Poslední aktualizace :
18/03/2026
Antibiotikum   Tobramycin sulfate  
injekce
Aerosol Humbuk Perorální roztok
Stabilita roztoků Stabilita směsí Faktory ovlivňující stabilitu Kompatibilita Způsoby aplikace Odkazy pdf
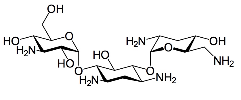
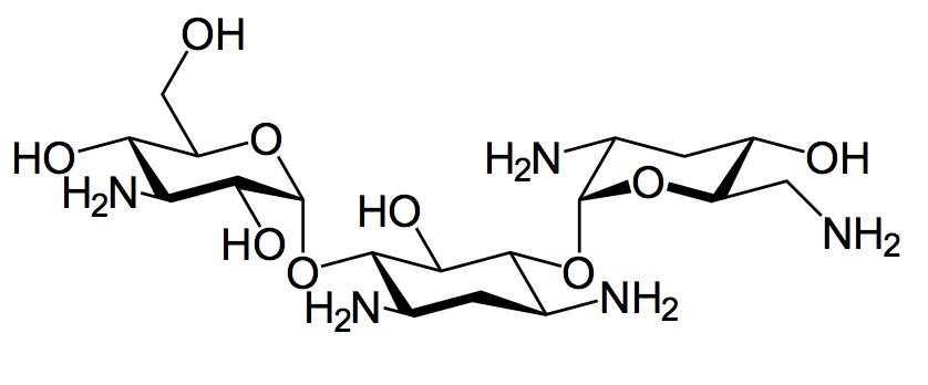
   Chemický vzorec  

Obchodní název   Obchodní název     

Trade names are indicative and excipients composition can be different depending on the country and manufacturers

Bactob Indie
Beltob Indie
Bramicil Itálie
Brulamycin Malajsie, MaÔarsko, Slovinsko
Eltol Indie
Fytobra Indie
Gernebcin NÏmecko
Komitob Indie
Nebcin Egypt, nový Zéland, Saúdská Arábie, Spojené arabské emiráty, Velká Británie, ÿecko
Nebcina Dánsko, Maroko, Norsko, Švédsko
Nebcine Francie, Maroko, Slovinsko
Nebicina Itálie
Obracin Belgie, Lucembursko, Nizozemsko, Švýcarsko
Tobracin BrazÌlie, Egypt, Saúdská Arábie
Tobramicina äpanÏlsko, Argentina, BrazÌlie, Chile, Ekvádor, Itálie, Kolumbie, Portugalsko
Tobramina BrazÌlie
Tobramycin Austrálie, Irsko, Kanada, NÏmecko, Norsko, Saúdská Arábie, USA, Velká Británie
Tobramycine Francie, Irsko, Nizozemsko
Tobrasix Rakousko
Tobrazid NÏmecko
Kompatibilita   injekce   Kompatibilita : Tobramycin sulfate              
Tato obrazovka ukazuje kompatibilitu nebo nekompatibilitu s, v tomto případě, typem nekompatibility (srážení, změna barvy, modifikace emulze atd.). Zde uvedené kompatibility jsou většinou pouze fyzikální, přičemž chemická stabilita každé molekuly je zřídka hodnocena. Hodnocení těchto směsí bylo studováno, aby se zvážila možnost podání Y-místa pacientovi. Tyto údaje nelze použít k přípravě směsí předem v pytlích nebo stříkačkách. Tento typ informací je k dispozici na obrazovce „Stabilita ve směsi“.
