Senaste uppdateringen :
18/03/2026
Antibiotikum   Tobramycin sulfate  
injektion
Aerosol ögondroppar Oral lösning
Lösningars stabilitet Stabilitet i blandningar Faktorer som påverkar stabiliteten Kompatibilitet Administreringssätt Hänvisningar pdf
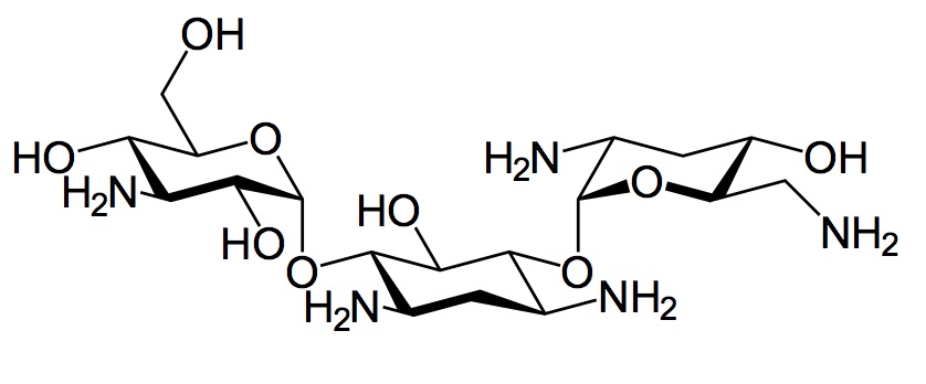
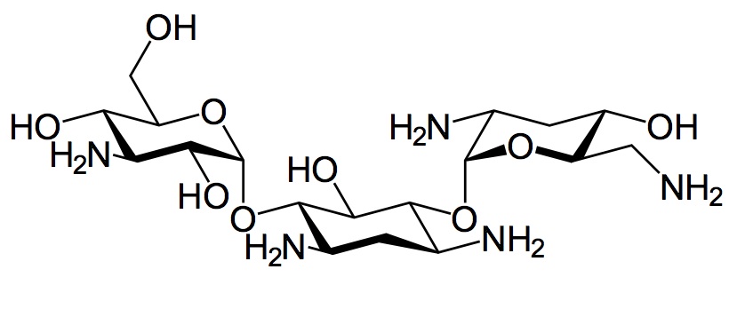
   Molekylstruktur  

Varunamn   Varunamn     

Angivna handelsnamn på läkemedel är enbart vägledande då formulering inklusive hjälpämnen kan variera mellan länder och tillverkare

Bactob Indien
Beltob Indien
Bramicil Italien
Brulamycin Malaysia, Slovenien, Ungern
Eltol Indien
Fytobra Indien
Gernebcin Tyskland
Komitob Indien
Nebcin Egypten, Förenade Arabemiraten, Grekland, nya Zeeland, Saudi-Arabien, Storbritannien
Nebcina Danmark, Marocko, Norge, Sverige
Nebcine Frankrike, Marocko, Slovenien
Nebicina Italien
Obracin Belgien, Luxemburg, Nederländerna, Schweiz
Tobracin Brasilien, Egypten, Saudi-Arabien
Tobramicina Argentina, Brasilien, Chile, Colombia, Ecuador, Italien, Portugal, Spanien
Tobramina Brasilien
Tobramycin Australien, Förenta Staterna, Irland, Kanada, Norge, Saudi-Arabien, Storbritannien, Tyskland
Tobramycine Frankrike, Irland, Nederländerna
Tobrasix Österrike
Tobrazid Tyskland
Kompatibilitet   injektion   Kompatibilitet : Tobramycin sulfate              
Den här skärmen visar kompatibiliteten eller inkompatibiliteten med, i detta fall, typen av inkompatibilitet (utfällning, färgförändring, modifiering av en emulsion, etc.). De kompatibiliteter som visas här är oftast endast fysiska, varvid den kemiska stabiliteten för varje molekyl sällan utvärderas. Utvärderingen av dessa blandningar studerades för att överväga möjligheten för Y-platsadministrering till patienten. Dessa data kan inte användas för att göra blandningar i förväg i påsar eller sprutor. Denna typ av information finns på skärmen "Stabilitet i blandning".
