Viimeisin päivitys :
03/02/2026
Antibiootit   Tobramycin sulfate  
Injektioneste
Aerosoli Oraaliliuos Silmätipat
Stabilius liuoksessa Stabilius seoksissa Tekijät, jotka vaikuttavat stabiliuteen Yhteensopivuus Antotapa Viitteet pdf
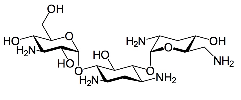
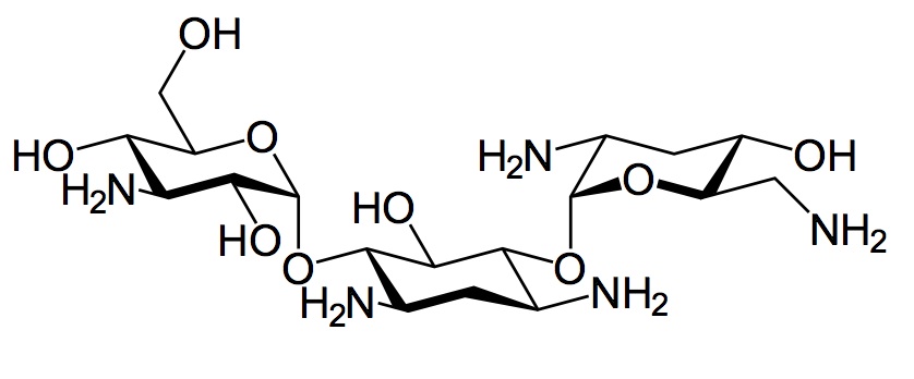
   Kemiallinen rakenne  

Kauppanimi   Kauppanimi     

Trade names are indicative and excipients composition can be different depending on the country and manufacturers

Bactob Intia
Beltob Intia
Bramicil Italia
Brulamycin Malesia, Slovenia, Unkari
Eltol Intia
Fytobra Intia
Gernebcin Saksa
Komitob Intia
Nebcin Egypti, Iso-Britannia, Kreikka, New Zealand, Saudi-Arabia, Yhdistyneet arabiemiirikunnat
Nebcina Marokko, Norja, Ruotsi, Tanska
Nebcine Marokko, Ranska, Slovenia
Nebicina Italia
Obracin Belgia, Hollanti, Luxemburg, Sveitsi
Tobracin Brasilia, Egypti, Saudi-Arabia
Tobramicina Argentiina, Brasilia, Chile, Ecuador, Espanja, Italia, Kolumbia, Portugali
Tobramina Brasilia
Tobramycin Australia, Irlanti, Iso-Britannia, Kanada, Norja, Saksa, Saudi-Arabia, Yhdysvallat
Tobramycine Hollanti, Irlanti, Ranska
Tobrasix Itävalta
Tobrazid Saksa
Yhteensopivuus   Injektioneste   Yhteensopivuus : Tobramycin sulfate              
Tämä näyttö osoittaa yhteensopivuuden tai yhteensopimattomuuden yhteensopimattomuuden tyypin kanssa (saostuminen, värinmuutos, emulsiomuutos jne.). Tässä esitetty yhteensopivuus on useimmissa tapauksissa vain fysikaalinen, ja kunkin molekyylin kemiallista stabiilisuutta arvioidaan harvoin. Näiden seosten arviointia tutkittiin mahdollisuuden antaa Y-kohta potilaalle. Näitä tietoja ei voida käyttää seosten valmistamiseen etukäteen pusseissa tai ruiskuissa. Tämäntyyppiset tiedot ovat saatavilla "Stabiilisuus seoksessa" -näytössä.
