amiodarone hydrochloride 4 mg/ml
Glucosio 5% 385
Instabilità chimica Incompatibile
Iniezione Tobramycin sulfate
Iniezione Amoxicillin sodium
3527
Incompatibilità non specificata Incompatibile
Iniezione Tobramycin sulfate
Iniezione Amoxicillin sodium / clavulanic acid
3545
Compatibile
Iniezione Tobramycin sulfate 40 mg/ml
Iniezione Amoxicillin sodium / clavulanic acid 100/10 mg/ml
3824
Precipitazioni immediate Incompatibile
Iniezione Tobramycin sulfate 5 mg/ml
Iniezione Amphotericin B cholesteryl sulfate complex 0.83 mg/ml
Glucosio 5% 921
Compatibile
Iniezione Tobramycin sulfate 5 mg/ml
Iniezione Amsacrine 1 mg/ml
Glucosio 5% 253
Compatibile
Iniezione Tobramycin sulfate 5 mg/ml
Iniezione Anidulafungin 0.5 mg/ml
Glucosio 5% 1982
Precipitazioni immediate Incompatibile
Iniezione Tobramycin sulfate 21 mg/ml
Iniezione Azithromycine 2 mg/ml
Cloruro di sodio 0,9% 1800
Compatibile
Iniezione Tobramycin sulfate 0.2 & 0.8 mg/ml
Iniezione Aztreonam 10 & 20 mg/ml
Glucosio 5% 19
Compatibile
Iniezione Tobramycin sulfate 0.2 & 0.8 mg/ml
Iniezione Aztreonam 10 & 20 mg/ml
Cloruro di sodio 0,9% 19
Compatibile
Iniezione Tobramycin sulfate 5 mg/ml
Iniezione Aztreonam 40 mg/ml
Glucosio 5% 99
Compatibile
Iniezione Tobramycin sulfate 5 mg/ml
Iniezione Bivalirudin 5 mg/ml
Glucosio 5% 1713
Compatibile
Iniezione Tobramycin sulfate 40 mg/ml
Iniezione Caffeine 10 mg/ml
Nessuno 3964
Incompatibile
Iniezione Tobramycin sulfate
Iniezione Calcium gluconate
4964
Incompatibilità non specificata Incompatibile
Iniezione Tobramycin sulfate
Iniezione Calcium gluconate
3644
Compatibile
Iniezione Tobramycin sulfate 1 mg/ml
Iniezione Calcium gluconate 33 mg/ml
Glucosio 5% 503
Compatibile
Iniezione Tobramycin sulfate 5 mg/ml
Iniezione Calcium gluconate 16 mg/ml
Glucosio 5% 503
Compatibile
Iniezione Tobramycin sulfate 5 mg/ml
Iniezione Caspofungin acetate 0,7 mg/ml
Cloruro di sodio 0,9% 2247
Precipitazioni immediate Incompatibile
Iniezione Tobramycin sulfate
Iniezione Cefamandole nafate 2 >> 100 mg/ml
Cloruro di sodio 0,9% 612
Precipitazioni immediate Incompatibile
Iniezione Tobramycin sulfate
Iniezione Cefamandole nafate 2 >> 100 mg/ml
Glucosio 5% 612
Incompatibilità non specificata Incompatibile
Iniezione Tobramycin sulfate
Iniezione Cefamandole nafate
3546
Compatibile
Iniezione Tobramycin sulfate 6 mg/ml
Iniezione Cefepime dihydrochloride 125 mg/ml
Acqua per preparato iniettabile 2141
Incompatibilità non specificata Incompatibile
Iniezione Tobramycin sulfate
Iniezione Cefepime dihydrochloride
3548
Precipitazioni immediate Incompatibile
Iniezione Tobramycin sulfate 10 mg/ml
Iniezione Cefiderocol sulfate tosylate 20 mg/mL
Glucosio 5% 4528
Precipitazioni immediate Incompatibile
Iniezione Tobramycin sulfate 10 mg/ml
Iniezione Cefiderocol sulfate tosylate 20 mg/mL
Cloruro di sodio 0,9% 4528
Precipitazioni immediate Incompatibile
