Last update :
18/03/2026
Antibiotic   Tobramycin sulfate  
injection
aerosol Eye-drops Oral solution
Stability in solutions Stability of mixtures Factors which affect stability Compatibility Route of administration References pdf
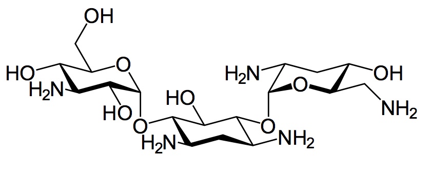
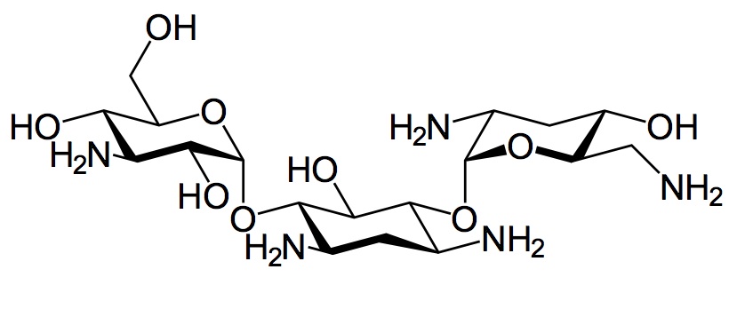
   Chemical structure  

Tradename   Tradename     

Trade names are indicative and excipients composition can be different depending on the country and manufacturers

Bactob India
Beltob India
Bramicil Italy
Brulamycin Hungary, Malaysia, Slovenia
Eltol India
Fytobra India
Gernebcin Germany
Komitob India
Nebcin Egypt, Great Britain, Greece, New Zealand, Saudi Arabia, United Arab Emirates
Nebcina Denmark, Morocco, Norway, Sweden
Nebcine France, Morocco, Slovenia
Nebicina Italy
Obracin Belgium, Luxembourg, Netherlands, Switzerland
Tobracin Brazil, Egypt, Saudi Arabia
Tobramicina Argentina, Brazil, Chile, Colombia, Ecuador, Italy, Portugal, Spain
Tobramina Brazil
Tobramycin Australia, Canada, Germany, Great Britain, Ireland, Norway, Saudi Arabia, United States of America
Tobramycine France, Ireland, Netherlands
Tobrasix Austria
Tobrazid Germany
Compatibility   injection   Compatibility : Tobramycin sulfate              
This screen indicates the compatibilities or incompatibilities with, in this case, the type of incompatibility (precipitation, color change, modification of an emulsion, etc.). The compatibilities shown here are mostly physical only, with the chemical stability of each molecule rarely being assessed. The evaluation of these mixtures was studied to consider the possibility of Y-site administration to the patient. These data cannot be used for making mixtures in advance in bags or syringes. This type of information is available in the screen "Stability in mixture ».
Compound Solvent References
Compatible
injection Tobramycin sulfate 1.6 mg/ml
injection Aciclovir sodium 5 mg/ml
Glucose 5% 336
Precipitation after 1 hour Incompatible
injection Tobramycin sulfate 5 mg/ml
injection Allopurinol sodium 3 mg/ml
Sodium chloride 0,9% 307
Compatible
injection Tobramycin sulfate 1 mg/ml
injection Alprostadil 15 µg/ml
3201
Compatible
injection Tobramycin sulfate 5 mg/ml
injection Amifostine 10 mg/ml
Glucose 5% 3
Compatible
injection Tobramycin sulfate 5 mg/ml
injection Amiodarone hydrochloride 6 mg/ml
Glucose 5% 1611
Compatible
injection Tobramycin sulfate 0.8 mg/ml
injection Amiodarone hydrochloride 4 mg/ml
Sodium chloride 0,9% 385
Compatible
injection Tobramycin sulfate 0.8 mg/ml
injection Amiodarone hydrochloride 4 mg/ml
Glucose 5% 385
Chemical instability Incompatible
injection Tobramycin sulfate
injection Amoxicillin sodium
3527
Unspecified incompatibility Incompatible
injection Tobramycin sulfate
injection Amoxicillin sodium / clavulanic acid
3545
Compatible
injection Tobramycin sulfate 40 mg/ml
injection Amoxicillin sodium / clavulanic acid 100/10 mg/ml
3824
Immediate precipitation Incompatible
injection Tobramycin sulfate 5 mg/ml
injection Amphotericin B cholesteryl sulfate complex 0.83 mg/ml
Glucose 5% 921
Compatible
injection Tobramycin sulfate 5 mg/ml
injection Amsacrine 1 mg/ml
Glucose 5% 253
Compatible
injection Tobramycin sulfate 5 mg/ml