Yhdiste Liuotin Viitteet
Yhteensopiva
Injektioneste Tobramycin sulfate 1.6 mg/ml
Injektioneste Aciclovir sodium 5 mg/ml
Glukoosi 5% 336
Sade 1 tunnin kuluttua yhteensopimaton
Injektioneste Tobramycin sulfate 5 mg/ml
Injektioneste Allopurinol sodium 3 mg/ml
Natriumkloridi 0,9% 307
Yhteensopiva
Injektioneste Tobramycin sulfate 1 mg/ml
Injektioneste Alprostadil 15 µg/ml
3201
Yhteensopiva
Injektioneste Tobramycin sulfate 5 mg/ml
Injektioneste Amifostine 10 mg/ml
Glukoosi 5% 3
Yhteensopiva
Injektioneste Tobramycin sulfate 5 mg/ml
Injektioneste Amiodarone hydrochloride 6 mg/ml
Glukoosi 5% 1611
Yhteensopiva
Injektioneste Tobramycin sulfate 0.8 mg/ml
Injektioneste Amiodarone hydrochloride 4 mg/ml
Natriumkloridi 0,9% 385
Yhteensopiva
Injektioneste Tobramycin sulfate 0.8 mg/ml
Injektioneste Amiodarone hydrochloride 4 mg/ml
Glukoosi 5% 385
Kemiallinen epävakaus yhteensopimaton
Injektioneste Tobramycin sulfate
Injektioneste Amoxicillin sodium
3527
Määrittelemätön yhteensopimattomuus yhteensopimaton
Injektioneste Tobramycin sulfate
Injektioneste Amoxicillin sodium / clavulanic acid
3545
Yhteensopiva
Injektioneste Tobramycin sulfate 40 mg/ml
Injektioneste Amoxicillin sodium / clavulanic acid 100/10 mg/ml
3824
Välittömät sateet yhteensopimaton
Injektioneste Tobramycin sulfate 5 mg/ml
Injektioneste Amphotericin B cholesteryl sulfate complex 0.83 mg/ml
Glukoosi 5% 921
Yhteensopiva
Injektioneste Tobramycin sulfate 5 mg/ml
Injektioneste Amsacrine 1 mg/ml
Glukoosi 5% 253
Yhteensopiva
Injektioneste Tobramycin sulfate 5 mg/ml
Injektioneste Anidulafungin 0.5 mg/ml
Glukoosi 5% 1982
Välittömät sateet yhteensopimaton
Injektioneste Tobramycin sulfate 21 mg/ml
Injektioneste Azithromycine 2 mg/ml
Natriumkloridi 0,9% 1800
Yhteensopiva
Injektioneste Tobramycin sulfate 0.2 & 0.8 mg/ml
Injektioneste Aztreonam 10 & 20 mg/ml
Glukoosi 5% 19
Yhteensopiva
Injektioneste Tobramycin sulfate 0.2 & 0.8 mg/ml
Injektioneste Aztreonam 10 & 20 mg/ml
Natriumkloridi 0,9% 19
Yhteensopiva
Injektioneste Tobramycin sulfate 5 mg/ml
Injektioneste Aztreonam 40 mg/ml
Glukoosi 5% 99
Yhteensopiva
Injektioneste Tobramycin sulfate 5 mg/ml
Injektioneste Bivalirudin 5 mg/ml
Glukoosi 5% 1713
Yhteensopiva
Injektioneste Tobramycin sulfate 40 mg/ml
Injektioneste Caffeine 10 mg/ml
Ei mikään 3964
yhteensopimaton
Injektioneste Tobramycin sulfate
Injektioneste Calcium gluconate
4964
Määrittelemätön yhteensopimattomuus yhteensopimaton
Injektioneste Tobramycin sulfate
Injektioneste Calcium gluconate
3644
Yhteensopiva
Injektioneste Tobramycin sulfate 1 mg/ml
Injektioneste Calcium gluconate 33 mg/ml
Glukoosi 5% 503
Yhteensopiva
Injektioneste Tobramycin sulfate 5 mg/ml
Injektioneste Calcium gluconate 16 mg/ml
Glukoosi 5% 503
Yhteensopiva