Substans Lösningsmedel Hänvisningar
Kompatibel
injektion Tobramycin sulfate 1.6 mg/ml
injektion Aciclovir sodium 5 mg/ml
Glukos 5 % 336
Utfällning efter 1 timme Oförenlig
injektion Tobramycin sulfate 5 mg/ml
injektion Allopurinol sodium 3 mg/ml
Natriumklorid 0,9 % 307
Kompatibel
injektion Tobramycin sulfate 1 mg/ml
injektion Alprostadil 15 µg/ml
3201
Kompatibel
injektion Tobramycin sulfate 5 mg/ml
injektion Amifostine 10 mg/ml
Glukos 5 % 3
Kompatibel
injektion Tobramycin sulfate 5 mg/ml
injektion Amiodarone hydrochloride 6 mg/ml
Glukos 5 % 1611
Kompatibel
injektion Tobramycin sulfate 0.8 mg/ml
injektion Amiodarone hydrochloride 4 mg/ml
Natriumklorid 0,9 % 385
Kompatibel
injektion Tobramycin sulfate 0.8 mg/ml
injektion Amiodarone hydrochloride 4 mg/ml
Glukos 5 % 385
Kemisk instabilitet Oförenlig
injektion Tobramycin sulfate
injektion Amoxicillin sodium
3527
Ospecificerad inkompatibilitet Oförenlig
injektion Tobramycin sulfate
injektion Amoxicillin sodium / clavulanic acid
3545
Kompatibel
injektion Tobramycin sulfate 40 mg/ml
injektion Amoxicillin sodium / clavulanic acid 100/10 mg/ml
3824
Omedelbar nederbörd Oförenlig
injektion Tobramycin sulfate 5 mg/ml
injektion Amphotericin B cholesteryl sulfate complex 0.83 mg/ml
Glukos 5 % 921
Kompatibel
injektion Tobramycin sulfate 5 mg/ml
injektion Amsacrine 1 mg/ml
Glukos 5 % 253
Kompatibel
injektion Tobramycin sulfate 5 mg/ml
injektion Anidulafungin 0.5 mg/ml
Glukos 5 % 1982
Omedelbar nederbörd Oförenlig
injektion Tobramycin sulfate 21 mg/ml
injektion Azithromycine 2 mg/ml
Natriumklorid 0,9 % 1800
Kompatibel
injektion Tobramycin sulfate 0.2 & 0.8 mg/ml
injektion Aztreonam 10 & 20 mg/ml
Glukos 5 % 19
Kompatibel
injektion Tobramycin sulfate 0.2 & 0.8 mg/ml
injektion Aztreonam 10 & 20 mg/ml
Natriumklorid 0,9 % 19
Kompatibel
injektion Tobramycin sulfate 5 mg/ml
injektion Aztreonam 40 mg/ml
Glukos 5 % 99
Kompatibel
injektion Tobramycin sulfate 5 mg/ml
injektion Bivalirudin 5 mg/ml
Glukos 5 % 1713
Kompatibel
injektion Tobramycin sulfate 40 mg/ml
injektion Caffeine 10 mg/ml
Ingen 3964
Oförenlig
injektion Tobramycin sulfate
injektion Calcium gluconate
4964
Ospecificerad inkompatibilitet Oförenlig
injektion Tobramycin sulfate
injektion Calcium gluconate
3644
Kompatibel
injektion Tobramycin sulfate 1 mg/ml
injektion Calcium gluconate 33 mg/ml
Glukos 5 % 503
Kompatibel
injektion Tobramycin sulfate 5 mg/ml
injektion Calcium gluconate 16 mg/ml
Glukos 5 % 503
Kompatibel
injektion Tobramycin sulfate 5 mg/ml
injektion Caspofungin acetate 0,7 mg/ml
Natriumklorid 0,9 % 2247
Omedelbar nederbörd Oförenlig
injektion Tobramycin sulfate
injektion Cefamandole nafate 2 >> 100 mg/ml
Natriumklorid 0,9 % 612
Omedelbar nederbörd Oförenlig
injektion Tobramycin sulfate
injektion Cefamandole nafate 2 >> 100 mg/ml
Glukos 5 % 612
Ospecificerad inkompatibilitet Oförenlig
injektion Tobramycin sulfate
