Dernière mise à jour :
18/03/2026
Antibiotique   Tobramycin sulfate  
injectable
Aérosol Collyre Solution buvable
Stabilité des solutions Stabilité en mélange Facteur influençant la stabilité Compatibilités Voie d’administration Bibliographie pdf
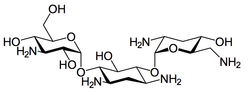
   Structure chimique  

Noms commerciaux   Noms commerciaux     

Les noms commerciaux sont donnés à titre indicatif et la composition en excipients peut être différente selon les pays et selon les laboratoires

Bactob Inde
Beltob Inde
Bramicil Italie
Brulamycin Hongrie, Malaisie, Slovénie
Eltol Inde
Fytobra Inde
Gernebcin Allemagne
Komitob Inde
Nebcin Arabie Saoudite, Egypte, Emirats Arabes Unis , Grande Bretagne, Grèce, Nouvelle Zélande
Nebcina Danemark, Maroc, Norvège, Suède
Nebcine France, Maroc, Slovénie
Nebicina Italie
Obracin Belgique, Luxembourg, Pays bas, Suisse
Tobracin Arabie Saoudite, Brésil, Egypte
Tobramicina Argentine, Brésil, Chili, Colombie, Equateur, Espagne, Italie, Portugal
Tobramina Brésil
Tobramycin Allemagne, Arabie Saoudite, Australie, Canada, Etats Unis d’Amérique, Grande Bretagne, Irlande, Norvège
Tobramycine France, Irlande, Pays bas
Tobrasix Autriche
Tobrazid Allemagne
Compatibilités   injectable   Compatibilités : Tobramycin sulfate              
Cet écran indique les compatibilités ou incompatibilités avec, dans ce cas, le type d'incompatibilité (précipitation, changement de couleur, modification d'une émulsion, etc.). Les compatibilités présentées ici sont pour la plupart uniquement physiques, la stabilité chimique de chaque molécule étant rarement évaluée. L'évaluation de ces mélanges a été étudiée pour envisager la possibilité d'une administration en site Y au patient. Ces données ne peuvent pas être utilisées pour préparer des mélanges à l'avance dans des poches de perfusion ou des seringues. Ce type d'informations est disponible dans l'écran « Stabilité en mélange ».
Molécule Solvant Bibliographie
Compatible
injectable Tobramycin sulfate 1.6 mg/ml
injectable Aciclovir sodium 5 mg/ml
Glucose 5% 336
Précipitation en 1 heure Incompatible
injectable Tobramycin sulfate 5 mg/ml
injectable Allopurinol sodium 3 mg/ml
Chlorure de sodium 0,9% 307
Compatible
injectable Tobramycin sulfate 1 mg/ml
injectable Alprostadil 15 µg/ml
3201
Compatible
injectable Tobramycin sulfate 5 mg/ml
injectable Amifostine 10 mg/ml
Glucose 5% 3
Compatible
injectable Tobramycin sulfate 5 mg/ml
injectable Amiodarone hydrochloride 6 mg/ml
Glucose 5% 1611
Compatible
injectable Tobramycin sulfate 0.8 mg/ml
injectable Amiodarone hydrochloride 4 mg/ml
Chlorure de sodium 0,9% 385
Compatible
injectable Tobramycin sulfate 0.8 mg/ml
injectable Amiodarone hydrochloride 4 mg/ml
Glucose 5% 385
Instabilité chimique Incompatible
injectable Tobramycin sulfate
injectable Amoxicillin sodium
3527
Incompatibilité non précisée Incompatible
injectable Tobramycin sulfate
injectable Amoxicillin sodium / clavulanic acid
3545
Compatible
injectable Tobramycin sulfate 40 mg/ml
injectable Amoxicillin sodium / clavulanic acid 100/10 mg/ml
3824
Précipitation immédiate Incompatible
injectable Tobramycin sulfate 5 mg/ml
injectable Amphotericin B cholesteryl sulfate complex 0.83 mg/ml
Glucose 5% 921
Compatible
injectable Tobramycin sulfate 5 mg/ml
injectable Amsacrine 1 mg/ml
Glucose 5% 253