Injektioneste Tobramycin sulfate 5 mg/ml
Injektioneste Caspofungin acetate 0,7 mg/ml
Natriumkloridi 0,9% 2247
Välittömät sateet yhteensopimaton
Injektioneste Tobramycin sulfate
Injektioneste Cefamandole nafate 2 >> 100 mg/ml
Natriumkloridi 0,9% 612
Välittömät sateet yhteensopimaton
Injektioneste Tobramycin sulfate
Injektioneste Cefamandole nafate 2 >> 100 mg/ml
Glukoosi 5% 612
Määrittelemätön yhteensopimattomuus yhteensopimaton
Injektioneste Tobramycin sulfate
Injektioneste Cefamandole nafate
3546
Yhteensopiva
Injektioneste Tobramycin sulfate 6 mg/ml
Injektioneste Cefepime dihydrochloride 125 mg/ml
Injektionesteisiin käytettävä vesi 2141
Määrittelemätön yhteensopimattomuus yhteensopimaton
Injektioneste Tobramycin sulfate
Injektioneste Cefepime dihydrochloride
3548
Välittömät sateet yhteensopimaton
Injektioneste Tobramycin sulfate 10 mg/ml
Injektioneste Cefiderocol sulfate tosylate 20 mg/mL
Glukoosi 5% 4528
Välittömät sateet yhteensopimaton
Injektioneste Tobramycin sulfate 10 mg/ml
Injektioneste Cefiderocol sulfate tosylate 20 mg/mL
Natriumkloridi 0,9% 4528
Välittömät sateet yhteensopimaton
Injektioneste Tobramycin sulfate 0.8 mg/ml
Injektioneste Cefoperazone sodium 10 & 40 mg/ml
Glukoosi 5% 1206
Määrittelemätön yhteensopimattomuus yhteensopimaton
Injektioneste Tobramycin sulfate
Injektioneste Cefoperazone sodium
3544
Määrittelemätön yhteensopimattomuus yhteensopimaton
Injektioneste Tobramycin sulfate
Injektioneste Cefpirome sulfate
3677
Yhteensopiva
Injektioneste Tobramycin sulfate 5 mg/ml
Injektioneste Ceftaroline fosamil 2,22 mg/ml
Natriumkloridi 0,9% 3249
Yhteensopiva
Injektioneste Tobramycin sulfate 5 mg/ml
Injektioneste Ceftaroline fosamil 2,22 mg/ml
Glukoosi 5% 3249
Yhteensopiva
Injektioneste Tobramycin sulfate 5 mg/ml
Injektioneste Ceftaroline fosamil 2,22 mg/ml
Ringerlaktaattiliuos 3249
Yhteensopiva
Injektioneste Tobramycin sulfate 6 mg/ml
Injektioneste Ceftazidime 83.3 mg/ml
1759
Määrittelemätön yhteensopimattomuus yhteensopimaton
Injektioneste Tobramycin sulfate
Injektioneste Ceftazidime
3543
Yhteensopiva
Injektioneste Tobramycin sulfate 0.008 mg/ml
Injektioneste Ceftazidime 0.125 mg/ml
Dianéal® PD2 2.5% glucose (Baxter) 2369
Määrittelemätön yhteensopimattomuus yhteensopimaton
Injektioneste Tobramycin sulfate
Injektioneste Ceftazidime
3883
Yhteensopiva
Injektioneste Tobramycin sulfate 6 mg/ml
Injektioneste Ceftazidime 125 mg/ml
Injektionesteisiin käytettävä vesi 2141
Välittömät sateet yhteensopimaton
Injektioneste Tobramycin sulfate 5 mg/ml
Injektioneste Ceftobiprole medocaril sodium 2 mg/ml
Ringerlaktaattiliuos 2269
Määrittelemätön yhteensopimattomuus yhteensopimaton
Injektioneste Tobramycin sulfate
Injektioneste Ceftobiprole medocaril sodium
4650
Välittömät sateet yhteensopimaton