injektion Cefamandole nafate
3546
Kompatibel
injektion Tobramycin sulfate 6 mg/ml
injektion Cefepime dihydrochloride 125 mg/ml
Vatten för injektion 2141
Ospecificerad inkompatibilitet Oförenlig
injektion Tobramycin sulfate
injektion Cefepime dihydrochloride
3548
Omedelbar nederbörd Oförenlig
injektion Tobramycin sulfate 10 mg/ml
injektion Cefiderocol sulfate tosylate 20 mg/mL
Glukos 5 % 4528
Omedelbar nederbörd Oförenlig
injektion Tobramycin sulfate 10 mg/ml
injektion Cefiderocol sulfate tosylate 20 mg/mL
Natriumklorid 0,9 % 4528
Omedelbar nederbörd Oförenlig
injektion Tobramycin sulfate 0.8 mg/ml
injektion Cefoperazone sodium 10 & 40 mg/ml
Glukos 5 % 1206
Ospecificerad inkompatibilitet Oförenlig
injektion Tobramycin sulfate
injektion Cefoperazone sodium
3544
Ospecificerad inkompatibilitet Oförenlig
injektion Tobramycin sulfate
injektion Cefpirome sulfate
3677
Kompatibel
injektion Tobramycin sulfate 5 mg/ml
injektion Ceftaroline fosamil 2,22 mg/ml
Natriumklorid 0,9 % 3249
Kompatibel
injektion Tobramycin sulfate 5 mg/ml
injektion Ceftaroline fosamil 2,22 mg/ml
Glukos 5 % 3249
Kompatibel
injektion Tobramycin sulfate 5 mg/ml
injektion Ceftaroline fosamil 2,22 mg/ml
Ringer-laktatlösning 3249
Kompatibel
injektion Tobramycin sulfate 6 mg/ml
injektion Ceftazidime 83.3 mg/ml
1759
Ospecificerad inkompatibilitet Oförenlig
injektion Tobramycin sulfate
injektion Ceftazidime
3543
Kompatibel
injektion Tobramycin sulfate 0.008 mg/ml
injektion Ceftazidime 0.125 mg/ml
Dianéal® PD2 2.5% glucose (Baxter) 2369
Ospecificerad inkompatibilitet Oförenlig
injektion Tobramycin sulfate
injektion Ceftazidime
3883
Kompatibel
injektion Tobramycin sulfate 6 mg/ml
injektion Ceftazidime 125 mg/ml
Vatten för injektion 2141
Omedelbar nederbörd Oförenlig
injektion Tobramycin sulfate 5 mg/ml
injektion Ceftobiprole medocaril sodium 2 mg/ml
Ringer-laktatlösning 2269
Ospecificerad inkompatibilitet Oförenlig
injektion Tobramycin sulfate
injektion Ceftobiprole medocaril sodium
4650
Omedelbar nederbörd Oförenlig
injektion Tobramycin sulfate 5 mg/ml
injektion Ceftobiprole medocaril sodium 2 mg/ml
Glukos 5 % 2269
Omedelbar nederbörd Oförenlig
injektion Tobramycin sulfate 5 mg/ml
injektion Ceftobiprole medocaril sodium 2 mg/ml
Natriumklorid 0,9 % 2269
Kompatibel
injektion Tobramycin sulfate 5 mg/ml
injektion Ceftolozane / tazobactam 10/5 mg/ml
Glukos 5 % 3828
Kompatibel
injektion Tobramycin sulfate 5 mg/ml
injektion Ceftolozane / tazobactam 10/5 mg/ml
Natriumklorid 0,9 % 3828
Ospecificerad inkompatibilitet Oförenlig
injektion Tobramycin sulfate
injektion Ceftriaxone disodium
3523
Ospecificerad inkompatibilitet Oförenlig
injektion Tobramycin sulfate
injektion Cefuroxime sodium
3687
Kompatibel
injektion Tobramycin sulfate 1.6 mg/ml
injektion Ciprofloxacin lactate 2 mg/ml
Glukos 5 % 285
Kompatibel
injektion Tobramycin sulfate 1 mg/ml