SlouËenina RozpouötÏdlo Odkazy
Kompatibilní
injekce Tobramycin sulfate 1.6 mg/ml
injekce Aciclovir sodium 5 mg/ml
GlukÛza 5% 336
Srážky po 1 hodině Nekompatibilní
injekce Tobramycin sulfate 5 mg/ml
injekce Allopurinol sodium 3 mg/ml
Chlorid sodný 0,9% 307
Kompatibilní
injekce Tobramycin sulfate 1 mg/ml
injekce Alprostadil 15 µg/ml
3201
Kompatibilní
injekce Tobramycin sulfate 5 mg/ml
injekce Amifostine 10 mg/ml
GlukÛza 5% 3
Kompatibilní
injekce Tobramycin sulfate 5 mg/ml
injekce Amiodarone hydrochloride 6 mg/ml
GlukÛza 5% 1611
Kompatibilní
injekce Tobramycin sulfate 0.8 mg/ml
injekce Amiodarone hydrochloride 4 mg/ml
Chlorid sodný 0,9% 385
Kompatibilní
injekce Tobramycin sulfate 0.8 mg/ml
injekce Amiodarone hydrochloride 4 mg/ml
GlukÛza 5% 385
Chemická nestabilita Nekompatibilní
injekce Tobramycin sulfate
injekce Amoxicillin sodium
3527
Nespecifikovaná nekompatibilita Nekompatibilní
injekce Tobramycin sulfate
injekce Amoxicillin sodium / clavulanic acid
3545
Kompatibilní
injekce Tobramycin sulfate 40 mg/ml
injekce Amoxicillin sodium / clavulanic acid 100/10 mg/ml
3824
Okamžité srážení Nekompatibilní
injekce Tobramycin sulfate 5 mg/ml
injekce Amphotericin B cholesteryl sulfate complex 0.83 mg/ml
GlukÛza 5% 921
Kompatibilní
injekce Tobramycin sulfate 5 mg/ml
injekce Amsacrine 1 mg/ml
GlukÛza 5% 253
Kompatibilní
injekce Tobramycin sulfate 5 mg/ml
injekce Anidulafungin 0.5 mg/ml
GlukÛza 5% 1982
Okamžité srážení Nekompatibilní
injekce Tobramycin sulfate 21 mg/ml
injekce Azithromycine 2 mg/ml
Chlorid sodný 0,9% 1800
Kompatibilní
injekce Tobramycin sulfate 0.2 & 0.8 mg/ml
injekce Aztreonam 10 & 20 mg/ml
GlukÛza 5% 19
Kompatibilní
injekce Tobramycin sulfate 0.2 & 0.8 mg/ml
injekce Aztreonam 10 & 20 mg/ml
Chlorid sodný 0,9% 19
Kompatibilní
injekce Tobramycin sulfate 5 mg/ml
injekce Aztreonam 40 mg/ml
GlukÛza 5% 99
Kompatibilní
injekce Tobramycin sulfate 5 mg/ml
injekce Bivalirudin 5 mg/ml
GlukÛza 5% 1713
Kompatibilní
injekce Tobramycin sulfate 40 mg/ml
injekce Caffeine 10 mg/ml
Žádné 3964
Nekompatibilní
injekce Tobramycin sulfate
injekce Calcium gluconate
4964
Nespecifikovaná nekompatibilita Nekompatibilní
injekce Tobramycin sulfate
injekce Calcium gluconate
3644
Kompatibilní
injekce Tobramycin sulfate 1 mg/ml
injekce Calcium gluconate 33 mg/ml
GlukÛza 5% 503
Kompatibilní
injekce Tobramycin sulfate 5 mg/ml
injekce Calcium gluconate 16 mg/ml
GlukÛza 5% 503
Kompatibilní
injekce Tobramycin sulfate 5 mg/ml
injekce Caspofungin acetate 0,7 mg/ml
Chlorid sodný 0,9% 2247
Okamžité srážení Nekompatibilní
injekce Tobramycin sulfate
injekce Cefamandole nafate 2 >> 100 mg/ml
Chlorid sodný 0,9% 612
Okamžité srážení Nekompatibilní
injekce Tobramycin sulfate
injekce Cefamandole nafate 2 >> 100 mg/ml
GlukÛza 5% 612
Nespecifikovaná nekompatibilita Nekompatibilní
injekce Tobramycin sulfate