Injektioneste Tobramycin sulfate 5 mg/ml
Injektioneste Ceftobiprole medocaril sodium 2 mg/ml
Glukoosi 5% 2269
Välittömät sateet yhteensopimaton
Injektioneste Tobramycin sulfate 5 mg/ml
Injektioneste Ceftobiprole medocaril sodium 2 mg/ml
Natriumkloridi 0,9% 2269
Yhteensopiva
Injektioneste Tobramycin sulfate 5 mg/ml
Injektioneste Ceftolozane / tazobactam 10/5 mg/ml
Glukoosi 5% 3828
Yhteensopiva
Injektioneste Tobramycin sulfate 5 mg/ml
Injektioneste Ceftolozane / tazobactam 10/5 mg/ml
Natriumkloridi 0,9% 3828
Määrittelemätön yhteensopimattomuus yhteensopimaton
Injektioneste Tobramycin sulfate
Injektioneste Ceftriaxone disodium
3523
Määrittelemätön yhteensopimattomuus yhteensopimaton
Injektioneste Tobramycin sulfate
Injektioneste Cefuroxime sodium
3687
Yhteensopiva
Injektioneste Tobramycin sulfate 1.6 mg/ml
Injektioneste Ciprofloxacin lactate 2 mg/ml
Glukoosi 5% 285
Yhteensopiva
Injektioneste Tobramycin sulfate 1 mg/ml
Injektioneste Ciprofloxacin lactate 1.5 mg/ml
Glukoosi 5% 434
Yhteensopiva
Injektioneste Tobramycin sulfate 1 mg/ml
Injektioneste Ciprofloxacin lactate 1.5 mg/ml
Natriumkloridi 0,9% 434
Yhteensopiva
Injektioneste Tobramycin sulfate 1,6 mg/ml
Injektioneste Ciprofloxacin lactate 1 mg/ml
Glukoosi 5% 500
Yhteensopiva
Injektioneste Tobramycin sulfate 1,6 mg/ml
Injektioneste Ciprofloxacin lactate 1 mg/ml
Natriumkloridi 0,9% 500
Yhteensopiva
Injektioneste Tobramycin sulfate 5 mg/ml
Injektioneste Cisatracurium besylate 0.1 >> 5 mg/ml
Glukoosi 5% 299
Kemiallinen epävakaus yhteensopimaton
Injektioneste Tobramycin sulfate
Injektioneste Cisplatin
3578
Yhteensopiva
Injektioneste Tobramycin sulfate
Injektioneste Clindamycin phosphate
Glukoosi 5% 3526
Yhteensopiva
Injektioneste Tobramycin sulfate
Injektioneste Clindamycin phosphate
Natriumkloridi 0,9% 3526
Välittömät sateet yhteensopimaton
Injektioneste Tobramycin sulfate 12 mg/ml
Injektioneste Clindamycin phosphate 90 mg/ml
Natriumkloridi 0,9% 639
Välittömät sateet yhteensopimaton
Injektioneste Tobramycin sulfate 40 mg/ml
Injektioneste Cloxacillin sodium 100 mg/ml
Injektionesteisiin käytettävä vesi 3012
Välittömät sateet yhteensopimaton
Injektioneste Tobramycin sulfate 10 mg/ml
Injektioneste Defibrotide 8 mg/ml
Natriumkloridi 0,9% 3728
Yhteensopiva
Injektioneste Tobramycin sulfate 5 mg/ml
Injektioneste Dexmedetomidine 4 µg/ml
Natriumkloridi 0,9% 1712
Yhteensopiva
Injektioneste Tobramycin sulfate 2.4 & 40 mg/ml
Injektioneste Diltiazem hydrochloride 5 mg/ml
Natriumkloridi 0,9% 198
Yhteensopiva
Injektioneste Tobramycin sulfate
Injektioneste Dimenhydrinate
2087
Yhteensopiva
Injektioneste Tobramycin sulfate 5 mg/ml
Injektioneste Docetaxel 0.9 mg/ml
Glukoosi 5% 1754
Yhteensopiva
Injektioneste Tobramycin sulfate 40 mg/ml