Iniezione Tobramycin sulfate 0.8 mg/ml
Iniezione Cefoperazone sodium 10 & 40 mg/ml
Glucosio 5% 1206
Incompatibilità non specificata Incompatibile
Iniezione Tobramycin sulfate
Iniezione Cefoperazone sodium
3544
Incompatibilità non specificata Incompatibile
Iniezione Tobramycin sulfate
Iniezione Cefpirome sulfate
3677
Compatibile
Iniezione Tobramycin sulfate 5 mg/ml
Iniezione Ceftaroline fosamil 2,22 mg/ml
Cloruro di sodio 0,9% 3249
Compatibile
Iniezione Tobramycin sulfate 5 mg/ml
Iniezione Ceftaroline fosamil 2,22 mg/ml
Glucosio 5% 3249
Compatibile
Iniezione Tobramycin sulfate 5 mg/ml
Iniezione Ceftaroline fosamil 2,22 mg/ml
Ringer lattato 3249
Compatibile
Iniezione Tobramycin sulfate 6 mg/ml
Iniezione Ceftazidime 83.3 mg/ml
1759
Incompatibilità non specificata Incompatibile
Iniezione Tobramycin sulfate
Iniezione Ceftazidime
3543
Compatibile
Iniezione Tobramycin sulfate 0.008 mg/ml
Iniezione Ceftazidime 0.125 mg/ml
Dianéal® PD2 2.5% glucose (Baxter) 2369
Incompatibilità non specificata Incompatibile
Iniezione Tobramycin sulfate
Iniezione Ceftazidime
3883
Compatibile
Iniezione Tobramycin sulfate 6 mg/ml
Iniezione Ceftazidime 125 mg/ml
Acqua per preparato iniettabile 2141
Precipitazioni immediate Incompatibile
Iniezione Tobramycin sulfate 5 mg/ml
Iniezione Ceftobiprole medocaril sodium 2 mg/ml
Ringer lattato 2269
Incompatibilità non specificata Incompatibile
Iniezione Tobramycin sulfate
Iniezione Ceftobiprole medocaril sodium
4650
Precipitazioni immediate Incompatibile
Iniezione Tobramycin sulfate 5 mg/ml
Iniezione Ceftobiprole medocaril sodium 2 mg/ml
Glucosio 5% 2269
Precipitazioni immediate Incompatibile
Iniezione Tobramycin sulfate 5 mg/ml
Iniezione Ceftobiprole medocaril sodium 2 mg/ml
Cloruro di sodio 0,9% 2269
Compatibile
Iniezione Tobramycin sulfate 5 mg/ml
Iniezione Ceftolozane / tazobactam 10/5 mg/ml
Glucosio 5% 3828
Compatibile
Iniezione Tobramycin sulfate 5 mg/ml
Iniezione Ceftolozane / tazobactam 10/5 mg/ml
Cloruro di sodio 0,9% 3828
Incompatibilità non specificata Incompatibile
Iniezione Tobramycin sulfate
Iniezione Ceftriaxone disodium
3523
Incompatibilità non specificata Incompatibile
Iniezione Tobramycin sulfate
Iniezione Cefuroxime sodium
3687
Compatibile
Iniezione Tobramycin sulfate 1.6 mg/ml
Iniezione Ciprofloxacin lactate 2 mg/ml
Glucosio 5% 285
Compatibile
Iniezione Tobramycin sulfate 1 mg/ml
Iniezione Ciprofloxacin lactate 1.5 mg/ml
Glucosio 5% 434
Compatibile
Iniezione Tobramycin sulfate 1 mg/ml
Iniezione Ciprofloxacin lactate 1.5 mg/ml
Cloruro di sodio 0,9% 434
Compatibile
Iniezione Tobramycin sulfate 1,6 mg/ml
Iniezione Ciprofloxacin lactate 1 mg/ml
Glucosio 5% 500
Compatibile
Iniezione Tobramycin sulfate 1,6 mg/ml
Iniezione Ciprofloxacin lactate 1 mg/ml
Cloruro di sodio 0,9% 500
Compatibile
Iniezione Tobramycin sulfate 5 mg/ml
Iniezione Cisatracurium besylate 0.1 >> 5 mg/ml