injektion Ciprofloxacin lactate 1.5 mg/ml
Glukos 5 % 434
Kompatibel
injektion Tobramycin sulfate 1 mg/ml
injektion Ciprofloxacin lactate 1.5 mg/ml
Natriumklorid 0,9 % 434
Kompatibel
injektion Tobramycin sulfate 1,6 mg/ml
injektion Ciprofloxacin lactate 1 mg/ml
Glukos 5 % 500
Kompatibel
injektion Tobramycin sulfate 1,6 mg/ml
injektion Ciprofloxacin lactate 1 mg/ml
Natriumklorid 0,9 % 500
Kompatibel
injektion Tobramycin sulfate 5 mg/ml
injektion Cisatracurium besylate 0.1 >> 5 mg/ml
Glukos 5 % 299
Kemisk instabilitet Oförenlig
injektion Tobramycin sulfate
injektion Cisplatin
3578
Kompatibel
injektion Tobramycin sulfate
injektion Clindamycin phosphate
Glukos 5 % 3526
Kompatibel
injektion Tobramycin sulfate
injektion Clindamycin phosphate
Natriumklorid 0,9 % 3526
Omedelbar nederbörd Oförenlig
injektion Tobramycin sulfate 12 mg/ml
injektion Clindamycin phosphate 90 mg/ml
Natriumklorid 0,9 % 639
Omedelbar nederbörd Oförenlig
injektion Tobramycin sulfate 40 mg/ml
injektion Cloxacillin sodium 100 mg/ml
Vatten för injektion 3012
Omedelbar nederbörd Oförenlig
injektion Tobramycin sulfate 10 mg/ml
injektion Defibrotide 8 mg/ml
Natriumklorid 0,9 % 3728
Kompatibel
injektion Tobramycin sulfate 5 mg/ml
injektion Dexmedetomidine 4 µg/ml
Natriumklorid 0,9 % 1712
Kompatibel
injektion Tobramycin sulfate 2.4 & 40 mg/ml
injektion Diltiazem hydrochloride 5 mg/ml
Natriumklorid 0,9 % 198
Kompatibel
injektion Tobramycin sulfate
injektion Dimenhydrinate
2087
Kompatibel
injektion Tobramycin sulfate 5 mg/ml
injektion Docetaxel 0.9 mg/ml
Glukos 5 % 1754
Kompatibel
injektion Tobramycin sulfate 40 mg/ml
Parenteral nutrition (med lipider) 673
Kompatibel
injektion Tobramycin sulfate 10 mg/ml
Parenteral nutrition (binär blandning) 316
Kompatibel
injektion Tobramycin sulfate 5 mg/ml
Parenteral nutrition (med lipider) 1415
Kompatibel
injektion Tobramycin sulfate 5 mg/ml
injektion Doripenem 5 mg/ml
Glukos 5 % 2262
Kompatibel
injektion Tobramycin sulfate 0,05 mg/ml
Parenteral nutrition (binär blandning) 4445
Kompatibel
injektion Tobramycin sulfate 5 mg/ml
injektion Doripenem 5 mg/ml
Natriumklorid 0,9 % 2262
Kompatibel
injektion Tobramycin sulfate 5 mg/ml
injektion Doxorubicin hydrochloride liposome peg 0.4 mg/ml
Glukos 5 % 251
Kompatibel
injektion Tobramycin sulfate 5 mg/ml
injektion Eravacycline 0,6 mg/ml
Natriumklorid 0,9 % 4434
Kompatibel
injektion Tobramycin sulfate 5 mg/ml
injektion Fenoldopam mesylate 80 µg/ml
Natriumklorid 0,9 % 1803
Kompatibel
injektion Tobramycin sulfate 10 mg/ml
injektion Fentanyl citrate 50 µg/ml
Glukos 5 % 63
Kompatibel
injektion Tobramycin sulfate 10 & 40 mg/ml
Parenteral nutrition (binär blandning) 999
Kompatibel
injektion Tobramycin sulfate 0.8 mg/ml
injektion Enalaprilate 0.05 mg/ml
Natriumklorid 0,9 % 1315
Ospecificerad inkompatibilitet Oförenlig
injektion Tobramycin sulfate
injektion Erythromycin lactobionate
3674
Kompatibel