Parenteraalinen (lipidien) 673
Yhteensopiva
Injektioneste Tobramycin sulfate 10 mg/ml
Parenteraalisesti (rasva-free) 316
Yhteensopiva
Injektioneste Tobramycin sulfate 5 mg/ml
Parenteraalinen (lipidien) 1415
Yhteensopiva
Injektioneste Tobramycin sulfate 5 mg/ml
Injektioneste Doripenem 5 mg/ml
Glukoosi 5% 2262
Yhteensopiva
Injektioneste Tobramycin sulfate 0,05 mg/ml
Parenteraalisesti (rasva-free) 4445
Yhteensopiva
Injektioneste Tobramycin sulfate 5 mg/ml
Injektioneste Doripenem 5 mg/ml
Natriumkloridi 0,9% 2262
Yhteensopiva
Injektioneste Tobramycin sulfate 5 mg/ml
Injektioneste Doxorubicin hydrochloride liposome peg 0.4 mg/ml
Glukoosi 5% 251
Yhteensopiva
Injektioneste Tobramycin sulfate 5 mg/ml
Injektioneste Eravacycline 0,6 mg/ml
Natriumkloridi 0,9% 4434
Yhteensopiva
Injektioneste Tobramycin sulfate 5 mg/ml
Injektioneste Fenoldopam mesylate 80 µg/ml
Natriumkloridi 0,9% 1803
Yhteensopiva
Injektioneste Tobramycin sulfate 10 mg/ml
Injektioneste Fentanyl citrate 50 µg/ml
Glukoosi 5% 63
Yhteensopiva
Injektioneste Tobramycin sulfate 10 & 40 mg/ml
Parenteraalisesti (rasva-free) 999
Yhteensopiva
Injektioneste Tobramycin sulfate 0.8 mg/ml
Injektioneste Enalaprilate 0.05 mg/ml
Natriumkloridi 0,9% 1315
Määrittelemätön yhteensopimattomuus yhteensopimaton
Injektioneste Tobramycin sulfate
Injektioneste Erythromycin lactobionate
3674
Yhteensopiva
Injektioneste Tobramycin sulfate 0.8 mg/ml
Injektioneste Esmolol hydrochloride 10 mg/ml
Glukoosi 5% 384
Yhteensopiva
Injektioneste Tobramycin sulfate 1.6 mg/ml
Injektioneste Filgrastim 40 µg/ml
Glukoosi 5% 104
Yhteensopiva
Injektioneste Tobramycin sulfate 5 mg/ml
Parenteraalisesti (rasva-free) 301
Yhteensopiva
Injektioneste Tobramycin sulfate 5 mg/ml
Injektioneste Etoposide phosphate 5 mg/ml
Glukoosi 5% 1410
Yhteensopiva
Injektioneste Tobramycin sulfate 5 mg/ml
Injektioneste Filgrastim 30 µg/ml
Glukoosi 5% 244
Yhteensopiva
Injektioneste Tobramycin sulfate 40 mg/ml
Ringerlaktaattiliuos 4603
Välittömät sateet yhteensopimaton
Injektioneste Tobramycin sulfate
Injektioneste Flucloxacillin sodium
3522
Sade 7 tunnin kuluttua yhteensopimaton
Injektioneste Tobramycin sulfate 8 mg/ml
Injektioneste Flucloxacillin sodium 20 mg/ml
Natriumkloridi 0,9% 1232
Yhteensopiva
Injektioneste Tobramycin sulfate 40 mg/ml
Injektioneste Fluconazole 2 mg/ml
Natriumkloridi 0,9% 496
Yhteensopiva
Injektioneste Tobramycin sulfate 5 mg/ml
Injektioneste Fludarabine phosphate 1 mg/ml
Glukoosi 5% 492
Yhteensopiva
Injektioneste Tobramycin sulfate 40 mg/ml
Injektioneste Foscarnet sodium 24 mg/ml
Ei mikään 73
Yhteensopiva
Injektioneste Tobramycin sulfate 5 mg/ml
Injektioneste Fosfomycin 30 mg/ml
Glukoosi 5% 4055
Sade 7 tunnin kuluttua yhteensopimaton
Injektioneste Tobramycin sulfate 8 mg/ml