Compatible
injectable Tobramycin sulfate 5 mg/ml
injectable Anidulafungin 0.5 mg/ml
Glucose 5% 1982
Précipitation immédiate Incompatible
injectable Tobramycin sulfate 21 mg/ml
injectable Azithromycine 2 mg/ml
Chlorure de sodium 0,9% 1800
Compatible
injectable Tobramycin sulfate 0.2 & 0.8 mg/ml
injectable Aztreonam 10 & 20 mg/ml
Glucose 5% 19
Compatible
injectable Tobramycin sulfate 0.2 & 0.8 mg/ml
injectable Aztreonam 10 & 20 mg/ml
Chlorure de sodium 0,9% 19
Compatible
injectable Tobramycin sulfate 5 mg/ml
injectable Aztreonam 40 mg/ml
Glucose 5% 99
Compatible
injectable Tobramycin sulfate 5 mg/ml
injectable Bivalirudin 5 mg/ml
Glucose 5% 1713
Compatible
injectable Tobramycin sulfate 40 mg/ml
injectable Caffeine 10 mg/ml
Aucun 3964
Incompatible
injectable Tobramycin sulfate
injectable Calcium gluconate
4964
Incompatibilité non précisée Incompatible
injectable Tobramycin sulfate
injectable Calcium gluconate
3644
Compatible
injectable Tobramycin sulfate 1 mg/ml
injectable Calcium gluconate 33 mg/ml
Glucose 5% 503
Compatible
injectable Tobramycin sulfate 5 mg/ml
injectable Calcium gluconate 16 mg/ml
Glucose 5% 503
Compatible
injectable Tobramycin sulfate 5 mg/ml
injectable Caspofungin acetate 0,7 mg/ml
Chlorure de sodium 0,9% 2247
Précipitation immédiate Incompatible
injectable Tobramycin sulfate
injectable Cefamandole nafate 2 >> 100 mg/ml
Chlorure de sodium 0,9% 612
Précipitation immédiate Incompatible
injectable Tobramycin sulfate
injectable Cefamandole nafate 2 >> 100 mg/ml
Glucose 5% 612
Incompatibilité non précisée Incompatible
injectable Tobramycin sulfate
injectable Cefamandole nafate
3546
Compatible
injectable Tobramycin sulfate 6 mg/ml
injectable Cefepime dihydrochloride 125 mg/ml
Eau pour préparation injectable 2141
Incompatibilité non précisée Incompatible
injectable Tobramycin sulfate
injectable Cefepime dihydrochloride
3548
Précipitation immédiate Incompatible
injectable Tobramycin sulfate 10 mg/ml
injectable Cefiderocol sulfate tosylate 20 mg/mL
Glucose 5% 4528
Précipitation immédiate Incompatible
injectable Tobramycin sulfate 10 mg/ml
injectable Cefiderocol sulfate tosylate 20 mg/mL
Chlorure de sodium 0,9% 4528
Précipitation immédiate Incompatible
injectable Tobramycin sulfate 0.8 mg/ml
injectable Cefoperazone sodium 10 & 40 mg/ml
Glucose 5% 1206
Incompatibilité non précisée Incompatible
injectable Tobramycin sulfate
injectable Cefoperazone sodium
3544
Incompatibilité non précisée Incompatible
injectable Tobramycin sulfate
injectable Cefpirome sulfate
3677
Compatible
injectable Tobramycin sulfate 5 mg/ml
injectable Ceftaroline fosamil 2,22 mg/ml
Chlorure de sodium 0,9% 3249
Compatible
injectable Tobramycin sulfate 5 mg/ml
injectable Ceftaroline fosamil 2,22 mg/ml
Glucose 5% 3249
Compatible
injectable Tobramycin sulfate 5 mg/ml
injectable Ceftaroline fosamil 2,22 mg/ml
Ringer lactate 3249
Compatible
injectable Tobramycin sulfate 6 mg/ml
injectable Ceftazidime 83.3 mg/ml
1759
Incompatibilité non précisée Incompatible
injectable Tobramycin sulfate
injectable Ceftazidime
3543
Compatible
injectable Tobramycin sulfate 0.008 mg/ml
injectable Ceftazidime 0.125 mg/ml
Dianéal® PD2 2.5% glucose (Baxter) 2369
Incompatibilité non précisée Incompatible
injectable Tobramycin sulfate
injectable Ceftazidime
3883
Compatible
injectable Tobramycin sulfate 6 mg/ml
