Poslední aktualizace :
18/03/2026
Antibiotikas   Tobramycin sulfate  
Įpurškimas
Aerozolis Akių lašai Geriamas tirpalas
Tirpalų stabilumas Mišinių stabilumas Stabilumą lemiantys veiksniai Suderinamumas Leidimo būdai Bibliografija pdf
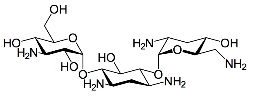
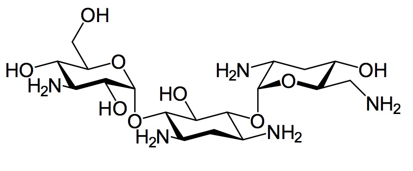
   Cheminė sandara  

Prekinis pavadinimas   Prekinis pavadinimas     

Trade names are indicative and excipients composition can be different depending on the country and manufacturers

Bactob Indija
Beltob Indija
Bramicil Italija
Brulamycin Malaizija, Slovėnija, Vengrija
Eltol Indija
Fytobra Indija
Gernebcin Vokietija
Komitob Indija
Nebcin Didžioji Britanija, Egiptas, Graikija, Jungtiniai Arabų Emyratai, Naujojoje Zelandijoje, Saudo Arabija
Nebcina Danija, Marokas, Norvegija, Švedija
Nebcine Marokas, Prancūzija, Slovėnija
Nebicina Italija
Obracin Belgija, Liuksemburgas, Olandija, Šveicarija
Tobracin Brazilija, Egiptas, Saudo Arabija
Tobramicina Argentina, Brazilija, Čilė, Ekvadoras, Ispanija, Italija, Kolumbija, Portugalija
Tobramina Brazilija
Tobramycin Airija, Australija, Didžioji Britanija, Jungtinės Amerikos Valstijos, Kanada, Norvegija, Saudo Arabija, Vokietija
Tobramycine Airija, Olandija, Prancūzija
Tobrasix Austrija
Tobrazid Vokietija
Suderinamumas   Įpurškimas   Suderinamumas : Tobramycin sulfate              
explication_incompatibilite_molecules
Molekulė Tirpiklis Nuorodos
Suderinamas
Įpurškimas Tobramycin sulfate 1.6 mg/ml
Įpurškimas Aciclovir sodium 5 mg/ml
Gliukozė 5% 336
Krituliai po 1 valandos Nesuderinamas
Įpurškimas Tobramycin sulfate 5 mg/ml
Įpurškimas Allopurinol sodium 3 mg/ml
Natrio chloridas 0,9% 307
Suderinamas
Įpurškimas Tobramycin sulfate 1 mg/ml
Įpurškimas Alprostadil 15 µg/ml
3201
Suderinamas
Įpurškimas Tobramycin sulfate 5 mg/ml
Įpurškimas Amifostine 10 mg/ml
Gliukozė 5% 3
Suderinamas
Įpurškimas Tobramycin sulfate 5 mg/ml
Įpurškimas Amiodarone hydrochloride 6 mg/ml
Gliukozė 5% 1611
Suderinamas
Įpurškimas Tobramycin sulfate 0.8 mg/ml
Įpurškimas Amiodarone hydrochloride 4 mg/ml
Natrio chloridas 0,9% 385
Suderinamas
Įpurškimas Tobramycin sulfate 0.8 mg/ml
Įpurškimas Amiodarone hydrochloride 4 mg/ml
Gliukozė 5% 385
Cheminis nestabilumas Nesuderinamas
Įpurškimas Tobramycin sulfate
Įpurškimas Amoxicillin sodium
3527
Nepatikslintas nesuderinamumas Nesuderinamas
Įpurškimas Tobramycin sulfate
Įpurškimas Amoxicillin sodium / clavulanic acid
