Последнее обновление :
18/03/2026
Антибиотик   Tobramycin sulfate  
Инъекция
Аэрозоль Глазные капли Раствор для перорального приёма
Стабильность растворов Стабильность смесей Факторы, которые влияют на стабильность Совместимость Способы введения Библиография pdf
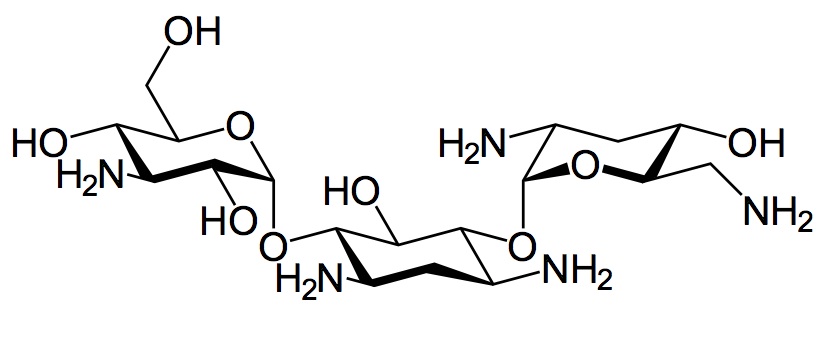
   Химическая структура  

Товарное название   Товарное название     

Trade names are indicative and excipients composition can be different depending on the country and manufacturers