injectable Ceftazidime 125 mg/ml
Eau pour préparation injectable 2141
Précipitation immédiate Incompatible
injectable Tobramycin sulfate 5 mg/ml
injectable Ceftobiprole medocaril sodium 2 mg/ml
Ringer lactate 2269
Incompatibilité non précisée Incompatible
injectable Tobramycin sulfate
injectable Ceftobiprole medocaril sodium
4650
Précipitation immédiate Incompatible
injectable Tobramycin sulfate 5 mg/ml
injectable Ceftobiprole medocaril sodium 2 mg/ml
Glucose 5% 2269
Précipitation immédiate Incompatible
injectable Tobramycin sulfate 5 mg/ml
injectable Ceftobiprole medocaril sodium 2 mg/ml
Chlorure de sodium 0,9% 2269
Compatible
injectable Tobramycin sulfate 5 mg/ml
injectable Ceftolozane / tazobactam 10/5 mg/ml
Glucose 5% 3828
Compatible
injectable Tobramycin sulfate 5 mg/ml
injectable Ceftolozane / tazobactam 10/5 mg/ml
Chlorure de sodium 0,9% 3828
Incompatibilité non précisée Incompatible
injectable Tobramycin sulfate
injectable Ceftriaxone disodium
3523
Incompatibilité non précisée Incompatible
injectable Tobramycin sulfate
injectable Cefuroxime sodium
3687
Compatible
injectable Tobramycin sulfate 1.6 mg/ml
injectable Ciprofloxacin lactate 2 mg/ml
Glucose 5% 285
Compatible
injectable Tobramycin sulfate 1 mg/ml
injectable Ciprofloxacin lactate 1.5 mg/ml
Glucose 5% 434
Compatible
injectable Tobramycin sulfate 1 mg/ml
injectable Ciprofloxacin lactate 1.5 mg/ml
Chlorure de sodium 0,9% 434
Compatible
injectable Tobramycin sulfate 1,6 mg/ml
injectable Ciprofloxacin lactate 1 mg/ml
Glucose 5% 500
Compatible
injectable Tobramycin sulfate 1,6 mg/ml
injectable Ciprofloxacin lactate 1 mg/ml
Chlorure de sodium 0,9% 500
Compatible
injectable Tobramycin sulfate 5 mg/ml
injectable Cisatracurium besylate 0.1 >> 5 mg/ml
Glucose 5% 299
Instabilité chimique Incompatible
injectable Tobramycin sulfate
injectable Cisplatin
3578
Compatible
injectable Tobramycin sulfate
injectable Clindamycin phosphate
Glucose 5% 3526
Compatible
injectable Tobramycin sulfate
injectable Clindamycin phosphate
Chlorure de sodium 0,9% 3526
Précipitation immédiate Incompatible
injectable Tobramycin sulfate 12 mg/ml
injectable Clindamycin phosphate 90 mg/ml
Chlorure de sodium 0,9% 639
Précipitation immédiate Incompatible
injectable Tobramycin sulfate 40 mg/ml
injectable Cloxacillin sodium 100 mg/ml
Eau pour préparation injectable 3012
Précipitation immédiate Incompatible
injectable Tobramycin sulfate 10 mg/ml
injectable Defibrotide 8 mg/ml
Chlorure de sodium 0,9% 3728
Compatible
injectable Tobramycin sulfate 5 mg/ml
injectable Dexmedetomidine 4 µg/ml
Chlorure de sodium 0,9% 1712
Compatible
injectable Tobramycin sulfate 2.4 & 40 mg/ml
injectable Diltiazem hydrochloride 5 mg/ml
Chlorure de sodium 0,9% 198
Compatible
injectable Tobramycin sulfate
injectable Dimenhydrinate
2087
Compatible
injectable Tobramycin sulfate 5 mg/ml
injectable Docetaxel 0.9 mg/ml
Glucose 5% 1754
Compatible
injectable Tobramycin sulfate 40 mg/ml
Nutrition parentérale (mélange ternaire) 673
Compatible
injectable Tobramycin sulfate 10 mg/ml
Nutrition parentérale (mélange binaire) 316
Compatible
injectable Tobramycin sulfate 5 mg/ml
Nutrition parentérale (mélange ternaire) 1415
Compatible
injectable Tobramycin sulfate 5 mg/ml
injectable Doripenem 5 mg/ml
Glucose 5% 2262
Compatible
injectable Tobramycin sulfate 0,05 mg/ml