3545
Suderinamas
Įpurškimas Tobramycin sulfate 40 mg/ml
Įpurškimas Amoxicillin sodium / clavulanic acid 100/10 mg/ml
3824
Nedelsiant krituliai Nesuderinamas
Įpurškimas Tobramycin sulfate 5 mg/ml
Įpurškimas Amphotericin B cholesteryl sulfate complex 0.83 mg/ml
Gliukozė 5% 921
Suderinamas
Įpurškimas Tobramycin sulfate 5 mg/ml
Įpurškimas Amsacrine 1 mg/ml
Gliukozė 5% 253
Suderinamas
Įpurškimas Tobramycin sulfate 5 mg/ml
Įpurškimas Anidulafungin 0.5 mg/ml
Gliukozė 5% 1982
Nedelsiant krituliai Nesuderinamas
Įpurškimas Tobramycin sulfate 21 mg/ml
Įpurškimas Azithromycine 2 mg/ml
Natrio chloridas 0,9% 1800
Suderinamas
Įpurškimas Tobramycin sulfate 0.2 & 0.8 mg/ml
Įpurškimas Aztreonam 10 & 20 mg/ml
Gliukozė 5% 19
Suderinamas
Įpurškimas Tobramycin sulfate 0.2 & 0.8 mg/ml
Įpurškimas Aztreonam 10 & 20 mg/ml
Natrio chloridas 0,9% 19
Suderinamas
Įpurškimas Tobramycin sulfate 5 mg/ml
Įpurškimas Aztreonam 40 mg/ml
Gliukozė 5% 99
Suderinamas
Įpurškimas Tobramycin sulfate 5 mg/ml
Įpurškimas Bivalirudin 5 mg/ml
Gliukozė 5% 1713
Suderinamas
Įpurškimas Tobramycin sulfate 40 mg/ml
Įpurškimas Caffeine 10 mg/ml
Nėra 3964
Nesuderinamas
Įpurškimas Tobramycin sulfate
Įpurškimas Calcium gluconate
4964
Nepatikslintas nesuderinamumas Nesuderinamas
Įpurškimas Tobramycin sulfate
Įpurškimas Calcium gluconate
3644
Suderinamas
Įpurškimas Tobramycin sulfate 1 mg/ml
Įpurškimas Calcium gluconate 33 mg/ml
Gliukozė 5% 503
Suderinamas
Įpurškimas Tobramycin sulfate 5 mg/ml
Įpurškimas Calcium gluconate 16 mg/ml
Gliukozė 5% 503
Suderinamas
Įpurškimas Tobramycin sulfate 5 mg/ml
Įpurškimas Caspofungin acetate 0,7 mg/ml
Natrio chloridas 0,9% 2247
Nedelsiant krituliai Nesuderinamas
Įpurškimas Tobramycin sulfate
Įpurškimas Cefamandole nafate 2 >> 100 mg/ml
Natrio chloridas 0,9% 612
Nedelsiant krituliai Nesuderinamas
Įpurškimas Tobramycin sulfate
Įpurškimas Cefamandole nafate 2 >> 100 mg/ml
Gliukozė 5% 612
Nepatikslintas nesuderinamumas Nesuderinamas
Įpurškimas Tobramycin sulfate
Įpurškimas Cefamandole nafate
3546
Suderinamas
Įpurškimas Tobramycin sulfate 6 mg/ml
Įpurškimas Cefepime dihydrochloride 125 mg/ml
Vanduo injekcijoms 2141
Nepatikslintas nesuderinamumas Nesuderinamas
Įpurškimas Tobramycin sulfate
Įpurškimas Cefepime dihydrochloride
3548
Nedelsiant krituliai Nesuderinamas
Įpurškimas Tobramycin sulfate 10 mg/ml
Įpurškimas Cefiderocol sulfate tosylate 20 mg/mL
Gliukozė 5% 4528
Nedelsiant krituliai Nesuderinamas