injekce Cefamandole nafate
3546
Kompatibilní
injekce Tobramycin sulfate 6 mg/ml
injekce Cefepime dihydrochloride 125 mg/ml
Voda pro injekci 2141
Nespecifikovaná nekompatibilita Nekompatibilní
injekce Tobramycin sulfate
injekce Cefepime dihydrochloride
3548
Okamžité srážení Nekompatibilní
injekce Tobramycin sulfate 10 mg/ml
injekce Cefiderocol sulfate tosylate 20 mg/mL
GlukÛza 5% 4528
Okamžité srážení Nekompatibilní
injekce Tobramycin sulfate 10 mg/ml
injekce Cefiderocol sulfate tosylate 20 mg/mL
Chlorid sodný 0,9% 4528
Okamžité srážení Nekompatibilní
injekce Tobramycin sulfate 0.8 mg/ml
injekce Cefoperazone sodium 10 & 40 mg/ml
GlukÛza 5% 1206
Nespecifikovaná nekompatibilita Nekompatibilní
injekce Tobramycin sulfate
injekce Cefoperazone sodium
3544
Nespecifikovaná nekompatibilita Nekompatibilní
injekce Tobramycin sulfate
injekce Cefpirome sulfate
3677
Kompatibilní
injekce Tobramycin sulfate 5 mg/ml
injekce Ceftaroline fosamil 2,22 mg/ml
Chlorid sodný 0,9% 3249
Kompatibilní
injekce Tobramycin sulfate 5 mg/ml
injekce Ceftaroline fosamil 2,22 mg/ml
GlukÛza 5% 3249
Kompatibilní
injekce Tobramycin sulfate 5 mg/ml
injekce Ceftaroline fosamil 2,22 mg/ml
RingerŐs laktátový roztok 3249
Kompatibilní
injekce Tobramycin sulfate 6 mg/ml
injekce Ceftazidime 83.3 mg/ml
1759
Nespecifikovaná nekompatibilita Nekompatibilní
injekce Tobramycin sulfate
injekce Ceftazidime
3543
Kompatibilní
injekce Tobramycin sulfate 0.008 mg/ml
injekce Ceftazidime 0.125 mg/ml
Dianéal® PD2 2.5% glucose (Baxter) 2369
Nespecifikovaná nekompatibilita Nekompatibilní
injekce Tobramycin sulfate
injekce Ceftazidime
3883
Kompatibilní
injekce Tobramycin sulfate 6 mg/ml
injekce Ceftazidime 125 mg/ml
Voda pro injekci 2141
Okamžité srážení Nekompatibilní
injekce Tobramycin sulfate 5 mg/ml
injekce Ceftobiprole medocaril sodium 2 mg/ml
RingerŐs laktátový roztok 2269
Nespecifikovaná nekompatibilita Nekompatibilní
injekce Tobramycin sulfate
injekce Ceftobiprole medocaril sodium
4650
Okamžité srážení Nekompatibilní
injekce Tobramycin sulfate 5 mg/ml
injekce Ceftobiprole medocaril sodium 2 mg/ml
GlukÛza 5% 2269
Okamžité srážení Nekompatibilní
injekce Tobramycin sulfate 5 mg/ml
injekce Ceftobiprole medocaril sodium 2 mg/ml
Chlorid sodný 0,9% 2269
Kompatibilní
injekce Tobramycin sulfate 5 mg/ml
injekce Ceftolozane / tazobactam 10/5 mg/ml
GlukÛza 5% 3828
Kompatibilní
injekce Tobramycin sulfate 5 mg/ml
injekce Ceftolozane / tazobactam 10/5 mg/ml
Chlorid sodný 0,9% 3828
Nespecifikovaná nekompatibilita Nekompatibilní
injekce Tobramycin sulfate
injekce Ceftriaxone disodium
3523
Nespecifikovaná nekompatibilita Nekompatibilní
injekce Tobramycin sulfate
injekce Cefuroxime sodium
3687
Kompatibilní
injekce Tobramycin sulfate 1.6 mg/ml
injekce Ciprofloxacin lactate 2 mg/ml
GlukÛza 5% 285
Kompatibilní