Nutrition parentérale (mélange binaire) 4445
Compatible
injectable Tobramycin sulfate 5 mg/ml
injectable Doripenem 5 mg/ml
Chlorure de sodium 0,9% 2262
Compatible
injectable Tobramycin sulfate 5 mg/ml
injectable Doxorubicin hydrochloride liposome peg 0.4 mg/ml
Glucose 5% 251
Compatible
injectable Tobramycin sulfate 5 mg/ml
injectable Eravacycline 0,6 mg/ml
Chlorure de sodium 0,9% 4434
Compatible
injectable Tobramycin sulfate 5 mg/ml
injectable Fenoldopam mesylate 80 µg/ml
Chlorure de sodium 0,9% 1803
Compatible
injectable Tobramycin sulfate 10 mg/ml
injectable Fentanyl citrate 50 µg/ml
Glucose 5% 63
Compatible
injectable Tobramycin sulfate 10 & 40 mg/ml
Nutrition parentérale (mélange binaire) 999
Compatible
injectable Tobramycin sulfate 0.8 mg/ml
injectable Enalaprilate 0.05 mg/ml
Chlorure de sodium 0,9% 1315
Incompatibilité non précisée Incompatible
injectable Tobramycin sulfate
injectable Erythromycin lactobionate
3674
Compatible
injectable Tobramycin sulfate 0.8 mg/ml
injectable Esmolol hydrochloride 10 mg/ml
Glucose 5% 384
Compatible
injectable Tobramycin sulfate 1.6 mg/ml
injectable Filgrastim 40 µg/ml
Glucose 5% 104
Compatible
injectable Tobramycin sulfate 5 mg/ml
Nutrition parentérale (mélange binaire) 301
Compatible
injectable Tobramycin sulfate 5 mg/ml
injectable Etoposide phosphate 5 mg/ml
Glucose 5% 1410
Compatible
injectable Tobramycin sulfate 5 mg/ml
injectable Filgrastim 30 µg/ml
Glucose 5% 244
Compatible
injectable Tobramycin sulfate 40 mg/ml
Ringer lactate 4603
Précipitation immédiate Incompatible
injectable Tobramycin sulfate
injectable Flucloxacillin sodium
3522
Précipitation en 7 heures Incompatible
injectable Tobramycin sulfate 8 mg/ml
injectable Flucloxacillin sodium 20 mg/ml
Chlorure de sodium 0,9% 1232
Compatible
injectable Tobramycin sulfate 40 mg/ml
injectable Fluconazole 2 mg/ml
Chlorure de sodium 0,9% 496
Compatible
injectable Tobramycin sulfate 5 mg/ml
injectable Fludarabine phosphate 1 mg/ml
Glucose 5% 492
Compatible
injectable Tobramycin sulfate 40 mg/ml
injectable Foscarnet sodium 24 mg/ml
Aucun 73
Compatible
injectable Tobramycin sulfate 5 mg/ml
injectable Fosfomycin 30 mg/ml
Glucose 5% 4055
Précipitation en 7 heures Incompatible
injectable Tobramycin sulfate 8 mg/ml
injectable Furosemide 1 mg/ml
Chlorure de sodium 0,9% 1232
Précipitation immédiate Incompatible
injectable Tobramycin sulfate 1,6 mg/ml
injectable Furosemide 0,8 mg/ml
Glucose 5% 367
Précipitation immédiate Incompatible
injectable Tobramycin sulfate 1,6 mg/ml
injectable Furosemide 0,8 mg/ml
Chlorure de sodium 0,9% 367
Incompatibilité non précisée Incompatible
injectable Tobramycin sulfate 0.8 mg/ml
injectable Heparin sodium 50 UI/ml
Aucun 317
Incompatibilité non précisée Incompatible
injectable Tobramycin sulfate
injectable Heparin sodium
3540
Compatible
injectable Tobramycin sulfate
Glucose 5% 5086
Compatible
injectable Tobramycin sulfate 5 mg/ml
injectable Fosfomycin 30 mg/ml
Chlorure de sodium 0,9% 4055
Compatible
injectable Tobramycin sulfate 5 mg/ml
injectable Gemcitabine hydrochloride 10 mg/ml
Chlorure de sodium 0,9% 1423
Compatible
injectable Tobramycin sulfate 5 mg/ml
injectable Granisetron hydrochloride 0.05 mg/ml
Glucose 5% 182
Compatible
injectable Tobramycin sulfate 5 mg/ml
injectable Hetastarch 60 mg/ml
Solvant spécifique 1721