Įpurškimas Tobramycin sulfate 10 mg/ml
Įpurškimas Cefiderocol sulfate tosylate 20 mg/mL
Natrio chloridas 0,9% 4528
Nedelsiant krituliai Nesuderinamas
Įpurškimas Tobramycin sulfate 0.8 mg/ml
Įpurškimas Cefoperazone sodium 10 & 40 mg/ml
Gliukozė 5% 1206
Nepatikslintas nesuderinamumas Nesuderinamas
Įpurškimas Tobramycin sulfate
Įpurškimas Cefoperazone sodium
3544
Nepatikslintas nesuderinamumas Nesuderinamas
Įpurškimas Tobramycin sulfate
Įpurškimas Cefpirome sulfate
3677
Suderinamas
Įpurškimas Tobramycin sulfate 5 mg/ml
Įpurškimas Ceftaroline fosamil 2,22 mg/ml
Natrio chloridas 0,9% 3249
Suderinamas
Įpurškimas Tobramycin sulfate 5 mg/ml
Įpurškimas Ceftaroline fosamil 2,22 mg/ml
Gliukozė 5% 3249
Suderinamas
Įpurškimas Tobramycin sulfate 5 mg/ml
Įpurškimas Ceftaroline fosamil 2,22 mg/ml
Ringerio laktato tirpalas 3249
Suderinamas
Įpurškimas Tobramycin sulfate 6 mg/ml
Įpurškimas Ceftazidime 83.3 mg/ml
1759
Nepatikslintas nesuderinamumas Nesuderinamas
Įpurškimas Tobramycin sulfate
Įpurškimas Ceftazidime
3543
Suderinamas
Įpurškimas Tobramycin sulfate 0.008 mg/ml
Įpurškimas Ceftazidime 0.125 mg/ml
Dianéal® PD2 2.5% glucose (Baxter) 2369
Nepatikslintas nesuderinamumas Nesuderinamas
Įpurškimas Tobramycin sulfate
Įpurškimas Ceftazidime
3883
Suderinamas
Įpurškimas Tobramycin sulfate 6 mg/ml
Įpurškimas Ceftazidime 125 mg/ml
Vanduo injekcijoms 2141
Nedelsiant krituliai Nesuderinamas
Įpurškimas Tobramycin sulfate 5 mg/ml
Įpurškimas Ceftobiprole medocaril sodium 2 mg/ml
Ringerio laktato tirpalas 2269
Nepatikslintas nesuderinamumas Nesuderinamas
Įpurškimas Tobramycin sulfate
Įpurškimas Ceftobiprole medocaril sodium
4650
Nedelsiant krituliai Nesuderinamas
Įpurškimas Tobramycin sulfate 5 mg/ml
Įpurškimas Ceftobiprole medocaril sodium 2 mg/ml
Gliukozė 5% 2269
Nedelsiant krituliai Nesuderinamas
Įpurškimas Tobramycin sulfate 5 mg/ml
Įpurškimas Ceftobiprole medocaril sodium 2 mg/ml
Natrio chloridas 0,9% 2269
Suderinamas
Įpurškimas Tobramycin sulfate 5 mg/ml
Įpurškimas Ceftolozane / tazobactam 10/5 mg/ml
Gliukozė 5% 3828
Suderinamas
Įpurškimas Tobramycin sulfate 5 mg/ml
Įpurškimas Ceftolozane / tazobactam 10/5 mg/ml
Natrio chloridas 0,9% 3828
Nepatikslintas nesuderinamumas Nesuderinamas
Įpurškimas Tobramycin sulfate
Įpurškimas Ceftriaxone disodium
3523
Nepatikslintas nesuderinamumas Nesuderinamas
Įpurškimas Tobramycin sulfate
Įpurškimas Cefuroxime sodium
3687
Suderinamas
Įpurškimas Tobramycin sulfate 1.6 mg/ml