injekce Tobramycin sulfate 1 mg/ml
injekce Ciprofloxacin lactate 1.5 mg/ml
GlukÛza 5% 434
Kompatibilní
injekce Tobramycin sulfate 1 mg/ml
injekce Ciprofloxacin lactate 1.5 mg/ml
Chlorid sodný 0,9% 434
Kompatibilní
injekce Tobramycin sulfate 1,6 mg/ml
injekce Ciprofloxacin lactate 1 mg/ml
GlukÛza 5% 500
Kompatibilní
injekce Tobramycin sulfate 1,6 mg/ml
injekce Ciprofloxacin lactate 1 mg/ml
Chlorid sodný 0,9% 500
Kompatibilní
injekce Tobramycin sulfate 5 mg/ml
injekce Cisatracurium besylate 0.1 >> 5 mg/ml
GlukÛza 5% 299
Chemická nestabilita Nekompatibilní
injekce Tobramycin sulfate
injekce Cisplatin
3578
Kompatibilní
injekce Tobramycin sulfate
injekce Clindamycin phosphate
GlukÛza 5% 3526
Kompatibilní
injekce Tobramycin sulfate
injekce Clindamycin phosphate
Chlorid sodný 0,9% 3526
Okamžité srážení Nekompatibilní
injekce Tobramycin sulfate 12 mg/ml
injekce Clindamycin phosphate 90 mg/ml
Chlorid sodný 0,9% 639
Okamžité srážení Nekompatibilní
injekce Tobramycin sulfate 40 mg/ml
injekce Cloxacillin sodium 100 mg/ml
Voda pro injekci 3012
Okamžité srážení Nekompatibilní
injekce Tobramycin sulfate 10 mg/ml
injekce Defibrotide 8 mg/ml
Chlorid sodný 0,9% 3728
Kompatibilní
injekce Tobramycin sulfate 5 mg/ml
injekce Dexmedetomidine 4 µg/ml
Chlorid sodný 0,9% 1712
Kompatibilní
injekce Tobramycin sulfate 2.4 & 40 mg/ml
injekce Diltiazem hydrochloride 5 mg/ml
Chlorid sodný 0,9% 198
Kompatibilní
injekce Tobramycin sulfate
injekce Dimenhydrinate
2087
Kompatibilní
injekce Tobramycin sulfate 5 mg/ml
injekce Docetaxel 0.9 mg/ml
GlukÛza 5% 1754
Kompatibilní
injekce Tobramycin sulfate 40 mg/ml
Parenterální výživa (lipidy) 673
Kompatibilní
injekce Tobramycin sulfate 10 mg/ml
Parenterální výživa (binární směs) 316
Kompatibilní
injekce Tobramycin sulfate 5 mg/ml
Parenterální výživa (lipidy) 1415
Kompatibilní
injekce Tobramycin sulfate 5 mg/ml
injekce Doripenem 5 mg/ml
GlukÛza 5% 2262
Kompatibilní
injekce Tobramycin sulfate 0,05 mg/ml
Parenterální výživa (binární směs) 4445
Kompatibilní
injekce Tobramycin sulfate 5 mg/ml
injekce Doripenem 5 mg/ml
Chlorid sodný 0,9% 2262
Kompatibilní
injekce Tobramycin sulfate 5 mg/ml
injekce Doxorubicin hydrochloride liposome peg 0.4 mg/ml
GlukÛza 5% 251
Kompatibilní
injekce Tobramycin sulfate 5 mg/ml
injekce Eravacycline 0,6 mg/ml
Chlorid sodný 0,9% 4434
Kompatibilní
injekce Tobramycin sulfate 5 mg/ml
injekce Fenoldopam mesylate 80 µg/ml
Chlorid sodný 0,9% 1803
Kompatibilní
injekce Tobramycin sulfate 10 mg/ml
injekce Fentanyl citrate 50 µg/ml
GlukÛza 5% 63
Kompatibilní
injekce Tobramycin sulfate 10 & 40 mg/ml
Parenterální výživa (binární směs) 999
Kompatibilní
injekce Tobramycin sulfate 0.8 mg/ml
injekce Enalaprilate 0.05 mg/ml
Chlorid sodný 0,9% 1315
Nespecifikovaná nekompatibilita Nekompatibilní
injekce Tobramycin sulfate
injekce Erythromycin lactobionate
