Zadnji put ažurirano :
18/03/2026
antibiotik   Tobramycin sulfate  
injekcija
aerosol kapi za oko oralna otopina
Stabilizacija rješenja Stabilnost mješavine Stabilizacijski faktor Kompatibilnosti način davanja lijeka Bibliografija pdf
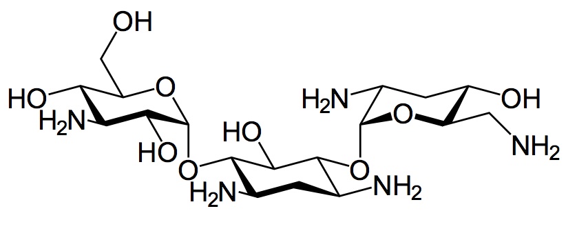
   Kemijska struktura  

Nekomercijalni   Nekomercijalni     

Zaštićeni nazivi su indikativni i sastav ekscipijensa može biti različit ovisno o državi i laboratorijima

Bactob Indija
Beltob Indija
Bramicil Italija
Brulamycin Madžarska, Malezija, Slovenija
Eltol Indija
Fytobra Indija
Gernebcin Njemačka
Komitob Indija
Nebcin Egipat, Grčka, novi Zeland, Saudijska Arabija, Ujedinjeni Arapski Emirati, Velika Britanija
Nebcina Danska, Maroko, Norveška, Švedska
Nebcine Francuska, Maroko, Slovenija
Nebicina Italija
Obracin Belgija, Luksemburg, Nizozemska, Švicarska
Tobracin Brazil, Egipat, Saudijska Arabija
Tobramicina Argentina, Brazil, Čile, Ekvador, Italija, Kolumbija, Portugal, Španjolska
Tobramina Brazil
Tobramycin Australija, Irska, Kanada, Njemačka, Norveška, S A D, Saudijska Arabija, Velika Britanija
Tobramycine Francuska, Irska, Nizozemska
Tobrasix Austrija
Tobrazid Njemačka
Kompatibilnosti   injekcija   Kompatibilnosti : Tobramycin sulfate              
Ovdje su prikazane kompatibilnosti ili nekompatibilnosti s tipom nekompatibilnosti (taloženje, promjena boje, modifikacija emulzije itd.) u ovom slučaju. Kompatibilnosti prikazane ovdje najčešće su fizikalne dok se kemijska stabilnost molekule rijetko procjenjuje. Procjena ovih mikstura je proučavana kako bi se razmotrila mogućnost primjene lijeka putem Y-mjesta. Ovi se podaci ne smiju koristiti za pripremu mikstura unaprijed u vrećicama ili štrcaljkama. Ova vrsta informacije se može pronaći u odjeljku « stabilnost u miksturama ».
molekula sredstvo za rastapanje Bibliografija
Kompatibilan
injekcija Tobramycin sulfate 1.6 mg/ml
injekcija Aciclovir sodium 5 mg/ml
glukoza 5% 336
Padavine nakon 1 sata inkompatibilan
injekcija Tobramycin sulfate 5 mg/ml
injekcija Allopurinol sodium 3 mg/ml
natrijumkorid 0,9% 307
Kompatibilan
injekcija Tobramycin sulfate 1 mg/ml
injekcija Alprostadil 15 µg/ml
3201
Kompatibilan
injekcija Tobramycin sulfate 5 mg/ml
injekcija Amifostine 10 mg/ml
glukoza 5% 3
Kompatibilan
injekcija Tobramycin sulfate 5 mg/ml
injekcija Amiodarone hydrochloride 6 mg/ml
glukoza 5% 1611
Kompatibilan
injekcija Tobramycin sulfate 0.8 mg/ml
injekcija Amiodarone hydrochloride 4 mg/ml
natrijumkorid 0,9% 385
Kompatibilan
injekcija Tobramycin sulfate 0.8 mg/ml
injekcija Amiodarone hydrochloride 4 mg/ml
glukoza 5% 385
Kemijska nestabilnost inkompatibilan
injekcija Tobramycin sulfate
injekcija Amoxicillin sodium
3527
Neodređena nespojivost inkompatibilan
injekcija Tobramycin sulfate