Glucosio 5% 299
Instabilità chimica Incompatibile
Iniezione Tobramycin sulfate
Iniezione Cisplatin
3578
Compatibile
Iniezione Tobramycin sulfate
Iniezione Clindamycin phosphate
Glucosio 5% 3526
Compatibile
Iniezione Tobramycin sulfate
Iniezione Clindamycin phosphate
Cloruro di sodio 0,9% 3526
Precipitazioni immediate Incompatibile
Iniezione Tobramycin sulfate 12 mg/ml
Iniezione Clindamycin phosphate 90 mg/ml
Cloruro di sodio 0,9% 639
Precipitazioni immediate Incompatibile
Iniezione Tobramycin sulfate 40 mg/ml
Iniezione Cloxacillin sodium 100 mg/ml
Acqua per preparato iniettabile 3012
Precipitazioni immediate Incompatibile
Iniezione Tobramycin sulfate 10 mg/ml
Iniezione Defibrotide 8 mg/ml
Cloruro di sodio 0,9% 3728
Compatibile
Iniezione Tobramycin sulfate 5 mg/ml
Iniezione Dexmedetomidine 4 µg/ml
Cloruro di sodio 0,9% 1712
Compatibile
Iniezione Tobramycin sulfate 2.4 & 40 mg/ml
Iniezione Diltiazem hydrochloride 5 mg/ml
Cloruro di sodio 0,9% 198
Compatibile
Iniezione Tobramycin sulfate
Iniezione Dimenhydrinate
2087
Compatibile
Iniezione Tobramycin sulfate 5 mg/ml
Iniezione Docetaxel 0.9 mg/ml
Glucosio 5% 1754
Compatibile
Iniezione Tobramycin sulfate 40 mg/ml
Nutrizione parenterale (con lipidi) 673
Compatibile
Iniezione Tobramycin sulfate 10 mg/ml
Nutrizione parenterale (privo di lipidi) 316
Compatibile
Iniezione Tobramycin sulfate 5 mg/ml
Nutrizione parenterale (con lipidi) 1415
Compatibile
Iniezione Tobramycin sulfate 5 mg/ml
Iniezione Doripenem 5 mg/ml
Glucosio 5% 2262
Compatibile
Iniezione Tobramycin sulfate 0,05 mg/ml
Nutrizione parenterale (privo di lipidi) 4445
Compatibile
Iniezione Tobramycin sulfate 5 mg/ml
Iniezione Doripenem 5 mg/ml
Cloruro di sodio 0,9% 2262
Compatibile
Iniezione Tobramycin sulfate 5 mg/ml
Iniezione Doxorubicin hydrochloride liposome peg 0.4 mg/ml
Glucosio 5% 251
Compatibile
Iniezione Tobramycin sulfate 5 mg/ml
Iniezione Eravacycline 0,6 mg/ml
Cloruro di sodio 0,9% 4434
Compatibile
Iniezione Tobramycin sulfate 5 mg/ml
Iniezione Fenoldopam mesylate 80 µg/ml
Cloruro di sodio 0,9% 1803
Compatibile
Iniezione Tobramycin sulfate 10 mg/ml
Iniezione Fentanyl citrate 50 µg/ml
Glucosio 5% 63
Compatibile
Iniezione Tobramycin sulfate 10 & 40 mg/ml
Nutrizione parenterale (privo di lipidi) 999
Compatibile
Iniezione Tobramycin sulfate 0.8 mg/ml
Iniezione Enalaprilate 0.05 mg/ml
Cloruro di sodio 0,9% 1315
Incompatibilità non specificata Incompatibile
Iniezione Tobramycin sulfate
Iniezione Erythromycin lactobionate
3674
Compatibile
Iniezione Tobramycin sulfate 0.8 mg/ml
Iniezione Esmolol hydrochloride 10 mg/ml
Glucosio 5% 384
Compatibile
Iniezione Tobramycin sulfate 1.6 mg/ml
Iniezione Filgrastim 40 µg/ml
Glucosio 5% 104
Compatibile
Iniezione Tobramycin sulfate 5 mg/ml
Nutrizione parenterale (privo di lipidi) 301
Compatibile
Iniezione Tobramycin sulfate 5 mg/ml
Iniezione Etoposide phosphate 5 mg/ml