3674
Kompatibilní
injekce Tobramycin sulfate 0.8 mg/ml
injekce Esmolol hydrochloride 10 mg/ml
GlukÛza 5% 384
Kompatibilní
injekce Tobramycin sulfate 1.6 mg/ml
injekce Filgrastim 40 µg/ml
GlukÛza 5% 104
Kompatibilní
injekce Tobramycin sulfate 5 mg/ml
Parenterální výživa (binární směs) 301
Kompatibilní
injekce Tobramycin sulfate 5 mg/ml
injekce Etoposide phosphate 5 mg/ml
GlukÛza 5% 1410
Kompatibilní
injekce Tobramycin sulfate 5 mg/ml
injekce Filgrastim 30 µg/ml
GlukÛza 5% 244
Kompatibilní
injekce Tobramycin sulfate 40 mg/ml
RingerŐs laktátový roztok 4603
Okamžité srážení Nekompatibilní
injekce Tobramycin sulfate
injekce Flucloxacillin sodium
3522
Srážky po 7 hodinách Nekompatibilní
injekce Tobramycin sulfate 8 mg/ml
injekce Flucloxacillin sodium 20 mg/ml
Chlorid sodný 0,9% 1232
Kompatibilní
injekce Tobramycin sulfate 40 mg/ml
injekce Fluconazole 2 mg/ml
Chlorid sodný 0,9% 496
Kompatibilní
injekce Tobramycin sulfate 5 mg/ml
injekce Fludarabine phosphate 1 mg/ml
GlukÛza 5% 492
Kompatibilní
injekce Tobramycin sulfate 40 mg/ml
injekce Foscarnet sodium 24 mg/ml
Žádné 73
Kompatibilní
injekce Tobramycin sulfate 5 mg/ml
injekce Fosfomycin 30 mg/ml
GlukÛza 5% 4055
Srážky po 7 hodinách Nekompatibilní
injekce Tobramycin sulfate 8 mg/ml
injekce Furosemide 1 mg/ml
Chlorid sodný 0,9% 1232
Okamžité srážení Nekompatibilní
injekce Tobramycin sulfate 1,6 mg/ml
injekce Furosemide 0,8 mg/ml
GlukÛza 5% 367
Okamžité srážení Nekompatibilní
injekce Tobramycin sulfate 1,6 mg/ml
injekce Furosemide 0,8 mg/ml
Chlorid sodný 0,9% 367
Nespecifikovaná nekompatibilita Nekompatibilní
injekce Tobramycin sulfate 0.8 mg/ml
injekce Heparin sodium 50 UI/ml
Žádné 317
Nespecifikovaná nekompatibilita Nekompatibilní
injekce Tobramycin sulfate
injekce Heparin sodium
3540
Kompatibilní
injekce Tobramycin sulfate
GlukÛza 5% 5086
Kompatibilní
injekce Tobramycin sulfate 5 mg/ml
injekce Fosfomycin 30 mg/ml
Chlorid sodný 0,9% 4055
Kompatibilní
injekce Tobramycin sulfate 5 mg/ml
injekce Gemcitabine hydrochloride 10 mg/ml
Chlorid sodný 0,9% 1423
Kompatibilní
injekce Tobramycin sulfate 5 mg/ml
injekce Granisetron hydrochloride 0.05 mg/ml
GlukÛza 5% 182
Kompatibilní
injekce Tobramycin sulfate 5 mg/ml
injekce Hetastarch 60 mg/ml
Zvláštní rozpouštědla 1721
Okamžité srážení Nekompatibilní
injekce Tobramycin sulfate 0.8 mg/ml
injekce Hetastarch 60 mg/ml
Chlorid sodný 0,9% 472
Kompatibilní
injekce Tobramycin sulfate 0.8 mg/ml
injekce Hydromorphone hydrochloride 0.2 mg/ml
GlukÛza 5% 405
Srážení po 15 minutách Nekompatibilní
injekce Tobramycin sulfate 1 mg/ml
injekce Indomethacin sodium trihydrate 0,5 & 1 mg/ml
GlukÛza 5% 1745
Okamžité srážení Nekompatibilní
injekce Tobramycin sulfate 1 mg/ml
injekce Indomethacin sodium trihydrate 0,5 & 1 mg/ml
GlukÛza 5% 494
Kompatibilní
injekce Tobramycin sulfate 1.6 & 2 mg/ml