Précipitation immédiate Incompatible
injectable Tobramycin sulfate 0.8 mg/ml
injectable Hetastarch 60 mg/ml
Chlorure de sodium 0,9% 472
Compatible
injectable Tobramycin sulfate 0.8 mg/ml
injectable Hydromorphone hydrochloride 0.2 mg/ml
Glucose 5% 405
Précipitation en 15 minutes Incompatible
injectable Tobramycin sulfate 1 mg/ml
injectable Indomethacin sodium trihydrate 0,5 & 1 mg/ml
Glucose 5% 1745
Précipitation immédiate Incompatible
injectable Tobramycin sulfate 1 mg/ml
injectable Indomethacin sodium trihydrate 0,5 & 1 mg/ml
Glucose 5% 494
Compatible
injectable Tobramycin sulfate 1.6 & 2 mg/ml
injectable Insulin 0.2 UI/ml
Chlorure de sodium 0,9% 129
Compatible
injectable Tobramycin sulfate 5 mg/ml
injectable Isavuconazonium sulfate 1.5 mg/ml
Glucose 5% 3829
Compatible
injectable Tobramycin sulfate 5 mg/ml
injectable Isavuconazonium sulfate 1.5 mg/ml
Chlorure de sodium 0,9% 3829
Compatible
injectable Tobramycin sulfate 40 mg/ml
injectable Ketamine hydrochloride 50 mg/ml
2109
Compatible
injectable Tobramycin sulfate 0.8 mg/ml
injectable Labetalol hydrochloride 1 mg/ml
Glucose 5% 386
Changement de couleur à 4 heures Incompatible
injectable Tobramycin sulfate 5 mg/ml
injectable Lansoprazole 0.55 mg/ml
Chlorure de sodium 0,9% 1625
Compatible
injectable Tobramycin sulfate 5 mg/ml
injectable Linezolid 2 mg/ml
Aucun 1925
Compatible
injectable Tobramycin sulfate 0,80 mg/ml
injectable Linezolid 1,80 mg/ml
2353
Compatible
injectable Tobramycin sulfate 0.8 mg/ml
injectable Magnesium sulfate 16.67 >> 100 mg/ml
Glucose 5% 1047
Compatible
injectable Tobramycin sulfate 5 mg/ml
injectable Melphalan 0.1 mg/ml
Chlorure de sodium 0,9% 169
Compatible
injectable Tobramycin sulfate 40 mg/ml
injectable Meropenem 50 mg/ml
Eau pour préparation injectable 4319
Compatible
injectable Tobramycin sulfate 40 mg/ml
injectable Meropenem 50 mg/ml
4389
Compatible
injectable Tobramycin sulfate 0.8 mg/ml
injectable Metronidazole 5 mg/ml
Aucun 1035
Compatible
injectable Tobramycin sulfate
injectable Metronidazole
3594
Compatible
injectable Tobramycin sulfate 10 mg/ml
injectable Midazolam hydrochloride 1 mg/ml
Glucose 5% 176
Compatible
injectable Tobramycin sulfate 1.6 >> 2.4 mg/ml
injectable Morphine sulfate 1 mg/ml
Chlorure de sodium 0,9% 406
Compatible
injectable Tobramycin sulfate 0.8 mg/ml
injectable Morphine sulfate 1 mg/ml
Glucose 5% 405
Compatible
injectable Tobramycin sulfate 40 mg/ml
injectable Naloxone hydrochloride 0.4 mg/ml
Aucun 3408
Compatible
injectable Tobramycin sulfate 0.8 mg/ml
injectable Nicardipine hydrochloride 0.1 mg/ml
Chlorure de sodium 0,9% 1490
Compatible
injectable Tobramycin sulfate 0.8 mg/ml
injectable Nicardipine hydrochloride 0.1 mg/ml
Glucose 5% 1490
Compatible
injectable Tobramycin sulfate 0,8 mg/ml
injectable Ofloxacin 2 mg/ml
Aucun 889
Compatible
injectable Tobramycin sulfate 5 mg/ml
injectable Oritavancin 0.8 >>2 mg/ml
Glucose 5% 3152
Précipitation immédiate Incompatible
injectable Tobramycin sulfate
injectable Pantoprazole sodium
2090
Compatible
injectable Tobramycin sulfate 40 mg/ml
injectable Paracetamol 10 mg/ml
4742
Précipitation immédiate Incompatible
injectable Tobramycin sulfate 5 mg/ml
injectable Pemetrexed disodium 20 mg/ml
Chlorure de sodium 0,9% 1953
Compatible
injectable Tobramycin sulfate 0.8 mg/ml
injectable Pethidine hydrochloride 10 mg/ml