Injektioneste Furosemide 1 mg/ml
Natriumkloridi 0,9% 1232
Välittömät sateet yhteensopimaton
Injektioneste Tobramycin sulfate 1,6 mg/ml
Injektioneste Furosemide 0,8 mg/ml
Glukoosi 5% 367
Välittömät sateet yhteensopimaton
Injektioneste Tobramycin sulfate 1,6 mg/ml
Injektioneste Furosemide 0,8 mg/ml
Natriumkloridi 0,9% 367
Määrittelemätön yhteensopimattomuus yhteensopimaton
Injektioneste Tobramycin sulfate 0.8 mg/ml
Injektioneste Heparin sodium 50 UI/ml
Ei mikään 317
Määrittelemätön yhteensopimattomuus yhteensopimaton
Injektioneste Tobramycin sulfate
Injektioneste Heparin sodium
3540
Yhteensopiva
Injektioneste Tobramycin sulfate
Glukoosi 5% 5086
Yhteensopiva
Injektioneste Tobramycin sulfate 5 mg/ml
Injektioneste Fosfomycin 30 mg/ml
Natriumkloridi 0,9% 4055
Yhteensopiva
Injektioneste Tobramycin sulfate 5 mg/ml
Injektioneste Gemcitabine hydrochloride 10 mg/ml
Natriumkloridi 0,9% 1423
Yhteensopiva
Injektioneste Tobramycin sulfate 5 mg/ml
Injektioneste Granisetron hydrochloride 0.05 mg/ml
Glukoosi 5% 182
Yhteensopiva
Injektioneste Tobramycin sulfate 5 mg/ml
Injektioneste Hetastarch 60 mg/ml
spesifiseen liuottimeen 1721
Välittömät sateet yhteensopimaton
Injektioneste Tobramycin sulfate 0.8 mg/ml
Injektioneste Hetastarch 60 mg/ml
Natriumkloridi 0,9% 472
Yhteensopiva
Injektioneste Tobramycin sulfate 0.8 mg/ml
Injektioneste Hydromorphone hydrochloride 0.2 mg/ml
Glukoosi 5% 405
Sademäärä 15 minuutin kuluttua yhteensopimaton
Injektioneste Tobramycin sulfate 1 mg/ml
Injektioneste Indomethacin sodium trihydrate 0,5 & 1 mg/ml
Glukoosi 5% 1745
Välittömät sateet yhteensopimaton
Injektioneste Tobramycin sulfate 1 mg/ml
Injektioneste Indomethacin sodium trihydrate 0,5 & 1 mg/ml
Glukoosi 5% 494
Yhteensopiva
Injektioneste Tobramycin sulfate 1.6 & 2 mg/ml
Injektioneste Insulin 0.2 UI/ml
Natriumkloridi 0,9% 129
Yhteensopiva
Injektioneste Tobramycin sulfate 5 mg/ml
Injektioneste Isavuconazonium sulfate 1.5 mg/ml
Glukoosi 5% 3829
Yhteensopiva
Injektioneste Tobramycin sulfate 5 mg/ml
Injektioneste Isavuconazonium sulfate 1.5 mg/ml
Natriumkloridi 0,9% 3829
Yhteensopiva
Injektioneste Tobramycin sulfate 40 mg/ml
Injektioneste Ketamine hydrochloride 50 mg/ml
2109
Yhteensopiva
Injektioneste Tobramycin sulfate 0.8 mg/ml
Injektioneste Labetalol hydrochloride 1 mg/ml
Glukoosi 5% 386
Värinvaihto 4 tunnin kuluttua yhteensopimaton
Injektioneste Tobramycin sulfate 5 mg/ml
Injektioneste Lansoprazole 0.55 mg/ml
Natriumkloridi 0,9% 1625
Yhteensopiva
Injektioneste Tobramycin sulfate 5 mg/ml
Injektioneste Linezolid 2 mg/ml
Ei mikään 1925
Yhteensopiva
Injektioneste Tobramycin sulfate 0,80 mg/ml
Injektioneste Linezolid 1,80 mg/ml
2353
Yhteensopiva
Injektioneste Tobramycin sulfate 0.8 mg/ml