injection Anidulafungin 0.5 mg/ml
Glucose 5% 1982
Immediate precipitation Incompatible
injection Tobramycin sulfate 21 mg/ml
injection Azithromycine 2 mg/ml
Sodium chloride 0,9% 1800
Compatible
injection Tobramycin sulfate 0.2 & 0.8 mg/ml
injection Aztreonam 10 & 20 mg/ml
Glucose 5% 19
Compatible
injection Tobramycin sulfate 0.2 & 0.8 mg/ml
injection Aztreonam 10 & 20 mg/ml
Sodium chloride 0,9% 19
Compatible
injection Tobramycin sulfate 5 mg/ml
injection Aztreonam 40 mg/ml
Glucose 5% 99
Compatible
injection Tobramycin sulfate 5 mg/ml
injection Bivalirudin 5 mg/ml
Glucose 5% 1713
Compatible
injection Tobramycin sulfate 40 mg/ml
injection Caffeine 10 mg/ml
None 3964
Incompatible
injection Tobramycin sulfate
injection Calcium gluconate
4964
Unspecified incompatibility Incompatible
injection Tobramycin sulfate
injection Calcium gluconate
3644
Compatible
injection Tobramycin sulfate 1 mg/ml
injection Calcium gluconate 33 mg/ml
Glucose 5% 503
Compatible
injection Tobramycin sulfate 5 mg/ml
injection Calcium gluconate 16 mg/ml
Glucose 5% 503
Compatible
injection Tobramycin sulfate 5 mg/ml
injection Caspofungin acetate 0,7 mg/ml
Sodium chloride 0,9% 2247
Immediate precipitation Incompatible
injection Tobramycin sulfate
injection Cefamandole nafate 2 >> 100 mg/ml
Sodium chloride 0,9% 612
Immediate precipitation Incompatible
injection Tobramycin sulfate
injection Cefamandole nafate 2 >> 100 mg/ml
Glucose 5% 612
Unspecified incompatibility Incompatible
injection Tobramycin sulfate
injection Cefamandole nafate
3546
Compatible
injection Tobramycin sulfate 6 mg/ml
injection Cefepime dihydrochloride 125 mg/ml
Water for Injection 2141
Unspecified incompatibility Incompatible
injection Tobramycin sulfate
injection Cefepime dihydrochloride
3548
Immediate precipitation Incompatible
injection Tobramycin sulfate 10 mg/ml
injection Cefiderocol sulfate tosylate 20 mg/mL
Glucose 5% 4528
Immediate precipitation Incompatible
injection Tobramycin sulfate 10 mg/ml
injection Cefiderocol sulfate tosylate 20 mg/mL
Sodium chloride 0,9% 4528
Immediate precipitation Incompatible
injection Tobramycin sulfate 0.8 mg/ml
injection Cefoperazone sodium 10 & 40 mg/ml
Glucose 5% 1206
Unspecified incompatibility Incompatible
injection Tobramycin sulfate
injection Cefoperazone sodium
3544
Unspecified incompatibility Incompatible
injection Tobramycin sulfate
injection Cefpirome sulfate
3677
Compatible
injection Tobramycin sulfate 5 mg/ml
injection Ceftaroline fosamil 2,22 mg/ml
Sodium chloride 0,9% 3249
Compatible
injection Tobramycin sulfate 5 mg/ml
injection Ceftaroline fosamil 2,22 mg/ml
Glucose 5% 3249
Compatible
injection Tobramycin sulfate 5 mg/ml
injection Ceftaroline fosamil 2,22 mg/ml
Ringer’s lactate solution 3249
Compatible
injection Tobramycin sulfate 6 mg/ml
injection Ceftazidime 83.3 mg/ml
1759
Unspecified incompatibility Incompatible
injection Tobramycin sulfate
injection Ceftazidime
3543
Compatible
injection Tobramycin sulfate 0.008 mg/ml
injection Ceftazidime 0.125 mg/ml
Dianéal® PD2 2.5% glucose (Baxter) 2369
Unspecified incompatibility Incompatible
injection Tobramycin sulfate
injection Ceftazidime
3883
Compatible
injection Tobramycin sulfate 6 mg/ml