Įpurškimas Ciprofloxacin lactate 2 mg/ml
Gliukozė 5% 285
Suderinamas
Įpurškimas Tobramycin sulfate 1 mg/ml
Įpurškimas Ciprofloxacin lactate 1.5 mg/ml
Gliukozė 5% 434
Suderinamas
Įpurškimas Tobramycin sulfate 1 mg/ml
Įpurškimas Ciprofloxacin lactate 1.5 mg/ml
Natrio chloridas 0,9% 434
Suderinamas
Įpurškimas Tobramycin sulfate 1,6 mg/ml
Įpurškimas Ciprofloxacin lactate 1 mg/ml
Gliukozė 5% 500
Suderinamas
Įpurškimas Tobramycin sulfate 1,6 mg/ml
Įpurškimas Ciprofloxacin lactate 1 mg/ml
Natrio chloridas 0,9% 500
Suderinamas
Įpurškimas Tobramycin sulfate 5 mg/ml
Įpurškimas Cisatracurium besylate 0.1 >> 5 mg/ml
Gliukozė 5% 299
Cheminis nestabilumas Nesuderinamas
Įpurškimas Tobramycin sulfate
Įpurškimas Cisplatin
3578
Suderinamas
Įpurškimas Tobramycin sulfate
Įpurškimas Clindamycin phosphate
Gliukozė 5% 3526
Suderinamas
Įpurškimas Tobramycin sulfate
Įpurškimas Clindamycin phosphate
Natrio chloridas 0,9% 3526
Nedelsiant krituliai Nesuderinamas
Įpurškimas Tobramycin sulfate 12 mg/ml
Įpurškimas Clindamycin phosphate 90 mg/ml
Natrio chloridas 0,9% 639
Nedelsiant krituliai Nesuderinamas
Įpurškimas Tobramycin sulfate 40 mg/ml
Įpurškimas Cloxacillin sodium 100 mg/ml
Vanduo injekcijoms 3012
Nedelsiant krituliai Nesuderinamas
Įpurškimas Tobramycin sulfate 10 mg/ml
Įpurškimas Defibrotide 8 mg/ml
Natrio chloridas 0,9% 3728
Suderinamas
Įpurškimas Tobramycin sulfate 5 mg/ml
Įpurškimas Dexmedetomidine 4 µg/ml
Natrio chloridas 0,9% 1712
Suderinamas
Įpurškimas Tobramycin sulfate 2.4 & 40 mg/ml
Įpurškimas Diltiazem hydrochloride 5 mg/ml
Natrio chloridas 0,9% 198
Suderinamas
Įpurškimas Tobramycin sulfate
Įpurškimas Dimenhydrinate
2087
Suderinamas
Įpurškimas Tobramycin sulfate 5 mg/ml
Įpurškimas Docetaxel 0.9 mg/ml
Gliukozė 5% 1754
Suderinamas
Įpurškimas Tobramycin sulfate 40 mg/ml
Parenteriniu būdu (su lipidų) 673
Suderinamas
Įpurškimas Tobramycin sulfate 10 mg/ml
Parenterinis maitinimas (lipidų nemokamai) 316
Suderinamas
Įpurškimas Tobramycin sulfate 5 mg/ml
Parenteriniu būdu (su lipidų) 1415
Suderinamas
Įpurškimas Tobramycin sulfate 5 mg/ml
Įpurškimas Doripenem 5 mg/ml
Gliukozė 5% 2262
Suderinamas
Įpurškimas Tobramycin sulfate 0,05 mg/ml
Parenterinis maitinimas (lipidų nemokamai) 4445
Suderinamas
Įpurškimas Tobramycin sulfate 5 mg/ml
Įpurškimas Doripenem 5 mg/ml
Natrio chloridas 0,9% 2262
Suderinamas
Įpurškimas Tobramycin sulfate 5 mg/ml
Įpurškimas Doxorubicin hydrochloride liposome peg 0.4 mg/ml