injekcija Amoxicillin sodium / clavulanic acid
3545
Kompatibilan
injekcija Tobramycin sulfate 40 mg/ml
injekcija Amoxicillin sodium / clavulanic acid 100/10 mg/ml
3824
Neposredne oborine inkompatibilan
injekcija Tobramycin sulfate 5 mg/ml
injekcija Amphotericin B cholesteryl sulfate complex 0.83 mg/ml
glukoza 5% 921
Kompatibilan
injekcija Tobramycin sulfate 5 mg/ml
injekcija Amsacrine 1 mg/ml
glukoza 5% 253
Kompatibilan
injekcija Tobramycin sulfate 5 mg/ml
injekcija Anidulafungin 0.5 mg/ml
glukoza 5% 1982
Neposredne oborine inkompatibilan
injekcija Tobramycin sulfate 21 mg/ml
injekcija Azithromycine 2 mg/ml
natrijumkorid 0,9% 1800
Kompatibilan
injekcija Tobramycin sulfate 0.2 & 0.8 mg/ml
injekcija Aztreonam 10 & 20 mg/ml
glukoza 5% 19
Kompatibilan
injekcija Tobramycin sulfate 0.2 & 0.8 mg/ml
injekcija Aztreonam 10 & 20 mg/ml
natrijumkorid 0,9% 19
Kompatibilan
injekcija Tobramycin sulfate 5 mg/ml
injekcija Aztreonam 40 mg/ml
glukoza 5% 99
Kompatibilan
injekcija Tobramycin sulfate 5 mg/ml
injekcija Bivalirudin 5 mg/ml
glukoza 5% 1713
Kompatibilan
injekcija Tobramycin sulfate 40 mg/ml
injekcija Caffeine 10 mg/ml
nijedan 3964
inkompatibilan
injekcija Tobramycin sulfate
injekcija Calcium gluconate
4964
Neodređena nespojivost inkompatibilan
injekcija Tobramycin sulfate
injekcija Calcium gluconate
3644
Kompatibilan
injekcija Tobramycin sulfate 1 mg/ml
injekcija Calcium gluconate 33 mg/ml
glukoza 5% 503
Kompatibilan
injekcija Tobramycin sulfate 5 mg/ml
injekcija Calcium gluconate 16 mg/ml
glukoza 5% 503
Kompatibilan
injekcija Tobramycin sulfate 5 mg/ml
injekcija Caspofungin acetate 0,7 mg/ml
natrijumkorid 0,9% 2247
Neposredne oborine inkompatibilan
injekcija Tobramycin sulfate
injekcija Cefamandole nafate 2 >> 100 mg/ml
natrijumkorid 0,9% 612
Neposredne oborine inkompatibilan
injekcija Tobramycin sulfate
injekcija Cefamandole nafate 2 >> 100 mg/ml
glukoza 5% 612
Neodređena nespojivost inkompatibilan
injekcija Tobramycin sulfate
injekcija Cefamandole nafate
3546
Kompatibilan
injekcija Tobramycin sulfate 6 mg/ml
injekcija Cefepime dihydrochloride 125 mg/ml
čista voda za injektiranje 2141
Neodređena nespojivost inkompatibilan
injekcija Tobramycin sulfate
injekcija Cefepime dihydrochloride
3548
Neposredne oborine inkompatibilan
injekcija Tobramycin sulfate 10 mg/ml
injekcija Cefiderocol sulfate tosylate 20 mg/mL
glukoza 5% 4528
Neposredne oborine inkompatibilan
injekcija Tobramycin sulfate 10 mg/ml
injekcija Cefiderocol sulfate tosylate 20 mg/mL
natrijumkorid 0,9% 4528
Neposredne oborine inkompatibilan
injekcija Tobramycin sulfate 0.8 mg/ml
injekcija Cefoperazone sodium 10 & 40 mg/ml
glukoza 5% 1206
Neodređena nespojivost inkompatibilan
injekcija Tobramycin sulfate
injekcija Cefoperazone sodium
3544