injection Ceftazidime 125 mg/ml
Water for Injection 2141
Immediate precipitation Incompatible
injection Tobramycin sulfate 5 mg/ml
injection Ceftobiprole medocaril sodium 2 mg/ml
Ringer’s lactate solution 2269
Unspecified incompatibility Incompatible
injection Tobramycin sulfate
injection Ceftobiprole medocaril sodium
4650
Immediate precipitation Incompatible
injection Tobramycin sulfate 5 mg/ml
injection Ceftobiprole medocaril sodium 2 mg/ml
Glucose 5% 2269
Immediate precipitation Incompatible
injection Tobramycin sulfate 5 mg/ml
injection Ceftobiprole medocaril sodium 2 mg/ml
Sodium chloride 0,9% 2269
Compatible
injection Tobramycin sulfate 5 mg/ml
injection Ceftolozane / tazobactam 10/5 mg/ml
Glucose 5% 3828
Compatible
injection Tobramycin sulfate 5 mg/ml
injection Ceftolozane / tazobactam 10/5 mg/ml
Sodium chloride 0,9% 3828
Unspecified incompatibility Incompatible
injection Tobramycin sulfate
injection Ceftriaxone disodium
3523
Unspecified incompatibility Incompatible
injection Tobramycin sulfate
injection Cefuroxime sodium
3687
Compatible
injection Tobramycin sulfate 1.6 mg/ml
injection Ciprofloxacin lactate 2 mg/ml
Glucose 5% 285
Compatible
injection Tobramycin sulfate 1 mg/ml
injection Ciprofloxacin lactate 1.5 mg/ml
Glucose 5% 434
Compatible
injection Tobramycin sulfate 1 mg/ml
injection Ciprofloxacin lactate 1.5 mg/ml
Sodium chloride 0,9% 434
Compatible
injection Tobramycin sulfate 1,6 mg/ml
injection Ciprofloxacin lactate 1 mg/ml
Glucose 5% 500
Compatible
injection Tobramycin sulfate 1,6 mg/ml
injection Ciprofloxacin lactate 1 mg/ml
Sodium chloride 0,9% 500
Compatible
injection Tobramycin sulfate 5 mg/ml
injection Cisatracurium besylate 0.1 >> 5 mg/ml
Glucose 5% 299
Chemical instability Incompatible
injection Tobramycin sulfate
injection Cisplatin
3578
Compatible
injection Tobramycin sulfate
injection Clindamycin phosphate
Glucose 5% 3526
Compatible
injection Tobramycin sulfate
injection Clindamycin phosphate
Sodium chloride 0,9% 3526
Immediate precipitation Incompatible
injection Tobramycin sulfate 12 mg/ml
injection Clindamycin phosphate 90 mg/ml
Sodium chloride 0,9% 639
Immediate precipitation Incompatible
injection Tobramycin sulfate 40 mg/ml
injection Cloxacillin sodium 100 mg/ml
Water for Injection 3012
Immediate precipitation Incompatible
injection Tobramycin sulfate 10 mg/ml
injection Defibrotide 8 mg/ml
Sodium chloride 0,9% 3728
Compatible
injection Tobramycin sulfate 5 mg/ml
injection Dexmedetomidine 4 µg/ml
Sodium chloride 0,9% 1712
Compatible
injection Tobramycin sulfate 2.4 & 40 mg/ml
injection Diltiazem hydrochloride 5 mg/ml
Sodium chloride 0,9% 198
Compatible
injection Tobramycin sulfate
injection Dimenhydrinate
2087
Compatible
injection Tobramycin sulfate 5 mg/ml
injection Docetaxel 0.9 mg/ml
Glucose 5% 1754
Compatible
injection Tobramycin sulfate 40 mg/ml
Parenteral nutrition (with lipids) 673
Compatible
injection Tobramycin sulfate 10 mg/ml
Parenteral nutrition (binary mixture) 316
Compatible
injection Tobramycin sulfate 5 mg/ml
Parenteral nutrition (with lipids) 1415
Compatible
injection Tobramycin sulfate 5 mg/ml
injection Doripenem 5 mg/ml
Glucose 5% 2262
Compatible
injection Tobramycin sulfate 0,05 mg/ml