Injektioneste Magnesium sulfate 16.67 >> 100 mg/ml
Glukoosi 5% 1047
Yhteensopiva
Injektioneste Tobramycin sulfate 5 mg/ml
Injektioneste Melphalan 0.1 mg/ml
Natriumkloridi 0,9% 169
Yhteensopiva
Injektioneste Tobramycin sulfate 40 mg/ml
Injektioneste Meropenem 50 mg/ml
Injektionesteisiin käytettävä vesi 4319
Yhteensopiva
Injektioneste Tobramycin sulfate 40 mg/ml
Injektioneste Meropenem 50 mg/ml
4389
Yhteensopiva
Injektioneste Tobramycin sulfate 0.8 mg/ml
Injektioneste Metronidazole 5 mg/ml
Ei mikään 1035
Yhteensopiva
Injektioneste Tobramycin sulfate
Injektioneste Metronidazole
3594
Yhteensopiva
Injektioneste Tobramycin sulfate 10 mg/ml
Injektioneste Midazolam hydrochloride 1 mg/ml
Glukoosi 5% 176
Yhteensopiva
Injektioneste Tobramycin sulfate 1.6 >> 2.4 mg/ml
Injektioneste Morphine sulfate 1 mg/ml
Natriumkloridi 0,9% 406
Yhteensopiva
Injektioneste Tobramycin sulfate 0.8 mg/ml
Injektioneste Morphine sulfate 1 mg/ml
Glukoosi 5% 405
Yhteensopiva
Injektioneste Tobramycin sulfate 40 mg/ml
Injektioneste Naloxone hydrochloride 0.4 mg/ml
Ei mikään 3408
Yhteensopiva
Injektioneste Tobramycin sulfate 0.8 mg/ml
Injektioneste Nicardipine hydrochloride 0.1 mg/ml
Natriumkloridi 0,9% 1490
Yhteensopiva
Injektioneste Tobramycin sulfate 0.8 mg/ml
Injektioneste Nicardipine hydrochloride 0.1 mg/ml
Glukoosi 5% 1490
Yhteensopiva
Injektioneste Tobramycin sulfate 0,8 mg/ml
Injektioneste Ofloxacin 2 mg/ml
Ei mikään 889
Yhteensopiva
Injektioneste Tobramycin sulfate 5 mg/ml
Injektioneste Oritavancin 0.8 >>2 mg/ml
Glukoosi 5% 3152
Välittömät sateet yhteensopimaton
Injektioneste Tobramycin sulfate
Injektioneste Pantoprazole sodium
2090
Yhteensopiva
Injektioneste Tobramycin sulfate 40 mg/ml
Injektioneste Paracetamol 10 mg/ml
4742
Välittömät sateet yhteensopimaton
Injektioneste Tobramycin sulfate 5 mg/ml
Injektioneste Pemetrexed disodium 20 mg/ml
Natriumkloridi 0,9% 1953
Yhteensopiva
Injektioneste Tobramycin sulfate 0.8 mg/ml
Injektioneste Pethidine hydrochloride 10 mg/ml
Glukoosi 5% 405
Yhteensopiva
Injektioneste Tobramycin sulfate 1.6 >> 2.4 mg/ml
Injektioneste Pethidine hydrochloride 10 mg/ml
Natriumkloridi 0,9% 406
Kemiallinen epävakaus yhteensopimaton
Injektioneste Tobramycin sulfate
Injektioneste Piperacillin sodium
1168
Kemiallinen epävakaus yhteensopimaton
Injektioneste Tobramycin sulfate
Injektioneste Piperacillin sodium / tazobactam
3586
Emulsion välitön epävakaus yhteensopimaton
Injektioneste Tobramycin sulfate 2 mg/ml
Injektioneste Propofol
660
Välittömät sateet yhteensopimaton
Injektioneste Tobramycin sulfate 5 mg/ml
Injektioneste Propofol 10 mg/ml
Ei mikään 300
Yhteensopiva
Injektioneste Tobramycin sulfate 5 mg/ml
Injektioneste Remifentanil hydrochloride 25 & 250 µg/ml
Natriumkloridi 0,9% 59