Neodređena nespojivost inkompatibilan
injekcija Tobramycin sulfate
injekcija Cefpirome sulfate
3677
Kompatibilan
injekcija Tobramycin sulfate 5 mg/ml
injekcija Ceftaroline fosamil 2,22 mg/ml
natrijumkorid 0,9% 3249
Kompatibilan
injekcija Tobramycin sulfate 5 mg/ml
injekcija Ceftaroline fosamil 2,22 mg/ml
glukoza 5% 3249
Kompatibilan
injekcija Tobramycin sulfate 5 mg/ml
injekcija Ceftaroline fosamil 2,22 mg/ml
Ringer laktat 3249
Kompatibilan
injekcija Tobramycin sulfate 6 mg/ml
injekcija Ceftazidime 83.3 mg/ml
1759
Neodređena nespojivost inkompatibilan
injekcija Tobramycin sulfate
injekcija Ceftazidime
3543
Kompatibilan
injekcija Tobramycin sulfate 0.008 mg/ml
injekcija Ceftazidime 0.125 mg/ml
Dianéal® PD2 2.5% glucose (Baxter) 2369
Neodređena nespojivost inkompatibilan
injekcija Tobramycin sulfate
injekcija Ceftazidime
3883
Kompatibilan
injekcija Tobramycin sulfate 6 mg/ml
injekcija Ceftazidime 125 mg/ml
čista voda za injektiranje 2141
Neposredne oborine inkompatibilan
injekcija Tobramycin sulfate 5 mg/ml
injekcija Ceftobiprole medocaril sodium 2 mg/ml
Ringer laktat 2269
Neodređena nespojivost inkompatibilan
injekcija Tobramycin sulfate
injekcija Ceftobiprole medocaril sodium
4650
Neposredne oborine inkompatibilan
injekcija Tobramycin sulfate 5 mg/ml
injekcija Ceftobiprole medocaril sodium 2 mg/ml
glukoza 5% 2269
Neposredne oborine inkompatibilan
injekcija Tobramycin sulfate 5 mg/ml
injekcija Ceftobiprole medocaril sodium 2 mg/ml
natrijumkorid 0,9% 2269
Kompatibilan
injekcija Tobramycin sulfate 5 mg/ml
injekcija Ceftolozane / tazobactam 10/5 mg/ml
glukoza 5% 3828
Kompatibilan
injekcija Tobramycin sulfate 5 mg/ml
injekcija Ceftolozane / tazobactam 10/5 mg/ml
natrijumkorid 0,9% 3828
Neodređena nespojivost inkompatibilan
injekcija Tobramycin sulfate
injekcija Ceftriaxone disodium
3523
Neodređena nespojivost inkompatibilan
injekcija Tobramycin sulfate
injekcija Cefuroxime sodium
3687
Kompatibilan
injekcija Tobramycin sulfate 1.6 mg/ml
injekcija Ciprofloxacin lactate 2 mg/ml
glukoza 5% 285
Kompatibilan
injekcija Tobramycin sulfate 1 mg/ml
injekcija Ciprofloxacin lactate 1.5 mg/ml
glukoza 5% 434
Kompatibilan
injekcija Tobramycin sulfate 1 mg/ml
injekcija Ciprofloxacin lactate 1.5 mg/ml
natrijumkorid 0,9% 434
Kompatibilan
injekcija Tobramycin sulfate 1,6 mg/ml
injekcija Ciprofloxacin lactate 1 mg/ml
glukoza 5% 500
Kompatibilan
injekcija Tobramycin sulfate 1,6 mg/ml
injekcija Ciprofloxacin lactate 1 mg/ml
natrijumkorid 0,9% 500
Kompatibilan
injekcija Tobramycin sulfate 5 mg/ml
injekcija Cisatracurium besylate 0.1 >> 5 mg/ml
glukoza 5% 299
Kemijska nestabilnost inkompatibilan
injekcija Tobramycin sulfate
injekcija Cisplatin
3578
Kompatibilan
injekcija Tobramycin sulfate
injekcija Clindamycin phosphate