injekce Insulin 0.2 UI/ml
Chlorid sodný 0,9% 129
Kompatibilní
injekce Tobramycin sulfate 5 mg/ml
injekce Isavuconazonium sulfate 1.5 mg/ml
GlukÛza 5% 3829
Kompatibilní
injekce Tobramycin sulfate 5 mg/ml
injekce Isavuconazonium sulfate 1.5 mg/ml
Chlorid sodný 0,9% 3829
Kompatibilní
injekce Tobramycin sulfate 40 mg/ml
injekce Ketamine hydrochloride 50 mg/ml
2109
Kompatibilní
injekce Tobramycin sulfate 0.8 mg/ml
injekce Labetalol hydrochloride 1 mg/ml
GlukÛza 5% 386
Změna barvy po 4 hodinách Nekompatibilní
injekce Tobramycin sulfate 5 mg/ml
injekce Lansoprazole 0.55 mg/ml
Chlorid sodný 0,9% 1625
Kompatibilní
injekce Tobramycin sulfate 5 mg/ml
injekce Linezolid 2 mg/ml
Žádné 1925
Kompatibilní
injekce Tobramycin sulfate 0,80 mg/ml
injekce Linezolid 1,80 mg/ml
2353
Kompatibilní
injekce Tobramycin sulfate 0.8 mg/ml
injekce Magnesium sulfate 16.67 >> 100 mg/ml
GlukÛza 5% 1047
Kompatibilní
injekce Tobramycin sulfate 5 mg/ml
injekce Melphalan 0.1 mg/ml
Chlorid sodný 0,9% 169
Kompatibilní
injekce Tobramycin sulfate 40 mg/ml
injekce Meropenem 50 mg/ml
Voda pro injekci 4319
Kompatibilní
injekce Tobramycin sulfate 40 mg/ml
injekce Meropenem 50 mg/ml
4389
Kompatibilní
injekce Tobramycin sulfate 0.8 mg/ml
injekce Metronidazole 5 mg/ml
Žádné 1035
Kompatibilní
injekce Tobramycin sulfate
injekce Metronidazole
3594
Kompatibilní
injekce Tobramycin sulfate 10 mg/ml
injekce Midazolam hydrochloride 1 mg/ml
GlukÛza 5% 176
Kompatibilní
injekce Tobramycin sulfate 1.6 >> 2.4 mg/ml
injekce Morphine sulfate 1 mg/ml
Chlorid sodný 0,9% 406
Kompatibilní
injekce Tobramycin sulfate 0.8 mg/ml
injekce Morphine sulfate 1 mg/ml
GlukÛza 5% 405
Kompatibilní
injekce Tobramycin sulfate 40 mg/ml
injekce Naloxone hydrochloride 0.4 mg/ml
Žádné 3408
Kompatibilní
injekce Tobramycin sulfate 0.8 mg/ml
injekce Nicardipine hydrochloride 0.1 mg/ml
Chlorid sodný 0,9% 1490
Kompatibilní
injekce Tobramycin sulfate 0.8 mg/ml
injekce Nicardipine hydrochloride 0.1 mg/ml
GlukÛza 5% 1490
Kompatibilní
injekce Tobramycin sulfate 0,8 mg/ml
injekce Ofloxacin 2 mg/ml
Žádné 889
Kompatibilní
injekce Tobramycin sulfate 5 mg/ml
injekce Oritavancin 0.8 >>2 mg/ml
GlukÛza 5% 3152
Okamžité srážení Nekompatibilní
injekce Tobramycin sulfate
injekce Pantoprazole sodium
2090
Kompatibilní
injekce Tobramycin sulfate 40 mg/ml
injekce Paracetamol 10 mg/ml
4742
Okamžité srážení Nekompatibilní
injekce Tobramycin sulfate 5 mg/ml
injekce Pemetrexed disodium 20 mg/ml
Chlorid sodný 0,9% 1953
Kompatibilní
injekce Tobramycin sulfate 0.8 mg/ml
injekce Pethidine hydrochloride 10 mg/ml
GlukÛza 5% 405
Kompatibilní
injekce Tobramycin sulfate 1.6 >> 2.4 mg/ml
injekce Pethidine hydrochloride 10 mg/ml
Chlorid sodný 0,9% 406
Chemická nestabilita Nekompatibilní
injekce Tobramycin sulfate
injekce Piperacillin sodium
1168
Chemická nestabilita Nekompatibilní