injektion Tobramycin sulfate 0.8 mg/ml
injektion Esmolol hydrochloride 10 mg/ml
Glukos 5 % 384
Kompatibel
injektion Tobramycin sulfate 1.6 mg/ml
injektion Filgrastim 40 µg/ml
Glukos 5 % 104
Kompatibel
injektion Tobramycin sulfate 5 mg/ml
Parenteral nutrition (binär blandning) 301
Kompatibel
injektion Tobramycin sulfate 5 mg/ml
injektion Etoposide phosphate 5 mg/ml
Glukos 5 % 1410
Kompatibel
injektion Tobramycin sulfate 5 mg/ml
injektion Filgrastim 30 µg/ml
Glukos 5 % 244
Kompatibel
injektion Tobramycin sulfate 40 mg/ml
Ringer-laktatlösning 4603
Omedelbar nederbörd Oförenlig
injektion Tobramycin sulfate
injektion Flucloxacillin sodium
3522
Utfällning efter 7 timmar Oförenlig
injektion Tobramycin sulfate 8 mg/ml
injektion Flucloxacillin sodium 20 mg/ml
Natriumklorid 0,9 % 1232
Kompatibel
injektion Tobramycin sulfate 40 mg/ml
injektion Fluconazole 2 mg/ml
Natriumklorid 0,9 % 496
Kompatibel
injektion Tobramycin sulfate 5 mg/ml
injektion Fludarabine phosphate 1 mg/ml
Glukos 5 % 492
Kompatibel
injektion Tobramycin sulfate 40 mg/ml
injektion Foscarnet sodium 24 mg/ml
Ingen 73
Kompatibel
injektion Tobramycin sulfate 5 mg/ml
injektion Fosfomycin 30 mg/ml
Glukos 5 % 4055
Utfällning efter 7 timmar Oförenlig
injektion Tobramycin sulfate 8 mg/ml
injektion Furosemide 1 mg/ml
Natriumklorid 0,9 % 1232
Omedelbar nederbörd Oförenlig
injektion Tobramycin sulfate 1,6 mg/ml
injektion Furosemide 0,8 mg/ml
Glukos 5 % 367
Omedelbar nederbörd Oförenlig
injektion Tobramycin sulfate 1,6 mg/ml
injektion Furosemide 0,8 mg/ml
Natriumklorid 0,9 % 367
Ospecificerad inkompatibilitet Oförenlig
injektion Tobramycin sulfate 0.8 mg/ml
injektion Heparin sodium 50 UI/ml
Ingen 317
Ospecificerad inkompatibilitet Oförenlig
injektion Tobramycin sulfate
injektion Heparin sodium
3540
Kompatibel
injektion Tobramycin sulfate
Glukos 5 % 5086
Kompatibel
injektion Tobramycin sulfate 5 mg/ml
injektion Fosfomycin 30 mg/ml
Natriumklorid 0,9 % 4055
Kompatibel
injektion Tobramycin sulfate 5 mg/ml
injektion Gemcitabine hydrochloride 10 mg/ml
Natriumklorid 0,9 % 1423
Kompatibel
injektion Tobramycin sulfate 5 mg/ml
injektion Granisetron hydrochloride 0.05 mg/ml
Glukos 5 % 182
Kompatibel
injektion Tobramycin sulfate 5 mg/ml
injektion Hetastarch 60 mg/ml
specifikt lösningsmedel 1721
Omedelbar nederbörd Oförenlig
injektion Tobramycin sulfate 0.8 mg/ml
injektion Hetastarch 60 mg/ml
Natriumklorid 0,9 % 472
Kompatibel
injektion Tobramycin sulfate 0.8 mg/ml
injektion Hydromorphone hydrochloride 0.2 mg/ml
Glukos 5 % 405
Nederbörd efter 15 minuter Oförenlig
injektion Tobramycin sulfate 1 mg/ml
injektion Indomethacin sodium trihydrate 0,5 & 1 mg/ml
Glukos 5 % 1745
Omedelbar nederbörd Oförenlig
injektion Tobramycin sulfate 1 mg/ml
injektion Indomethacin sodium trihydrate 0,5 & 1 mg/ml
Glukos 5 % 494
Kompatibel
injektion Tobramycin sulfate 1.6 & 2 mg/ml
injektion Insulin 0.2 UI/ml