Gliukozė 5% 251
Suderinamas
Įpurškimas Tobramycin sulfate 5 mg/ml
Įpurškimas Eravacycline 0,6 mg/ml
Natrio chloridas 0,9% 4434
Suderinamas
Įpurškimas Tobramycin sulfate 5 mg/ml
Įpurškimas Fenoldopam mesylate 80 µg/ml
Natrio chloridas 0,9% 1803
Suderinamas
Įpurškimas Tobramycin sulfate 10 mg/ml
Įpurškimas Fentanyl citrate 50 µg/ml
Gliukozė 5% 63
Suderinamas
Įpurškimas Tobramycin sulfate 10 & 40 mg/ml
Parenterinis maitinimas (lipidų nemokamai) 999
Suderinamas
Įpurškimas Tobramycin sulfate 0.8 mg/ml
Įpurškimas Enalaprilate 0.05 mg/ml
Natrio chloridas 0,9% 1315
Nepatikslintas nesuderinamumas Nesuderinamas
Įpurškimas Tobramycin sulfate
Įpurškimas Erythromycin lactobionate
3674
Suderinamas
Įpurškimas Tobramycin sulfate 0.8 mg/ml
Įpurškimas Esmolol hydrochloride 10 mg/ml
Gliukozė 5% 384
Suderinamas
Įpurškimas Tobramycin sulfate 1.6 mg/ml
Įpurškimas Filgrastim 40 µg/ml
Gliukozė 5% 104
Suderinamas
Įpurškimas Tobramycin sulfate 5 mg/ml
Parenterinis maitinimas (lipidų nemokamai) 301
Suderinamas
Įpurškimas Tobramycin sulfate 5 mg/ml
Įpurškimas Etoposide phosphate 5 mg/ml
Gliukozė 5% 1410
Suderinamas
Įpurškimas Tobramycin sulfate 5 mg/ml
Įpurškimas Filgrastim 30 µg/ml
Gliukozė 5% 244
Suderinamas
Įpurškimas Tobramycin sulfate 40 mg/ml
Ringerio laktato tirpalas 4603
Nedelsiant krituliai Nesuderinamas
Įpurškimas Tobramycin sulfate
Įpurškimas Flucloxacillin sodium
3522
Krituliai po 7 valandų Nesuderinamas
Įpurškimas Tobramycin sulfate 8 mg/ml
Įpurškimas Flucloxacillin sodium 20 mg/ml
Natrio chloridas 0,9% 1232
Suderinamas
Įpurškimas Tobramycin sulfate 40 mg/ml
Įpurškimas Fluconazole 2 mg/ml
Natrio chloridas 0,9% 496
Suderinamas
Įpurškimas Tobramycin sulfate 5 mg/ml
Įpurškimas Fludarabine phosphate 1 mg/ml
Gliukozė 5% 492
Suderinamas
Įpurškimas Tobramycin sulfate 40 mg/ml
Įpurškimas Foscarnet sodium 24 mg/ml
Nėra 73
Suderinamas
Įpurškimas Tobramycin sulfate 5 mg/ml
Įpurškimas Fosfomycin 30 mg/ml
Gliukozė 5% 4055
Krituliai po 7 valandų Nesuderinamas
Įpurškimas Tobramycin sulfate 8 mg/ml
Įpurškimas Furosemide 1 mg/ml
Natrio chloridas 0,9% 1232
Nedelsiant krituliai Nesuderinamas
Įpurškimas Tobramycin sulfate 1,6 mg/ml
Įpurškimas Furosemide 0,8 mg/ml
Gliukozė 5% 367
Nedelsiant krituliai Nesuderinamas
Įpurškimas Tobramycin sulfate 1,6 mg/ml
Įpurškimas Furosemide 0,8 mg/ml
Natrio chloridas 0,9% 367
Nepatikslintas nesuderinamumas Nesuderinamas
Įpurškimas Tobramycin sulfate 0.8 mg/ml