Parenteral nutrition (binary mixture) 4445
Compatible
injection Tobramycin sulfate 5 mg/ml
injection Doripenem 5 mg/ml
Sodium chloride 0,9% 2262
Compatible
injection Tobramycin sulfate 5 mg/ml
injection Doxorubicin hydrochloride liposome peg 0.4 mg/ml
Glucose 5% 251
Compatible
injection Tobramycin sulfate 5 mg/ml
injection Eravacycline 0,6 mg/ml
Sodium chloride 0,9% 4434
Compatible
injection Tobramycin sulfate 5 mg/ml
injection Fenoldopam mesylate 80 µg/ml
Sodium chloride 0,9% 1803
Compatible
injection Tobramycin sulfate 10 mg/ml
injection Fentanyl citrate 50 µg/ml
Glucose 5% 63
Compatible
injection Tobramycin sulfate 10 & 40 mg/ml
Parenteral nutrition (binary mixture) 999
Compatible
injection Tobramycin sulfate 0.8 mg/ml
injection Enalaprilate 0.05 mg/ml
Sodium chloride 0,9% 1315
Unspecified incompatibility Incompatible
injection Tobramycin sulfate
injection Erythromycin lactobionate
3674
Compatible
injection Tobramycin sulfate 0.8 mg/ml
injection Esmolol hydrochloride 10 mg/ml
Glucose 5% 384
Compatible
injection Tobramycin sulfate 1.6 mg/ml
injection Filgrastim 40 µg/ml
Glucose 5% 104
Compatible
injection Tobramycin sulfate 5 mg/ml
Parenteral nutrition (binary mixture) 301
Compatible
injection Tobramycin sulfate 5 mg/ml
injection Etoposide phosphate 5 mg/ml
Glucose 5% 1410
Compatible
injection Tobramycin sulfate 5 mg/ml
injection Filgrastim 30 µg/ml
Glucose 5% 244
Compatible
injection Tobramycin sulfate 40 mg/ml
Ringer’s lactate solution 4603
Immediate precipitation Incompatible
injection Tobramycin sulfate
injection Flucloxacillin sodium
3522
Precipitation after 7 hours Incompatible
injection Tobramycin sulfate 8 mg/ml
injection Flucloxacillin sodium 20 mg/ml
Sodium chloride 0,9% 1232
Compatible
injection Tobramycin sulfate 40 mg/ml
injection Fluconazole 2 mg/ml
Sodium chloride 0,9% 496
Compatible
injection Tobramycin sulfate 5 mg/ml
injection Fludarabine phosphate 1 mg/ml
Glucose 5% 492
Compatible
injection Tobramycin sulfate 40 mg/ml
injection Foscarnet sodium 24 mg/ml
None 73
Compatible
injection Tobramycin sulfate 5 mg/ml
injection Fosfomycin 30 mg/ml
Glucose 5% 4055
Precipitation after 7 hours Incompatible
injection Tobramycin sulfate 8 mg/ml
injection Furosemide 1 mg/ml
Sodium chloride 0,9% 1232
Immediate precipitation Incompatible
injection Tobramycin sulfate 1,6 mg/ml
injection Furosemide 0,8 mg/ml
Glucose 5% 367
Immediate precipitation Incompatible
injection Tobramycin sulfate 1,6 mg/ml
injection Furosemide 0,8 mg/ml
Sodium chloride 0,9% 367
Unspecified incompatibility Incompatible
injection Tobramycin sulfate 0.8 mg/ml
injection Heparin sodium 50 UI/ml
None 317
Unspecified incompatibility Incompatible
injection Tobramycin sulfate
injection Heparin sodium
3540
Compatible
injection Tobramycin sulfate
Glucose 5% 5086
Compatible
injection Tobramycin sulfate 5 mg/ml
injection Fosfomycin 30 mg/ml
Sodium chloride 0,9% 4055
Compatible
injection Tobramycin sulfate 5 mg/ml
injection Gemcitabine hydrochloride 10 mg/ml
Sodium chloride 0,9% 1423
Compatible
injection Tobramycin sulfate 5 mg/ml
injection Granisetron hydrochloride 0.05 mg/ml
Glucose 5% 182
Compatible
injection Tobramycin sulfate 5 mg/ml
injection Hetastarch 60 mg/ml
specific solvent 1721