Natriumklorid 0,9 % 129
Kompatibel
injektion Tobramycin sulfate 5 mg/ml
injektion Isavuconazonium sulfate 1.5 mg/ml
Glukos 5 % 3829
Kompatibel
injektion Tobramycin sulfate 5 mg/ml
injektion Isavuconazonium sulfate 1.5 mg/ml
Natriumklorid 0,9 % 3829
Kompatibel
injektion Tobramycin sulfate 40 mg/ml
injektion Ketamine hydrochloride 50 mg/ml
2109
Kompatibel
injektion Tobramycin sulfate 0.8 mg/ml
injektion Labetalol hydrochloride 1 mg/ml
Glukos 5 % 386
Färgändring efter 4 timmar Oförenlig
injektion Tobramycin sulfate 5 mg/ml
injektion Lansoprazole 0.55 mg/ml
Natriumklorid 0,9 % 1625
Kompatibel
injektion Tobramycin sulfate 5 mg/ml
injektion Linezolid 2 mg/ml
Ingen 1925
Kompatibel
injektion Tobramycin sulfate 0,80 mg/ml
injektion Linezolid 1,80 mg/ml
2353
Kompatibel
injektion Tobramycin sulfate 0.8 mg/ml
injektion Magnesium sulfate 16.67 >> 100 mg/ml
Glukos 5 % 1047
Kompatibel
injektion Tobramycin sulfate 5 mg/ml
injektion Melphalan 0.1 mg/ml
Natriumklorid 0,9 % 169
Kompatibel
injektion Tobramycin sulfate 40 mg/ml
injektion Meropenem 50 mg/ml
Vatten för injektion 4319
Kompatibel
injektion Tobramycin sulfate 40 mg/ml
injektion Meropenem 50 mg/ml
4389
Kompatibel
injektion Tobramycin sulfate 0.8 mg/ml
injektion Metronidazole 5 mg/ml
Ingen 1035
Kompatibel
injektion Tobramycin sulfate
injektion Metronidazole
3594
Kompatibel
injektion Tobramycin sulfate 10 mg/ml
injektion Midazolam hydrochloride 1 mg/ml
Glukos 5 % 176
Kompatibel
injektion Tobramycin sulfate 1.6 >> 2.4 mg/ml
injektion Morphine sulfate 1 mg/ml
Natriumklorid 0,9 % 406
Kompatibel
injektion Tobramycin sulfate 0.8 mg/ml
injektion Morphine sulfate 1 mg/ml
Glukos 5 % 405
Kompatibel
injektion Tobramycin sulfate 40 mg/ml
injektion Naloxone hydrochloride 0.4 mg/ml
Ingen 3408
Kompatibel
injektion Tobramycin sulfate 0.8 mg/ml
injektion Nicardipine hydrochloride 0.1 mg/ml
Natriumklorid 0,9 % 1490
Kompatibel
injektion Tobramycin sulfate 0.8 mg/ml
injektion Nicardipine hydrochloride 0.1 mg/ml
Glukos 5 % 1490
Kompatibel
injektion Tobramycin sulfate 0,8 mg/ml
injektion Ofloxacin 2 mg/ml
Ingen 889
Kompatibel
injektion Tobramycin sulfate 5 mg/ml
injektion Oritavancin 0.8 >>2 mg/ml
Glukos 5 % 3152
Omedelbar nederbörd Oförenlig
injektion Tobramycin sulfate
injektion Pantoprazole sodium
2090
Kompatibel
injektion Tobramycin sulfate 40 mg/ml
injektion Paracetamol 10 mg/ml
4742
Omedelbar nederbörd Oförenlig
injektion Tobramycin sulfate 5 mg/ml
injektion Pemetrexed disodium 20 mg/ml
Natriumklorid 0,9 % 1953
Kompatibel
injektion Tobramycin sulfate 0.8 mg/ml
injektion Pethidine hydrochloride 10 mg/ml
Glukos 5 % 405
Kompatibel
injektion Tobramycin sulfate 1.6 >> 2.4 mg/ml
injektion Pethidine hydrochloride 10 mg/ml
Natriumklorid 0,9 % 406
Kemisk instabilitet Oförenlig
injektion Tobramycin sulfate
injektion Piperacillin sodium
1168
Kemisk instabilitet Oförenlig