Įpurškimas Heparin sodium 50 UI/ml
Nėra 317
Nepatikslintas nesuderinamumas Nesuderinamas
Įpurškimas Tobramycin sulfate
Įpurškimas Heparin sodium
3540
Suderinamas
Įpurškimas Tobramycin sulfate
Gliukozė 5% 5086
Suderinamas
Įpurškimas Tobramycin sulfate 5 mg/ml
Įpurškimas Fosfomycin 30 mg/ml
Natrio chloridas 0,9% 4055
Suderinamas
Įpurškimas Tobramycin sulfate 5 mg/ml
Įpurškimas Gemcitabine hydrochloride 10 mg/ml
Natrio chloridas 0,9% 1423
Suderinamas
Įpurškimas Tobramycin sulfate 5 mg/ml
Įpurškimas Granisetron hydrochloride 0.05 mg/ml
Gliukozė 5% 182
Suderinamas
Įpurškimas Tobramycin sulfate 5 mg/ml
Įpurškimas Hetastarch 60 mg/ml
specifinis tirpiklis 1721
Nedelsiant krituliai Nesuderinamas
Įpurškimas Tobramycin sulfate 0.8 mg/ml
Įpurškimas Hetastarch 60 mg/ml
Natrio chloridas 0,9% 472
Suderinamas
Įpurškimas Tobramycin sulfate 0.8 mg/ml
Įpurškimas Hydromorphone hydrochloride 0.2 mg/ml
Gliukozė 5% 405
Krituliai po 15 minučių Nesuderinamas
Įpurškimas Tobramycin sulfate 1 mg/ml
Įpurškimas Indomethacin sodium trihydrate 0,5 & 1 mg/ml
Gliukozė 5% 1745
Nedelsiant krituliai Nesuderinamas
Įpurškimas Tobramycin sulfate 1 mg/ml
Įpurškimas Indomethacin sodium trihydrate 0,5 & 1 mg/ml
Gliukozė 5% 494
Suderinamas
Įpurškimas Tobramycin sulfate 1.6 & 2 mg/ml
Įpurškimas Insulin 0.2 UI/ml
Natrio chloridas 0,9% 129
Suderinamas
Įpurškimas Tobramycin sulfate 5 mg/ml
Įpurškimas Isavuconazonium sulfate 1.5 mg/ml
Gliukozė 5% 3829
Suderinamas
Įpurškimas Tobramycin sulfate 5 mg/ml
Įpurškimas Isavuconazonium sulfate 1.5 mg/ml
Natrio chloridas 0,9% 3829
Suderinamas
Įpurškimas Tobramycin sulfate 40 mg/ml
Įpurškimas Ketamine hydrochloride 50 mg/ml
2109
Suderinamas
Įpurškimas Tobramycin sulfate 0.8 mg/ml
Įpurškimas Labetalol hydrochloride 1 mg/ml
Gliukozė 5% 386
Spalvos pasikeitimas po 4 valandų Nesuderinamas
Įpurškimas Tobramycin sulfate 5 mg/ml
Įpurškimas Lansoprazole 0.55 mg/ml
Natrio chloridas 0,9% 1625
Suderinamas
Įpurškimas Tobramycin sulfate 5 mg/ml
Įpurškimas Linezolid 2 mg/ml
Nėra 1925
Suderinamas
Įpurškimas Tobramycin sulfate 0,80 mg/ml
Įpurškimas Linezolid 1,80 mg/ml
2353
Suderinamas
Įpurškimas Tobramycin sulfate 0.8 mg/ml
Įpurškimas Magnesium sulfate 16.67 >> 100 mg/ml
Gliukozė 5% 1047
Suderinamas
Įpurškimas Tobramycin sulfate 5 mg/ml
Įpurškimas Melphalan 0.1 mg/ml
Natrio chloridas 0,9% 169
Suderinamas
Įpurškimas Tobramycin sulfate 40 mg/ml
Įpurškimas Meropenem 50 mg/ml
Vanduo injekcijoms 4319