Glucosio 5% 1410
Compatibile
Iniezione Tobramycin sulfate 5 mg/ml
Iniezione Filgrastim 30 µg/ml
Glucosio 5% 244
Compatibile
Iniezione Tobramycin sulfate 40 mg/ml
Ringer lattato 4603
Precipitazioni immediate Incompatibile
Iniezione Tobramycin sulfate
Iniezione Flucloxacillin sodium
3522
Precipitazioni dopo 7 ore Incompatibile
Iniezione Tobramycin sulfate 8 mg/ml
Iniezione Flucloxacillin sodium 20 mg/ml
Cloruro di sodio 0,9% 1232
Compatibile
Iniezione Tobramycin sulfate 40 mg/ml
Iniezione Fluconazole 2 mg/ml
Cloruro di sodio 0,9% 496
Compatibile
Iniezione Tobramycin sulfate 5 mg/ml
Iniezione Fludarabine phosphate 1 mg/ml
Glucosio 5% 492
Compatibile
Iniezione Tobramycin sulfate 40 mg/ml
Iniezione Foscarnet sodium 24 mg/ml
Nessuno 73
Compatibile
Iniezione Tobramycin sulfate 5 mg/ml
Iniezione Fosfomycin 30 mg/ml
Glucosio 5% 4055
Precipitazioni dopo 7 ore Incompatibile
Iniezione Tobramycin sulfate 8 mg/ml
Iniezione Furosemide 1 mg/ml
Cloruro di sodio 0,9% 1232
Precipitazioni immediate Incompatibile
Iniezione Tobramycin sulfate 1,6 mg/ml
Iniezione Furosemide 0,8 mg/ml
Glucosio 5% 367
Precipitazioni immediate Incompatibile
Iniezione Tobramycin sulfate 1,6 mg/ml
Iniezione Furosemide 0,8 mg/ml
Cloruro di sodio 0,9% 367
Incompatibilità non specificata Incompatibile
Iniezione Tobramycin sulfate 0.8 mg/ml
Iniezione Heparin sodium 50 UI/ml
Nessuno 317
Incompatibilità non specificata Incompatibile
Iniezione Tobramycin sulfate
Iniezione Heparin sodium
3540
Compatibile
Iniezione Tobramycin sulfate
Glucosio 5% 5086
Compatibile
Iniezione Tobramycin sulfate 5 mg/ml
Iniezione Fosfomycin 30 mg/ml
Cloruro di sodio 0,9% 4055
Compatibile
Iniezione Tobramycin sulfate 5 mg/ml
Iniezione Gemcitabine hydrochloride 10 mg/ml
Cloruro di sodio 0,9% 1423
Compatibile
Iniezione Tobramycin sulfate 5 mg/ml
Iniezione Granisetron hydrochloride 0.05 mg/ml
Glucosio 5% 182
Compatibile
Iniezione Tobramycin sulfate 5 mg/ml
Iniezione Hetastarch 60 mg/ml
solvente specifico 1721
Precipitazioni immediate Incompatibile
Iniezione Tobramycin sulfate 0.8 mg/ml
Iniezione Hetastarch 60 mg/ml
Cloruro di sodio 0,9% 472
Compatibile
Iniezione Tobramycin sulfate 0.8 mg/ml
Iniezione Hydromorphone hydrochloride 0.2 mg/ml
Glucosio 5% 405
Precipitazioni dopo 15 minuti Incompatibile
Iniezione Tobramycin sulfate 1 mg/ml
Iniezione Indomethacin sodium trihydrate 0,5 & 1 mg/ml
Glucosio 5% 1745
Precipitazioni immediate Incompatibile
Iniezione Tobramycin sulfate 1 mg/ml
Iniezione Indomethacin sodium trihydrate 0,5 & 1 mg/ml
Glucosio 5% 494
Compatibile
Iniezione Tobramycin sulfate 1.6 & 2 mg/ml
Iniezione Insulin 0.2 UI/ml
Cloruro di sodio 0,9% 129
Compatibile
Iniezione Tobramycin sulfate 5 mg/ml
Iniezione Isavuconazonium sulfate 1.5 mg/ml
Glucosio 5% 3829
Compatibile
Iniezione Tobramycin sulfate 5 mg/ml
Iniezione Isavuconazonium sulfate 1.5 mg/ml