injektion Tobramycin sulfate
injektion Piperacillin sodium / tazobactam
3586
Omedelbar instabilitet hos emulsionen Oförenlig
injektion Tobramycin sulfate 2 mg/ml
injektion Propofol
660
Omedelbar nederbörd Oförenlig
injektion Tobramycin sulfate 5 mg/ml
injektion Propofol 10 mg/ml
Ingen 300
Kompatibel
injektion Tobramycin sulfate 5 mg/ml
injektion Remifentanil hydrochloride 25 & 250 µg/ml
Natriumklorid 0,9 % 59
Omedelbar nederbörd Oförenlig
injektion Tobramycin sulfate 40 mg/ml
injektion Salbutamol sulfate 1 mg/ml
Ingen 3216
Utfällning efter 4 timmar Oförenlig
injektion Tobramycin sulfate 5 mg/ml
injektion Sargramostim 10 µg/ml
Natriumklorid 0,9 % 335
Kompatibel
injektion Tobramycin sulfate 2,4 mg/ml
injektion Sodium bicarbonate 40 mg/ml
Ingen 3122
Kompatibel
injektion Tobramycin sulfate 5 mg/ml
injektion Sulbactam/durlobactam 15/15 mg/ml
Natriumklorid 0,9 % 4801
Kompatibel
injektion Tobramycin sulfate 40 mg/ml
injektion Tacrolimus 1000 µg/ml
Natriumklorid 0,9 % 479
Omedelbar grumlighet Oförenlig
injektion Tobramycin sulfate 5 mg/ml
injektion Tedizolid phosphate 0.8 mg/ml
Natriumklorid 0,9 % 3827
Ospecificerad inkompatibilitet Oförenlig
injektion Tobramycin sulfate
injektion Teicoplanine
3656
Kompatibel
injektion Tobramycin sulfate 5 mg/ml
injektion Telavancin hydrochloride 7.5 mg/ml
Natriumklorid 0,9 % 3254
Kompatibel
injektion Tobramycin sulfate 5 mg/ml
injektion Telavancin hydrochloride 7.5 mg/ml
Glukos 5 % 3254
Kompatibel
injektion Tobramycin sulfate 6 mg/ml
injektion Temocilline 83.33 mg/ml
Vatten för injektion 2231
Ospecificerad inkompatibilitet Oförenlig
injektion Tobramycin sulfate
injektion Temocilline
2296
Kompatibel
injektion Tobramycin sulfate 5 mg/ml
injektion Teniposide 0.1 mg/ml
Glukos 5 % 905
Kompatibel
injektion Tobramycin sulfate 0.8 mg/ml
injektion Theophylline 4 mg/ml
Ingen 317
Omedelbar nederbörd Oförenlig
injektion Tobramycin sulfate 40 mg/ml
injektion Thiopental sodium 25 mg/ml
Natriumklorid 0,9 % 3767
Kompatibel
injektion Tobramycin sulfate 5 mg/ml
injektion Thiotepa 1 mg/ml
Glukos 5 % 249
Kompatibel
injektion Tobramycin sulfate
Natriumklorid 0,9 % 5086
Kemisk instabilitet Oförenlig
injektion Tobramycin sulfate
injektion Ticarcillin / clavulanic acid
3587
Kompatibel
injektion Tobramycin sulfate
injektion Tigecycline
Natriumklorid 0,9 % 3332
Kompatibel
injektion Tobramycin sulfate 6 mg/ml
injektion Vancomycin hydrochloride 10 mg/ml
Glukos 5 % 3385
Kompatibel
injektion Tobramycin sulfate 0.16 mg/ml
injektion Verapamil hydrochloride 0.08 mg/ml
Natriumklorid 0,9 % 1057
Kompatibel
injektion Tobramycin sulfate 0.16 mg/ml
injektion Verapamil hydrochloride 0.08 mg/ml
Glukos 5 % 1057
Kompatibel
injektion Tobramycin sulfate 5 mg/ml
injektion Vinorelbine tartrate 1 mg/ml
Natriumklorid 0,9 % 84
Kompatibel
injektion Tobramycin sulfate 2 mg/ml
injektion Zidovudine 4 mg/ml
Glukos 5 % 337

  Mentions Légales