Immediate precipitation Incompatible
injection Tobramycin sulfate 0.8 mg/ml
injection Hetastarch 60 mg/ml
Sodium chloride 0,9% 472
Compatible
injection Tobramycin sulfate 0.8 mg/ml
injection Hydromorphone hydrochloride 0.2 mg/ml
Glucose 5% 405
Precipitation after 15 minutes Incompatible
injection Tobramycin sulfate 1 mg/ml
injection Indomethacin sodium trihydrate 0,5 & 1 mg/ml
Glucose 5% 1745
Immediate precipitation Incompatible
injection Tobramycin sulfate 1 mg/ml
injection Indomethacin sodium trihydrate 0,5 & 1 mg/ml
Glucose 5% 494
Compatible
injection Tobramycin sulfate 1.6 & 2 mg/ml
injection Insulin 0.2 UI/ml
Sodium chloride 0,9% 129
Compatible
injection Tobramycin sulfate 5 mg/ml
injection Isavuconazonium sulfate 1.5 mg/ml
Glucose 5% 3829
Compatible
injection Tobramycin sulfate 5 mg/ml
injection Isavuconazonium sulfate 1.5 mg/ml
Sodium chloride 0,9% 3829
Compatible
injection Tobramycin sulfate 40 mg/ml
injection Ketamine hydrochloride 50 mg/ml
2109
Compatible
injection Tobramycin sulfate 0.8 mg/ml
injection Labetalol hydrochloride 1 mg/ml
Glucose 5% 386
Color change after 4 hours Incompatible
injection Tobramycin sulfate 5 mg/ml
injection Lansoprazole 0.55 mg/ml
Sodium chloride 0,9% 1625
Compatible
injection Tobramycin sulfate 5 mg/ml
injection Linezolid 2 mg/ml
None 1925
Compatible
injection Tobramycin sulfate 0,80 mg/ml
injection Linezolid 1,80 mg/ml
2353
Compatible
injection Tobramycin sulfate 0.8 mg/ml
injection Magnesium sulfate 16.67 >> 100 mg/ml
Glucose 5% 1047
Compatible
injection Tobramycin sulfate 5 mg/ml
injection Melphalan 0.1 mg/ml
Sodium chloride 0,9% 169
Compatible
injection Tobramycin sulfate 40 mg/ml
injection Meropenem 50 mg/ml
Water for Injection 4319
Compatible
injection Tobramycin sulfate 40 mg/ml
injection Meropenem 50 mg/ml
4389
Compatible
injection Tobramycin sulfate 0.8 mg/ml
injection Metronidazole 5 mg/ml
None 1035
Compatible
injection Tobramycin sulfate
injection Metronidazole
3594
Compatible
injection Tobramycin sulfate 10 mg/ml
injection Midazolam hydrochloride 1 mg/ml
Glucose 5% 176
Compatible
injection Tobramycin sulfate 1.6 >> 2.4 mg/ml
injection Morphine sulfate 1 mg/ml
Sodium chloride 0,9% 406
Compatible
injection Tobramycin sulfate 0.8 mg/ml
injection Morphine sulfate 1 mg/ml
Glucose 5% 405
Compatible
injection Tobramycin sulfate 40 mg/ml
injection Naloxone hydrochloride 0.4 mg/ml
None 3408
Compatible
injection Tobramycin sulfate 0.8 mg/ml
injection Nicardipine hydrochloride 0.1 mg/ml
Sodium chloride 0,9% 1490
Compatible
injection Tobramycin sulfate 0.8 mg/ml
injection Nicardipine hydrochloride 0.1 mg/ml
Glucose 5% 1490
Compatible
injection Tobramycin sulfate 0,8 mg/ml
injection Ofloxacin 2 mg/ml
None 889
Compatible
injection Tobramycin sulfate 5 mg/ml
injection Oritavancin 0.8 >>2 mg/ml
Glucose 5% 3152
Immediate precipitation Incompatible
injection Tobramycin sulfate
injection Pantoprazole sodium
2090
Compatible
injection Tobramycin sulfate 40 mg/ml
injection Paracetamol 10 mg/ml
4742
Immediate precipitation Incompatible
injection Tobramycin sulfate 5 mg/ml
injection Pemetrexed disodium 20 mg/ml
Sodium chloride 0,9% 1953
Compatible
injection Tobramycin sulfate 0.8 mg/ml
injection Pethidine hydrochloride 10 mg/ml