Glucose 5% 405
Compatible
injectable Tobramycin sulfate 1.6 >> 2.4 mg/ml
injectable Pethidine hydrochloride 10 mg/ml
Chlorure de sodium 0,9% 406
Instabilité chimique Incompatible
injectable Tobramycin sulfate
injectable Piperacillin sodium
1168
Instabilité chimique Incompatible
injectable Tobramycin sulfate
injectable Piperacillin sodium / tazobactam
3586
Instabilité de l'émulsion immédiate Incompatible
injectable Tobramycin sulfate 2 mg/ml
injectable Propofol
660
Précipitation immédiate Incompatible
injectable Tobramycin sulfate 5 mg/ml
injectable Propofol 10 mg/ml
Aucun 300
Compatible
injectable Tobramycin sulfate 5 mg/ml
injectable Remifentanil hydrochloride 25 & 250 µg/ml
Chlorure de sodium 0,9% 59
Précipitation immédiate Incompatible
injectable Tobramycin sulfate 40 mg/ml
injectable Salbutamol sulfate 1 mg/ml
Aucun 3216
Précipitation en 4 heures Incompatible
injectable Tobramycin sulfate 5 mg/ml
injectable Sargramostim 10 µg/ml
Chlorure de sodium 0,9% 335
Compatible
injectable Tobramycin sulfate 2,4 mg/ml
injectable Sodium bicarbonate 40 mg/ml
Aucun 3122
Compatible
injectable Tobramycin sulfate 5 mg/ml
injectable Sulbactam/durlobactam 15/15 mg/ml
Chlorure de sodium 0,9% 4801
Compatible
injectable Tobramycin sulfate 40 mg/ml
injectable Tacrolimus 1000 µg/ml
Chlorure de sodium 0,9% 479
Turbidité immédiate Incompatible
injectable Tobramycin sulfate 5 mg/ml
injectable Tedizolid phosphate 0.8 mg/ml
Chlorure de sodium 0,9% 3827
Incompatibilité non précisée Incompatible
injectable Tobramycin sulfate
injectable Teicoplanine
3656
Compatible
injectable Tobramycin sulfate 5 mg/ml
injectable Telavancin hydrochloride 7.5 mg/ml
Chlorure de sodium 0,9% 3254
Compatible
injectable Tobramycin sulfate 5 mg/ml
injectable Telavancin hydrochloride 7.5 mg/ml
Glucose 5% 3254
Compatible
injectable Tobramycin sulfate 6 mg/ml
injectable Temocilline 83.33 mg/ml
Eau pour préparation injectable 2231
Incompatibilité non précisée Incompatible
injectable Tobramycin sulfate
injectable Temocilline
2296
Compatible
injectable Tobramycin sulfate 5 mg/ml
injectable Teniposide 0.1 mg/ml
Glucose 5% 905
Compatible
injectable Tobramycin sulfate 0.8 mg/ml
injectable Theophylline 4 mg/ml
Aucun 317
Précipitation immédiate Incompatible
injectable Tobramycin sulfate 40 mg/ml
injectable Thiopental sodium 25 mg/ml
Chlorure de sodium 0,9% 3767
Compatible
injectable Tobramycin sulfate 5 mg/ml
injectable Thiotepa 1 mg/ml
Glucose 5% 249
Compatible
injectable Tobramycin sulfate
Chlorure de sodium 0,9% 5086
Instabilité chimique Incompatible
injectable Tobramycin sulfate
injectable Ticarcillin / clavulanic acid
3587
Compatible
injectable Tobramycin sulfate
injectable Tigecycline
Chlorure de sodium 0,9% 3332
Compatible
injectable Tobramycin sulfate 6 mg/ml
injectable Vancomycin hydrochloride 10 mg/ml
Glucose 5% 3385
Compatible
injectable Tobramycin sulfate 0.16 mg/ml
injectable Verapamil hydrochloride 0.08 mg/ml
Chlorure de sodium 0,9% 1057
Compatible
injectable Tobramycin sulfate 0.16 mg/ml
injectable Verapamil hydrochloride 0.08 mg/ml
Glucose 5% 1057
Compatible
injectable Tobramycin sulfate 5 mg/ml
injectable Vinorelbine tartrate 1 mg/ml
Chlorure de sodium 0,9% 84
Compatible
injectable Tobramycin sulfate 2 mg/ml
injectable Zidovudine 4 mg/ml
Glucose 5% 337

  Mentions Légales