glukoza 5% 3526
Kompatibilan
injekcija Tobramycin sulfate
injekcija Clindamycin phosphate
natrijumkorid 0,9% 3526
Neposredne oborine inkompatibilan
injekcija Tobramycin sulfate 12 mg/ml
injekcija Clindamycin phosphate 90 mg/ml
natrijumkorid 0,9% 639
Neposredne oborine inkompatibilan
injekcija Tobramycin sulfate 40 mg/ml
injekcija Cloxacillin sodium 100 mg/ml
čista voda za injektiranje 3012
Neposredne oborine inkompatibilan
injekcija Tobramycin sulfate 10 mg/ml
injekcija Defibrotide 8 mg/ml
natrijumkorid 0,9% 3728
Kompatibilan
injekcija Tobramycin sulfate 5 mg/ml
injekcija Dexmedetomidine 4 µg/ml
natrijumkorid 0,9% 1712
Kompatibilan
injekcija Tobramycin sulfate 2.4 & 40 mg/ml
injekcija Diltiazem hydrochloride 5 mg/ml
natrijumkorid 0,9% 198
Kompatibilan
injekcija Tobramycin sulfate
injekcija Dimenhydrinate
2087
Kompatibilan
injekcija Tobramycin sulfate 5 mg/ml
injekcija Docetaxel 0.9 mg/ml
glukoza 5% 1754
Kompatibilan
injekcija Tobramycin sulfate 40 mg/ml
Parenteralna prehrana (lipidima) 673
Kompatibilan
injekcija Tobramycin sulfate 10 mg/ml
Parenteralna prehrana (bezlipidna) 316
Kompatibilan
injekcija Tobramycin sulfate 5 mg/ml
Parenteralna prehrana (lipidima) 1415
Kompatibilan
injekcija Tobramycin sulfate 5 mg/ml
injekcija Doripenem 5 mg/ml
glukoza 5% 2262
Kompatibilan
injekcija Tobramycin sulfate 0,05 mg/ml
Parenteralna prehrana (bezlipidna) 4445
Kompatibilan
injekcija Tobramycin sulfate 5 mg/ml
injekcija Doripenem 5 mg/ml
natrijumkorid 0,9% 2262
Kompatibilan
injekcija Tobramycin sulfate 5 mg/ml
injekcija Doxorubicin hydrochloride liposome peg 0.4 mg/ml
glukoza 5% 251
Kompatibilan
injekcija Tobramycin sulfate 5 mg/ml
injekcija Eravacycline 0,6 mg/ml
natrijumkorid 0,9% 4434
Kompatibilan
injekcija Tobramycin sulfate 5 mg/ml
injekcija Fenoldopam mesylate 80 µg/ml
natrijumkorid 0,9% 1803
Kompatibilan
injekcija Tobramycin sulfate 10 mg/ml
injekcija Fentanyl citrate 50 µg/ml
glukoza 5% 63
Kompatibilan
injekcija Tobramycin sulfate 10 & 40 mg/ml
Parenteralna prehrana (bezlipidna) 999
Kompatibilan
injekcija Tobramycin sulfate 0.8 mg/ml
injekcija Enalaprilate 0.05 mg/ml
natrijumkorid 0,9% 1315
Neodređena nespojivost inkompatibilan
injekcija Tobramycin sulfate
injekcija Erythromycin lactobionate
3674
Kompatibilan
injekcija Tobramycin sulfate 0.8 mg/ml
injekcija Esmolol hydrochloride 10 mg/ml
glukoza 5% 384
Kompatibilan
injekcija Tobramycin sulfate 1.6 mg/ml
injekcija Filgrastim 40 µg/ml
glukoza 5% 104
Kompatibilan
injekcija Tobramycin sulfate 5 mg/ml
Parenteralna prehrana (bezlipidna) 301
Kompatibilan
injekcija Tobramycin sulfate 5 mg/ml
injekcija Etoposide phosphate 5 mg/ml
glukoza 5% 1410
Kompatibilan
injekcija Tobramycin sulfate 5 mg/ml
injekcija Filgrastim 30 µg/ml
glukoza 5% 244
Kompatibilan