Suderinamas
Įpurškimas Tobramycin sulfate 40 mg/ml
Įpurškimas Meropenem 50 mg/ml
4389
Suderinamas
Įpurškimas Tobramycin sulfate 0.8 mg/ml
Įpurškimas Metronidazole 5 mg/ml
Nėra 1035
Suderinamas
Įpurškimas Tobramycin sulfate
Įpurškimas Metronidazole
3594
Suderinamas
Įpurškimas Tobramycin sulfate 10 mg/ml
Įpurškimas Midazolam hydrochloride 1 mg/ml
Gliukozė 5% 176
Suderinamas
Įpurškimas Tobramycin sulfate 1.6 >> 2.4 mg/ml
Įpurškimas Morphine sulfate 1 mg/ml
Natrio chloridas 0,9% 406
Suderinamas
Įpurškimas Tobramycin sulfate 0.8 mg/ml
Įpurškimas Morphine sulfate 1 mg/ml
Gliukozė 5% 405
Suderinamas
Įpurškimas Tobramycin sulfate 40 mg/ml
Įpurškimas Naloxone hydrochloride 0.4 mg/ml
Nėra 3408
Suderinamas
Įpurškimas Tobramycin sulfate 0.8 mg/ml
Įpurškimas Nicardipine hydrochloride 0.1 mg/ml
Natrio chloridas 0,9% 1490
Suderinamas
Įpurškimas Tobramycin sulfate 0.8 mg/ml
Įpurškimas Nicardipine hydrochloride 0.1 mg/ml
Gliukozė 5% 1490
Suderinamas
Įpurškimas Tobramycin sulfate 0,8 mg/ml
Įpurškimas Ofloxacin 2 mg/ml
Nėra 889
Suderinamas
Įpurškimas Tobramycin sulfate 5 mg/ml
Įpurškimas Oritavancin 0.8 >>2 mg/ml
Gliukozė 5% 3152
Nedelsiant krituliai Nesuderinamas
Įpurškimas Tobramycin sulfate
Įpurškimas Pantoprazole sodium
2090
Suderinamas
Įpurškimas Tobramycin sulfate 40 mg/ml
Įpurškimas Paracetamol 10 mg/ml
4742
Nedelsiant krituliai Nesuderinamas
Įpurškimas Tobramycin sulfate 5 mg/ml
Įpurškimas Pemetrexed disodium 20 mg/ml
Natrio chloridas 0,9% 1953
Suderinamas
Įpurškimas Tobramycin sulfate 0.8 mg/ml
Įpurškimas Pethidine hydrochloride 10 mg/ml
Gliukozė 5% 405
Suderinamas
Įpurškimas Tobramycin sulfate 1.6 >> 2.4 mg/ml
Įpurškimas Pethidine hydrochloride 10 mg/ml
Natrio chloridas 0,9% 406
Cheminis nestabilumas Nesuderinamas
Įpurškimas Tobramycin sulfate
Įpurškimas Piperacillin sodium
1168
Cheminis nestabilumas Nesuderinamas
Įpurškimas Tobramycin sulfate
Įpurškimas Piperacillin sodium / tazobactam
3586
Skubus emulsijos nestabilumas Nesuderinamas
Įpurškimas Tobramycin sulfate 2 mg/ml
Įpurškimas Propofol
660
Nedelsiant krituliai Nesuderinamas
Įpurškimas Tobramycin sulfate 5 mg/ml
Įpurškimas Propofol 10 mg/ml
Nėra 300
Suderinamas
Įpurškimas Tobramycin sulfate 5 mg/ml
Įpurškimas Remifentanil hydrochloride 25 & 250 µg/ml
Natrio chloridas 0,9% 59
Nedelsiant krituliai Nesuderinamas
Įpurškimas Tobramycin sulfate 40 mg/ml
Įpurškimas Salbutamol sulfate 1 mg/ml
Nėra 3216
Krituliai po 4 valandų Nesuderinamas