Cloruro di sodio 0,9% 3829
Compatibile
Iniezione Tobramycin sulfate 40 mg/ml
Iniezione Ketamine hydrochloride 50 mg/ml
2109
Compatibile
Iniezione Tobramycin sulfate 0.8 mg/ml
Iniezione Labetalol hydrochloride 1 mg/ml
Glucosio 5% 386
Cambio colore dopo 4 ore Incompatibile
Iniezione Tobramycin sulfate 5 mg/ml
Iniezione Lansoprazole 0.55 mg/ml
Cloruro di sodio 0,9% 1625
Compatibile
Iniezione Tobramycin sulfate 5 mg/ml
Iniezione Linezolid 2 mg/ml
Nessuno 1925
Compatibile
Iniezione Tobramycin sulfate 0,80 mg/ml
Iniezione Linezolid 1,80 mg/ml
2353
Compatibile
Iniezione Tobramycin sulfate 0.8 mg/ml
Iniezione Magnesium sulfate 16.67 >> 100 mg/ml
Glucosio 5% 1047
Compatibile
Iniezione Tobramycin sulfate 5 mg/ml
Iniezione Melphalan 0.1 mg/ml
Cloruro di sodio 0,9% 169
Compatibile
Iniezione Tobramycin sulfate 40 mg/ml
Iniezione Meropenem 50 mg/ml
Acqua per preparato iniettabile 4319
Compatibile
Iniezione Tobramycin sulfate 40 mg/ml
Iniezione Meropenem 50 mg/ml
4389
Compatibile
Iniezione Tobramycin sulfate 0.8 mg/ml
Iniezione Metronidazole 5 mg/ml
Nessuno 1035
Compatibile
Iniezione Tobramycin sulfate
Iniezione Metronidazole
3594
Compatibile
Iniezione Tobramycin sulfate 10 mg/ml
Iniezione Midazolam hydrochloride 1 mg/ml
Glucosio 5% 176
Compatibile
Iniezione Tobramycin sulfate 1.6 >> 2.4 mg/ml
Iniezione Morphine sulfate 1 mg/ml
Cloruro di sodio 0,9% 406
Compatibile
Iniezione Tobramycin sulfate 0.8 mg/ml
Iniezione Morphine sulfate 1 mg/ml
Glucosio 5% 405
Compatibile
Iniezione Tobramycin sulfate 40 mg/ml
Iniezione Naloxone hydrochloride 0.4 mg/ml
Nessuno 3408
Compatibile
Iniezione Tobramycin sulfate 0.8 mg/ml
Iniezione Nicardipine hydrochloride 0.1 mg/ml
Cloruro di sodio 0,9% 1490
Compatibile
Iniezione Tobramycin sulfate 0.8 mg/ml
Iniezione Nicardipine hydrochloride 0.1 mg/ml
Glucosio 5% 1490
Compatibile
Iniezione Tobramycin sulfate 0,8 mg/ml
Iniezione Ofloxacin 2 mg/ml
Nessuno 889
Compatibile
Iniezione Tobramycin sulfate 5 mg/ml
Iniezione Oritavancin 0.8 >>2 mg/ml
Glucosio 5% 3152
Precipitazioni immediate Incompatibile
Iniezione Tobramycin sulfate
Iniezione Pantoprazole sodium
2090
Compatibile
Iniezione Tobramycin sulfate 40 mg/ml
Iniezione Paracetamol 10 mg/ml
4742
Precipitazioni immediate Incompatibile
Iniezione Tobramycin sulfate 5 mg/ml
Iniezione Pemetrexed disodium 20 mg/ml
Cloruro di sodio 0,9% 1953
Compatibile
Iniezione Tobramycin sulfate 0.8 mg/ml
Iniezione Pethidine hydrochloride 10 mg/ml
Glucosio 5% 405
Compatibile
Iniezione Tobramycin sulfate 1.6 >> 2.4 mg/ml
Iniezione Pethidine hydrochloride 10 mg/ml
Cloruro di sodio 0,9% 406
Instabilità chimica Incompatibile
Iniezione Tobramycin sulfate
Iniezione Piperacillin sodium
1168
Instabilità chimica Incompatibile
Iniezione Tobramycin sulfate
Iniezione Piperacillin sodium / tazobactam
3586
Instabilità immediata dell'emulsione Incompatibile