injekcija Tobramycin sulfate 40 mg/ml
Ringer laktat 4603
Neposredne oborine inkompatibilan
injekcija Tobramycin sulfate
injekcija Flucloxacillin sodium
3522
Padavine nakon 7 sata inkompatibilan
injekcija Tobramycin sulfate 8 mg/ml
injekcija Flucloxacillin sodium 20 mg/ml
natrijumkorid 0,9% 1232
Kompatibilan
injekcija Tobramycin sulfate 40 mg/ml
injekcija Fluconazole 2 mg/ml
natrijumkorid 0,9% 496
Kompatibilan
injekcija Tobramycin sulfate 5 mg/ml
injekcija Fludarabine phosphate 1 mg/ml
glukoza 5% 492
Kompatibilan
injekcija Tobramycin sulfate 40 mg/ml
injekcija Foscarnet sodium 24 mg/ml
nijedan 73
Kompatibilan
injekcija Tobramycin sulfate 5 mg/ml
injekcija Fosfomycin 30 mg/ml
glukoza 5% 4055
Padavine nakon 7 sata inkompatibilan
injekcija Tobramycin sulfate 8 mg/ml
injekcija Furosemide 1 mg/ml
natrijumkorid 0,9% 1232
Neposredne oborine inkompatibilan
injekcija Tobramycin sulfate 1,6 mg/ml
injekcija Furosemide 0,8 mg/ml
glukoza 5% 367
Neposredne oborine inkompatibilan
injekcija Tobramycin sulfate 1,6 mg/ml
injekcija Furosemide 0,8 mg/ml
natrijumkorid 0,9% 367
Neodređena nespojivost inkompatibilan
injekcija Tobramycin sulfate 0.8 mg/ml
injekcija Heparin sodium 50 UI/ml
nijedan 317
Neodređena nespojivost inkompatibilan
injekcija Tobramycin sulfate
injekcija Heparin sodium
3540
Kompatibilan
injekcija Tobramycin sulfate
glukoza 5% 5086
Kompatibilan
injekcija Tobramycin sulfate 5 mg/ml
injekcija Fosfomycin 30 mg/ml
natrijumkorid 0,9% 4055
Kompatibilan
injekcija Tobramycin sulfate 5 mg/ml
injekcija Gemcitabine hydrochloride 10 mg/ml
natrijumkorid 0,9% 1423
Kompatibilan
injekcija Tobramycin sulfate 5 mg/ml
injekcija Granisetron hydrochloride 0.05 mg/ml
glukoza 5% 182
Kompatibilan
injekcija Tobramycin sulfate 5 mg/ml
injekcija Hetastarch 60 mg/ml
Specifična otapala 1721
Neposredne oborine inkompatibilan
injekcija Tobramycin sulfate 0.8 mg/ml
injekcija Hetastarch 60 mg/ml
natrijumkorid 0,9% 472
Kompatibilan
injekcija Tobramycin sulfate 0.8 mg/ml
injekcija Hydromorphone hydrochloride 0.2 mg/ml
glukoza 5% 405
Padavine nakon 15 minuta inkompatibilan
injekcija Tobramycin sulfate 1 mg/ml
injekcija Indomethacin sodium trihydrate 0,5 & 1 mg/ml
glukoza 5% 1745
Neposredne oborine inkompatibilan
injekcija Tobramycin sulfate 1 mg/ml
injekcija Indomethacin sodium trihydrate 0,5 & 1 mg/ml
glukoza 5% 494
Kompatibilan
injekcija Tobramycin sulfate 1.6 & 2 mg/ml
injekcija Insulin 0.2 UI/ml
natrijumkorid 0,9% 129
Kompatibilan
injekcija Tobramycin sulfate 5 mg/ml
injekcija Isavuconazonium sulfate 1.5 mg/ml
glukoza 5% 3829
Kompatibilan
injekcija Tobramycin sulfate 5 mg/ml
injekcija Isavuconazonium sulfate 1.5 mg/ml
natrijumkorid 0,9% 3829
Kompatibilan
injekcija Tobramycin sulfate 40 mg/ml
injekcija Ketamine hydrochloride 50 mg/ml
2109