Glucose 5% 405
Compatible
injection Tobramycin sulfate 1.6 >> 2.4 mg/ml
injection Pethidine hydrochloride 10 mg/ml
Sodium chloride 0,9% 406
Chemical instability Incompatible
injection Tobramycin sulfate
injection Piperacillin sodium
1168
Chemical instability Incompatible
injection Tobramycin sulfate
injection Piperacillin sodium / tazobactam
3586
Immediate instability of the emulsion Incompatible
injection Tobramycin sulfate 2 mg/ml
injection Propofol
660
Immediate precipitation Incompatible
injection Tobramycin sulfate 5 mg/ml
injection Propofol 10 mg/ml
None 300
Compatible
injection Tobramycin sulfate 5 mg/ml
injection Remifentanil hydrochloride 25 & 250 µg/ml
Sodium chloride 0,9% 59
Immediate precipitation Incompatible
injection Tobramycin sulfate 40 mg/ml
injection Salbutamol sulfate 1 mg/ml
None 3216
Precipitation after 4 hours Incompatible
injection Tobramycin sulfate 5 mg/ml
injection Sargramostim 10 µg/ml
Sodium chloride 0,9% 335
Compatible
injection Tobramycin sulfate 2,4 mg/ml
injection Sodium bicarbonate 40 mg/ml
None 3122
Compatible
injection Tobramycin sulfate 5 mg/ml
injection Sulbactam/durlobactam 15/15 mg/ml
Sodium chloride 0,9% 4801
Compatible
injection Tobramycin sulfate 40 mg/ml
injection Tacrolimus 1000 µg/ml
Sodium chloride 0,9% 479
Immediate turbidity Incompatible
injection Tobramycin sulfate 5 mg/ml
injection Tedizolid phosphate 0.8 mg/ml
Sodium chloride 0,9% 3827
Unspecified incompatibility Incompatible
injection Tobramycin sulfate
injection Teicoplanine
3656
Compatible
injection Tobramycin sulfate 5 mg/ml
injection Telavancin hydrochloride 7.5 mg/ml
Sodium chloride 0,9% 3254
Compatible
injection Tobramycin sulfate 5 mg/ml
injection Telavancin hydrochloride 7.5 mg/ml
Glucose 5% 3254
Compatible
injection Tobramycin sulfate 6 mg/ml
injection Temocilline 83.33 mg/ml
Water for Injection 2231
Unspecified incompatibility Incompatible
injection Tobramycin sulfate
injection Temocilline
2296
Compatible
injection Tobramycin sulfate 5 mg/ml
injection Teniposide 0.1 mg/ml
Glucose 5% 905
Compatible
injection Tobramycin sulfate 0.8 mg/ml
injection Theophylline 4 mg/ml
None 317
Immediate precipitation Incompatible
injection Tobramycin sulfate 40 mg/ml
injection Thiopental sodium 25 mg/ml
Sodium chloride 0,9% 3767
Compatible
injection Tobramycin sulfate 5 mg/ml
injection Thiotepa 1 mg/ml
Glucose 5% 249
Compatible
injection Tobramycin sulfate
Sodium chloride 0,9% 5086
Chemical instability Incompatible
injection Tobramycin sulfate
injection Ticarcillin / clavulanic acid
3587
Compatible
injection Tobramycin sulfate
injection Tigecycline
Sodium chloride 0,9% 3332
Compatible
injection Tobramycin sulfate 6 mg/ml
injection Vancomycin hydrochloride 10 mg/ml
Glucose 5% 3385
Compatible
injection Tobramycin sulfate 0.16 mg/ml
injection Verapamil hydrochloride 0.08 mg/ml
Sodium chloride 0,9% 1057
Compatible
injection Tobramycin sulfate 0.16 mg/ml
injection Verapamil hydrochloride 0.08 mg/ml
Glucose 5% 1057
Compatible
injection Tobramycin sulfate 5 mg/ml
injection Vinorelbine tartrate 1 mg/ml
Sodium chloride 0,9% 84
Compatible
injection Tobramycin sulfate 2 mg/ml
injection Zidovudine 4 mg/ml
Glucose 5% 337

  Mentions Légales