Iniezione Tobramycin sulfate 2 mg/ml
Iniezione Propofol
660
Precipitazioni immediate Incompatibile
Iniezione Tobramycin sulfate 5 mg/ml
Iniezione Propofol 10 mg/ml
Nessuno 300
Compatibile
Iniezione Tobramycin sulfate 5 mg/ml
Iniezione Remifentanil hydrochloride 25 & 250 µg/ml
Cloruro di sodio 0,9% 59
Precipitazioni immediate Incompatibile
Iniezione Tobramycin sulfate 40 mg/ml
Iniezione Salbutamol sulfate 1 mg/ml
Nessuno 3216
Precipitazioni dopo 4 ore Incompatibile
Iniezione Tobramycin sulfate 5 mg/ml
Iniezione Sargramostim 10 µg/ml
Cloruro di sodio 0,9% 335
Compatibile
Iniezione Tobramycin sulfate 2,4 mg/ml
Iniezione Sodium bicarbonate 40 mg/ml
Nessuno 3122
Compatibile
Iniezione Tobramycin sulfate 5 mg/ml
Iniezione Sulbactam/durlobactam 15/15 mg/ml
Cloruro di sodio 0,9% 4801
Compatibile
Iniezione Tobramycin sulfate 40 mg/ml
Iniezione Tacrolimus 1000 µg/ml
Cloruro di sodio 0,9% 479
Torbidità immediata Incompatibile
Iniezione Tobramycin sulfate 5 mg/ml
Iniezione Tedizolid phosphate 0.8 mg/ml
Cloruro di sodio 0,9% 3827
Incompatibilità non specificata Incompatibile
Iniezione Tobramycin sulfate
Iniezione Teicoplanine
3656
Compatibile
Iniezione Tobramycin sulfate 5 mg/ml
Iniezione Telavancin hydrochloride 7.5 mg/ml
Cloruro di sodio 0,9% 3254
Compatibile
Iniezione Tobramycin sulfate 5 mg/ml
Iniezione Telavancin hydrochloride 7.5 mg/ml
Glucosio 5% 3254
Compatibile
Iniezione Tobramycin sulfate 6 mg/ml
Iniezione Temocilline 83.33 mg/ml
Acqua per preparato iniettabile 2231
Incompatibilità non specificata Incompatibile
Iniezione Tobramycin sulfate
Iniezione Temocilline
2296
Compatibile
Iniezione Tobramycin sulfate 5 mg/ml
Iniezione Teniposide 0.1 mg/ml
Glucosio 5% 905
Compatibile
Iniezione Tobramycin sulfate 0.8 mg/ml
Iniezione Theophylline 4 mg/ml
Nessuno 317
Precipitazioni immediate Incompatibile
Iniezione Tobramycin sulfate 40 mg/ml
Iniezione Thiopental sodium 25 mg/ml
Cloruro di sodio 0,9% 3767
Compatibile
Iniezione Tobramycin sulfate 5 mg/ml
Iniezione Thiotepa 1 mg/ml
Glucosio 5% 249
Compatibile
Iniezione Tobramycin sulfate
Cloruro di sodio 0,9% 5086
Instabilità chimica Incompatibile
Iniezione Tobramycin sulfate
Iniezione Ticarcillin / clavulanic acid
3587
Compatibile
Iniezione Tobramycin sulfate
Iniezione Tigecycline
Cloruro di sodio 0,9% 3332
Compatibile
Iniezione Tobramycin sulfate 6 mg/ml
Iniezione Vancomycin hydrochloride 10 mg/ml
Glucosio 5% 3385
Compatibile
Iniezione Tobramycin sulfate 0.16 mg/ml
Iniezione Verapamil hydrochloride 0.08 mg/ml
Cloruro di sodio 0,9% 1057
Compatibile
Iniezione Tobramycin sulfate 0.16 mg/ml
Iniezione Verapamil hydrochloride 0.08 mg/ml
Glucosio 5% 1057
Compatibile
Iniezione Tobramycin sulfate 5 mg/ml
Iniezione Vinorelbine tartrate 1 mg/ml
Cloruro di sodio 0,9% 84
Compatibile
Iniezione Tobramycin sulfate 2 mg/ml
Iniezione Zidovudine 4 mg/ml
Glucosio 5% 337

  Mentions Légales