Kompatibilan
injekcija Tobramycin sulfate 0.8 mg/ml
injekcija Labetalol hydrochloride 1 mg/ml
glukoza 5% 386
Promjena boje je nakon 4 sata inkompatibilan
injekcija Tobramycin sulfate 5 mg/ml
injekcija Lansoprazole 0.55 mg/ml
natrijumkorid 0,9% 1625
Kompatibilan
injekcija Tobramycin sulfate 5 mg/ml
injekcija Linezolid 2 mg/ml
nijedan 1925
Kompatibilan
injekcija Tobramycin sulfate 0,80 mg/ml
injekcija Linezolid 1,80 mg/ml
2353
Kompatibilan
injekcija Tobramycin sulfate 0.8 mg/ml
injekcija Magnesium sulfate 16.67 >> 100 mg/ml
glukoza 5% 1047
Kompatibilan
injekcija Tobramycin sulfate 5 mg/ml
injekcija Melphalan 0.1 mg/ml
natrijumkorid 0,9% 169
Kompatibilan
injekcija Tobramycin sulfate 40 mg/ml
injekcija Meropenem 50 mg/ml
čista voda za injektiranje 4319
Kompatibilan
injekcija Tobramycin sulfate 40 mg/ml
injekcija Meropenem 50 mg/ml
4389
Kompatibilan
injekcija Tobramycin sulfate 0.8 mg/ml
injekcija Metronidazole 5 mg/ml
nijedan 1035
Kompatibilan
injekcija Tobramycin sulfate
injekcija Metronidazole
3594
Kompatibilan
injekcija Tobramycin sulfate 10 mg/ml
injekcija Midazolam hydrochloride 1 mg/ml
glukoza 5% 176
Kompatibilan
injekcija Tobramycin sulfate 1.6 >> 2.4 mg/ml
injekcija Morphine sulfate 1 mg/ml
natrijumkorid 0,9% 406
Kompatibilan
injekcija Tobramycin sulfate 0.8 mg/ml
injekcija Morphine sulfate 1 mg/ml
glukoza 5% 405
Kompatibilan
injekcija Tobramycin sulfate 40 mg/ml
injekcija Naloxone hydrochloride 0.4 mg/ml
nijedan 3408
Kompatibilan
injekcija Tobramycin sulfate 0.8 mg/ml
injekcija Nicardipine hydrochloride 0.1 mg/ml
natrijumkorid 0,9% 1490
Kompatibilan
injekcija Tobramycin sulfate 0.8 mg/ml
injekcija Nicardipine hydrochloride 0.1 mg/ml
glukoza 5% 1490
Kompatibilan
injekcija Tobramycin sulfate 0,8 mg/ml
injekcija Ofloxacin 2 mg/ml
nijedan 889
Kompatibilan
injekcija Tobramycin sulfate 5 mg/ml
injekcija Oritavancin 0.8 >>2 mg/ml
glukoza 5% 3152
Neposredne oborine inkompatibilan
injekcija Tobramycin sulfate
injekcija Pantoprazole sodium
2090
Kompatibilan
injekcija Tobramycin sulfate 40 mg/ml
injekcija Paracetamol 10 mg/ml
4742
Neposredne oborine inkompatibilan
injekcija Tobramycin sulfate 5 mg/ml
injekcija Pemetrexed disodium 20 mg/ml
natrijumkorid 0,9% 1953
Kompatibilan
injekcija Tobramycin sulfate 0.8 mg/ml
injekcija Pethidine hydrochloride 10 mg/ml
glukoza 5% 405
Kompatibilan
injekcija Tobramycin sulfate 1.6 >> 2.4 mg/ml
injekcija Pethidine hydrochloride 10 mg/ml
natrijumkorid 0,9% 406
Kemijska nestabilnost inkompatibilan
injekcija Tobramycin sulfate
injekcija Piperacillin sodium
1168
Kemijska nestabilnost inkompatibilan
injekcija Tobramycin sulfate
injekcija Piperacillin sodium / tazobactam
3586
Neposredna nestabilnost emulzije inkompatibilan
injekcija Tobramycin sulfate 2 mg/ml
injekcija Propofol