injekce Tobramycin sulfate
injekce Piperacillin sodium / tazobactam
3586
Okamžitá nestabilita emulze Nekompatibilní
injekce Tobramycin sulfate 2 mg/ml
injekce Propofol
660
Okamžité srážení Nekompatibilní
injekce Tobramycin sulfate 5 mg/ml
injekce Propofol 10 mg/ml
Žádné 300
Kompatibilní
injekce Tobramycin sulfate 5 mg/ml
injekce Remifentanil hydrochloride 25 & 250 µg/ml
Chlorid sodný 0,9% 59
Okamžité srážení Nekompatibilní
injekce Tobramycin sulfate 40 mg/ml
injekce Salbutamol sulfate 1 mg/ml
Žádné 3216
Srážky po 4 hodinách Nekompatibilní
injekce Tobramycin sulfate 5 mg/ml
injekce Sargramostim 10 µg/ml
Chlorid sodný 0,9% 335
Kompatibilní
injekce Tobramycin sulfate 2,4 mg/ml
injekce Sodium bicarbonate 40 mg/ml
Žádné 3122
Kompatibilní
injekce Tobramycin sulfate 5 mg/ml
injekce Sulbactam/durlobactam 15/15 mg/ml
Chlorid sodný 0,9% 4801
Kompatibilní
injekce Tobramycin sulfate 40 mg/ml
injekce Tacrolimus 1000 µg/ml
Chlorid sodný 0,9% 479
Okamžitá zákal Nekompatibilní
injekce Tobramycin sulfate 5 mg/ml
injekce Tedizolid phosphate 0.8 mg/ml
Chlorid sodný 0,9% 3827
Nespecifikovaná nekompatibilita Nekompatibilní
injekce Tobramycin sulfate
injekce Teicoplanine
3656
Kompatibilní
injekce Tobramycin sulfate 5 mg/ml
injekce Telavancin hydrochloride 7.5 mg/ml
Chlorid sodný 0,9% 3254
Kompatibilní
injekce Tobramycin sulfate 5 mg/ml
injekce Telavancin hydrochloride 7.5 mg/ml
GlukÛza 5% 3254
Kompatibilní
injekce Tobramycin sulfate 6 mg/ml
injekce Temocilline 83.33 mg/ml
Voda pro injekci 2231
Nespecifikovaná nekompatibilita Nekompatibilní
injekce Tobramycin sulfate
injekce Temocilline
2296
Kompatibilní
injekce Tobramycin sulfate 5 mg/ml
injekce Teniposide 0.1 mg/ml
GlukÛza 5% 905
Kompatibilní
injekce Tobramycin sulfate 0.8 mg/ml
injekce Theophylline 4 mg/ml
Žádné 317
Okamžité srážení Nekompatibilní
injekce Tobramycin sulfate 40 mg/ml
injekce Thiopental sodium 25 mg/ml
Chlorid sodný 0,9% 3767
Kompatibilní
injekce Tobramycin sulfate 5 mg/ml
injekce Thiotepa 1 mg/ml
GlukÛza 5% 249
Kompatibilní
injekce Tobramycin sulfate
Chlorid sodný 0,9% 5086
Chemická nestabilita Nekompatibilní
injekce Tobramycin sulfate
injekce Ticarcillin / clavulanic acid
3587
Kompatibilní
injekce Tobramycin sulfate
injekce Tigecycline
Chlorid sodný 0,9% 3332
Kompatibilní
injekce Tobramycin sulfate 6 mg/ml
injekce Vancomycin hydrochloride 10 mg/ml
GlukÛza 5% 3385
Kompatibilní
injekce Tobramycin sulfate 0.16 mg/ml
injekce Verapamil hydrochloride 0.08 mg/ml
Chlorid sodný 0,9% 1057
Kompatibilní
injekce Tobramycin sulfate 0.16 mg/ml
injekce Verapamil hydrochloride 0.08 mg/ml
GlukÛza 5% 1057
Kompatibilní
injekce Tobramycin sulfate 5 mg/ml
injekce Vinorelbine tartrate 1 mg/ml
Chlorid sodný 0,9% 84
Kompatibilní
injekce Tobramycin sulfate 2 mg/ml
injekce Zidovudine 4 mg/ml
GlukÛza 5% 337

  Mentions Légales