Įpurškimas Tobramycin sulfate 5 mg/ml
Įpurškimas Sargramostim 10 µg/ml
Natrio chloridas 0,9% 335
Suderinamas
Įpurškimas Tobramycin sulfate 2,4 mg/ml
Įpurškimas Sodium bicarbonate 40 mg/ml
Nėra 3122
Suderinamas
Įpurškimas Tobramycin sulfate 5 mg/ml
Įpurškimas Sulbactam/durlobactam 15/15 mg/ml
Natrio chloridas 0,9% 4801
Suderinamas
Įpurškimas Tobramycin sulfate 40 mg/ml
Įpurškimas Tacrolimus 1000 µg/ml
Natrio chloridas 0,9% 479
Tiesioginis drumstumas Nesuderinamas
Įpurškimas Tobramycin sulfate 5 mg/ml
Įpurškimas Tedizolid phosphate 0.8 mg/ml
Natrio chloridas 0,9% 3827
Nepatikslintas nesuderinamumas Nesuderinamas
Įpurškimas Tobramycin sulfate
Įpurškimas Teicoplanine
3656
Suderinamas
Įpurškimas Tobramycin sulfate 5 mg/ml
Įpurškimas Telavancin hydrochloride 7.5 mg/ml
Natrio chloridas 0,9% 3254
Suderinamas
Įpurškimas Tobramycin sulfate 5 mg/ml
Įpurškimas Telavancin hydrochloride 7.5 mg/ml
Gliukozė 5% 3254
Suderinamas
Įpurškimas Tobramycin sulfate 6 mg/ml
Įpurškimas Temocilline 83.33 mg/ml
Vanduo injekcijoms 2231
Nepatikslintas nesuderinamumas Nesuderinamas
Įpurškimas Tobramycin sulfate
Įpurškimas Temocilline
2296
Suderinamas
Įpurškimas Tobramycin sulfate 5 mg/ml
Įpurškimas Teniposide 0.1 mg/ml
Gliukozė 5% 905
Suderinamas
Įpurškimas Tobramycin sulfate 0.8 mg/ml
Įpurškimas Theophylline 4 mg/ml
Nėra 317
Nedelsiant krituliai Nesuderinamas
Įpurškimas Tobramycin sulfate 40 mg/ml
Įpurškimas Thiopental sodium 25 mg/ml
Natrio chloridas 0,9% 3767
Suderinamas
Įpurškimas Tobramycin sulfate 5 mg/ml
Įpurškimas Thiotepa 1 mg/ml
Gliukozė 5% 249
Suderinamas
Įpurškimas Tobramycin sulfate
Natrio chloridas 0,9% 5086
Cheminis nestabilumas Nesuderinamas
Įpurškimas Tobramycin sulfate
Įpurškimas Ticarcillin / clavulanic acid
3587
Suderinamas
Įpurškimas Tobramycin sulfate
Įpurškimas Tigecycline
Natrio chloridas 0,9% 3332
Suderinamas
Įpurškimas Tobramycin sulfate 6 mg/ml
Įpurškimas Vancomycin hydrochloride 10 mg/ml
Gliukozė 5% 3385
Suderinamas
Įpurškimas Tobramycin sulfate 0.16 mg/ml
Įpurškimas Verapamil hydrochloride 0.08 mg/ml
Natrio chloridas 0,9% 1057
Suderinamas
Įpurškimas Tobramycin sulfate 0.16 mg/ml
Įpurškimas Verapamil hydrochloride 0.08 mg/ml
Gliukozė 5% 1057
Suderinamas
Įpurškimas Tobramycin sulfate 5 mg/ml
Įpurškimas Vinorelbine tartrate 1 mg/ml
Natrio chloridas 0,9% 84
Suderinamas
Įpurškimas Tobramycin sulfate 2 mg/ml
Įpurškimas Zidovudine 4 mg/ml
Gliukozė 5% 337

  Mentions Légales