660
Neposredne oborine inkompatibilan
injekcija Tobramycin sulfate 5 mg/ml
injekcija Propofol 10 mg/ml
nijedan 300
Kompatibilan
injekcija Tobramycin sulfate 5 mg/ml
injekcija Remifentanil hydrochloride 25 & 250 µg/ml
natrijumkorid 0,9% 59
Neposredne oborine inkompatibilan
injekcija Tobramycin sulfate 40 mg/ml
injekcija Salbutamol sulfate 1 mg/ml
nijedan 3216
Padavine nakon 4 sata inkompatibilan
injekcija Tobramycin sulfate 5 mg/ml
injekcija Sargramostim 10 µg/ml
natrijumkorid 0,9% 335
Kompatibilan
injekcija Tobramycin sulfate 2,4 mg/ml
injekcija Sodium bicarbonate 40 mg/ml
nijedan 3122
Kompatibilan
injekcija Tobramycin sulfate 5 mg/ml
injekcija Sulbactam/durlobactam 15/15 mg/ml
natrijumkorid 0,9% 4801
Kompatibilan
injekcija Tobramycin sulfate 40 mg/ml
injekcija Tacrolimus 1000 µg/ml
natrijumkorid 0,9% 479
Neposredna zamućenost inkompatibilan
injekcija Tobramycin sulfate 5 mg/ml
injekcija Tedizolid phosphate 0.8 mg/ml
natrijumkorid 0,9% 3827
Neodređena nespojivost inkompatibilan
injekcija Tobramycin sulfate
injekcija Teicoplanine
3656
Kompatibilan
injekcija Tobramycin sulfate 5 mg/ml
injekcija Telavancin hydrochloride 7.5 mg/ml
natrijumkorid 0,9% 3254
Kompatibilan
injekcija Tobramycin sulfate 5 mg/ml
injekcija Telavancin hydrochloride 7.5 mg/ml
glukoza 5% 3254
Kompatibilan
injekcija Tobramycin sulfate 6 mg/ml
injekcija Temocilline 83.33 mg/ml
čista voda za injektiranje 2231
Neodređena nespojivost inkompatibilan
injekcija Tobramycin sulfate
injekcija Temocilline
2296
Kompatibilan
injekcija Tobramycin sulfate 5 mg/ml
injekcija Teniposide 0.1 mg/ml
glukoza 5% 905
Kompatibilan
injekcija Tobramycin sulfate 0.8 mg/ml
injekcija Theophylline 4 mg/ml
nijedan 317
Neposredne oborine inkompatibilan
injekcija Tobramycin sulfate 40 mg/ml
injekcija Thiopental sodium 25 mg/ml
natrijumkorid 0,9% 3767
Kompatibilan
injekcija Tobramycin sulfate 5 mg/ml
injekcija Thiotepa 1 mg/ml
glukoza 5% 249
Kompatibilan
injekcija Tobramycin sulfate
natrijumkorid 0,9% 5086
Kemijska nestabilnost inkompatibilan
injekcija Tobramycin sulfate
injekcija Ticarcillin / clavulanic acid
3587
Kompatibilan
injekcija Tobramycin sulfate
injekcija Tigecycline
natrijumkorid 0,9% 3332
Kompatibilan
injekcija Tobramycin sulfate 6 mg/ml
injekcija Vancomycin hydrochloride 10 mg/ml
glukoza 5% 3385
Kompatibilan
injekcija Tobramycin sulfate 0.16 mg/ml
injekcija Verapamil hydrochloride 0.08 mg/ml
natrijumkorid 0,9% 1057
Kompatibilan
injekcija Tobramycin sulfate 0.16 mg/ml
injekcija Verapamil hydrochloride 0.08 mg/ml
glukoza 5% 1057
Kompatibilan
injekcija Tobramycin sulfate 5 mg/ml
injekcija Vinorelbine tartrate 1 mg/ml
natrijumkorid 0,9% 84
Kompatibilan
injekcija Tobramycin sulfate 2 mg/ml
injekcija Zidovudine 4 mg/ml
glukoza 5% 337

  Mentions Légales