Välittömät sateet yhteensopimaton
Injektioneste Tobramycin sulfate 40 mg/ml
Injektioneste Salbutamol sulfate 1 mg/ml
Ei mikään 3216
Sade 4 tunnin kuluttua yhteensopimaton
Injektioneste Tobramycin sulfate 5 mg/ml
Injektioneste Sargramostim 10 µg/ml
Natriumkloridi 0,9% 335
Yhteensopiva
Injektioneste Tobramycin sulfate 2,4 mg/ml
Injektioneste Sodium bicarbonate 40 mg/ml
Ei mikään 3122
Yhteensopiva
Injektioneste Tobramycin sulfate 5 mg/ml
Injektioneste Sulbactam/durlobactam 15/15 mg/ml
Natriumkloridi 0,9% 4801
Yhteensopiva
Injektioneste Tobramycin sulfate 40 mg/ml
Injektioneste Tacrolimus 1000 µg/ml
Natriumkloridi 0,9% 479
Välitön sameus yhteensopimaton
Injektioneste Tobramycin sulfate 5 mg/ml
Injektioneste Tedizolid phosphate 0.8 mg/ml
Natriumkloridi 0,9% 3827
Määrittelemätön yhteensopimattomuus yhteensopimaton
Injektioneste Tobramycin sulfate
Injektioneste Teicoplanine
3656
Yhteensopiva
Injektioneste Tobramycin sulfate 5 mg/ml
Injektioneste Telavancin hydrochloride 7.5 mg/ml
Natriumkloridi 0,9% 3254
Yhteensopiva
Injektioneste Tobramycin sulfate 5 mg/ml
Injektioneste Telavancin hydrochloride 7.5 mg/ml
Glukoosi 5% 3254
Yhteensopiva
Injektioneste Tobramycin sulfate 6 mg/ml
Injektioneste Temocilline 83.33 mg/ml
Injektionesteisiin käytettävä vesi 2231
Määrittelemätön yhteensopimattomuus yhteensopimaton
Injektioneste Tobramycin sulfate
Injektioneste Temocilline
2296
Yhteensopiva
Injektioneste Tobramycin sulfate 5 mg/ml
Injektioneste Teniposide 0.1 mg/ml
Glukoosi 5% 905
Yhteensopiva
Injektioneste Tobramycin sulfate 0.8 mg/ml
Injektioneste Theophylline 4 mg/ml
Ei mikään 317
Välittömät sateet yhteensopimaton
Injektioneste Tobramycin sulfate 40 mg/ml
Injektioneste Thiopental sodium 25 mg/ml
Natriumkloridi 0,9% 3767
Yhteensopiva
Injektioneste Tobramycin sulfate 5 mg/ml
Injektioneste Thiotepa 1 mg/ml
Glukoosi 5% 249
Yhteensopiva
Injektioneste Tobramycin sulfate
Natriumkloridi 0,9% 5086
Kemiallinen epävakaus yhteensopimaton
Injektioneste Tobramycin sulfate
Injektioneste Ticarcillin / clavulanic acid
3587
Yhteensopiva
Injektioneste Tobramycin sulfate
Injektioneste Tigecycline
Natriumkloridi 0,9% 3332
Yhteensopiva
Injektioneste Tobramycin sulfate 6 mg/ml
Injektioneste Vancomycin hydrochloride 10 mg/ml
Glukoosi 5% 3385
Yhteensopiva
Injektioneste Tobramycin sulfate 0.16 mg/ml
Injektioneste Verapamil hydrochloride 0.08 mg/ml
Natriumkloridi 0,9% 1057
Yhteensopiva
Injektioneste Tobramycin sulfate 0.16 mg/ml
Injektioneste Verapamil hydrochloride 0.08 mg/ml
Glukoosi 5% 1057
Yhteensopiva
Injektioneste Tobramycin sulfate 5 mg/ml
Injektioneste Vinorelbine tartrate 1 mg/ml
Natriumkloridi 0,9% 84
Yhteensopiva
Injektioneste Tobramycin sulfate 2 mg/ml
Injektioneste Zidovudine 4 mg/ml
Glukoosi 5% 337

  Mentions Légales