Bactob Индия
Beltob Индия
Bramicil Италия
Brulamycin Венгрия, Малайзия, Словения
Eltol Индия
Fytobra Индия
Gernebcin Германия
Komitob Индия
Nebcin Великобритания, Греция, Египет, новая Зеландия, Объединенные Арабские Эмираты, Саудовская Аравия
Nebcina Дания, Марокко, Норвегия, Швеция
Nebcine Марокко, Словения, Франция
Nebicina Италия
Obracin Бельгия, Голландия, Люксембург, Швейцария
Tobracin Бразилия, Египет, Саудовская Аравия
Tobramicina Аргентина, Бразилия, Испания, Италия, Колумбия, Португалия, чили, Эквадор
Tobramina Бразилия
Tobramycin Австралия, Великобритания, Германия, Ирландия, Канада, Норвегия, Саудовская Аравия, Соединённые Штаты Америки
Tobramycine Голландия, Ирландия, Франция
Tobrasix Австрия
Tobrazid Германия
Совместимость   Инъекция   Совместимость : Tobramycin sulfate              
Эта таблица показывает совместимость или несовместимость препаратов, по возможности тип несовместимости (преципитат, смена цвета, разложение эмульсии и др.). Показанные здесь совместимости в основном физические, по возможности указана и химическая стабильность каждой молекулы. Анализ этих смесей произведён для исследования возможности ввести препараты пациенту в Y-соединении систем. Эти данные нельзя использовать, чтобы приготовить лекарства на будущее в мешках или шприцах. Эта информация доступна в разделе "Стабильность смесей".
Молекула Растворитель Ссылки
совместимый
Инъекция Tobramycin sulfate 1.6 mg/ml
Инъекция Aciclovir sodium 5 mg/ml
Глюкоза 5% 336
Осадки через 1 час несовместимый
Инъекция Tobramycin sulfate 5 mg/ml
Инъекция Allopurinol sodium 3 mg/ml
Натрия хлорид 0,9% 307
совместимый
Инъекция Tobramycin sulfate 1 mg/ml
Инъекция Alprostadil 15 µg/ml
3201
совместимый
Инъекция Tobramycin sulfate 5 mg/ml
Инъекция Amifostine 10 mg/ml
Глюкоза 5% 3
совместимый
Инъекция Tobramycin sulfate 5 mg/ml
Инъекция Amiodarone hydrochloride 6 mg/ml
Глюкоза 5% 1611
совместимый
Инъекция Tobramycin sulfate 0.8 mg/ml
Инъекция Amiodarone hydrochloride 4 mg/ml
Натрия хлорид 0,9% 385
совместимый
Инъекция Tobramycin sulfate 0.8 mg/ml
Инъекция Amiodarone hydrochloride 4 mg/ml
Глюкоза 5% 385
Химическая нестабильность несовместимый
Инъекция Tobramycin sulfate
Инъекция Amoxicillin sodium
3527
Неопределенная несовместимость несовместимый
Инъекция Tobramycin sulfate
Инъекция Amoxicillin sodium / clavulanic acid
3545
совместимый
Инъекция Tobramycin sulfate 40 mg/ml
Инъекция Amoxicillin sodium / clavulanic acid 100/10 mg/ml
3824
Немедленные осадки несовместимый
Инъекция Tobramycin sulfate 5 mg/ml
Инъекция Amphotericin B cholesteryl sulfate complex 0.83 mg/ml
Глюкоза 5% 921
совместимый
Инъекция Tobramycin sulfate 5 mg/ml
Инъекция Amsacrine 1 mg/ml
Глюкоза 5% 253
совместимый
Инъекция Tobramycin sulfate 5 mg/ml
Инъекция Anidulafungin 0.5 mg/ml
Глюкоза 5% 1982
Немедленные осадки несовместимый
Инъекция Tobramycin sulfate 21 mg/ml
Инъекция Azithromycine 2 mg/ml
Натрия хлорид 0,9% 1800
совместимый
Инъекция Tobramycin sulfate 0.2 & 0.8 mg/ml
Инъекция Aztreonam 10 & 20 mg/ml
Глюкоза 5% 19
совместимый
Инъекция Tobramycin sulfate 0.2 & 0.8 mg/ml
Инъекция Aztreonam 10 & 20 mg/ml
Натрия хлорид 0,9% 19
совместимый
Инъекция Tobramycin sulfate 5 mg/ml
Инъекция Aztreonam 40 mg/ml
Глюкоза 5% 99
совместимый
Инъекция Tobramycin sulfate 5 mg/ml
Инъекция Bivalirudin 5 mg/ml
Глюкоза 5% 1713
совместимый
Инъекция Tobramycin sulfate 40 mg/ml
Инъекция Caffeine 10 mg/ml
Нет 3964
несовместимый
Инъекция Tobramycin sulfate
Инъекция Calcium gluconate
4964
Неопределенная несовместимость несовместимый
Инъекция Tobramycin sulfate
Инъекция Calcium gluconate
3644
совместимый
Инъекция Tobramycin sulfate 1 mg/ml
Инъекция Calcium gluconate 33 mg/ml
Глюкоза 5% 503
совместимый
Инъекция Tobramycin sulfate 5 mg/ml
Инъекция Calcium gluconate 16 mg/ml
Глюкоза 5% 503
совместимый
Инъекция Tobramycin sulfate 5 mg/ml
Инъекция Caspofungin acetate 0,7 mg/ml
Натрия хлорид 0,9% 2247
Немедленные осадки несовместимый
Инъекция Tobramycin sulfate
Инъекция Cefamandole nafate 2 >> 100 mg/ml
Натрия хлорид 0,9% 612
Немедленные осадки несовместимый
Инъекция Tobramycin sulfate
Инъекция Cefamandole nafate 2 >> 100 mg/ml
Глюкоза 5% 612
Неопределенная несовместимость несовместимый
Инъекция Tobramycin sulfate
Инъекция Cefamandole nafate
3546
совместимый
Инъекция Tobramycin sulfate 6 mg/ml
Инъекция Cefepime dihydrochloride 125 mg/ml
Вода для инъекций 2141
Неопределенная несовместимость несовместимый
Инъекция Tobramycin sulfate
Инъекция Cefepime dihydrochloride
3548
Немедленные осадки несовместимый
Инъекция Tobramycin sulfate 10 mg/ml
Инъекция Cefiderocol sulfate tosylate 20 mg/mL
Глюкоза 5% 4528
Немедленные осадки несовместимый
Инъекция Tobramycin sulfate 10 mg/ml
Инъекция Cefiderocol sulfate tosylate 20 mg/mL
Натрия хлорид 0,9% 4528
Немедленные осадки несовместимый
Инъекция Tobramycin sulfate 0.8 mg/ml
Инъекция Cefoperazone sodium 10 & 40 mg/ml
Глюкоза 5% 1206
Неопределенная несовместимость несовместимый
Инъекция Tobramycin sulfate
Инъекция Cefoperazone sodium
3544
Неопределенная несовместимость несовместимый
Инъекция Tobramycin sulfate
Инъекция Cefpirome sulfate
3677
совместимый
Инъекция Tobramycin sulfate 5 mg/ml
Инъекция Ceftaroline fosamil 2,22 mg/ml
Натрия хлорид 0,9% 3249
совместимый
Инъекция Tobramycin sulfate 5 mg/ml
Инъекция Ceftaroline fosamil 2,22 mg/ml
Глюкоза 5% 3249
совместимый
Инъекция Tobramycin sulfate 5 mg/ml
Инъекция Ceftaroline fosamil 2,22 mg/ml
Раствор Рингера лактата 3249
совместимый
Инъекция Tobramycin sulfate 6 mg/ml
Инъекция Ceftazidime 83.3 mg/ml
1759
Неопределенная несовместимость несовместимый
Инъекция Tobramycin sulfate
Инъекция Ceftazidime
3543
совместимый
Инъекция Tobramycin sulfate 0.008 mg/ml
Инъекция Ceftazidime 0.125 mg/ml
Dianéal® PD2 2.5% glucose (Baxter) 2369
Неопределенная несовместимость несовместимый
Инъекция Tobramycin sulfate
Инъекция Ceftazidime
3883
совместимый
Инъекция Tobramycin sulfate 6 mg/ml
Инъекция Ceftazidime 125 mg/ml
Вода для инъекций 2141
Немедленные осадки несовместимый
Инъекция Tobramycin sulfate 5 mg/ml
Инъекция Ceftobiprole medocaril sodium 2 mg/ml
Раствор Рингера лактата 2269
Неопределенная несовместимость несовместимый
Инъекция Tobramycin sulfate
Инъекция Ceftobiprole medocaril sodium
4650
Немедленные осадки несовместимый
Инъекция Tobramycin sulfate 5 mg/ml
Инъекция Ceftobiprole medocaril sodium 2 mg/ml
Глюкоза 5% 2269
Немедленные осадки несовместимый
Инъекция Tobramycin sulfate 5 mg/ml
Инъекция Ceftobiprole medocaril sodium 2 mg/ml
Натрия хлорид 0,9% 2269
совместимый
Инъекция Tobramycin sulfate 5 mg/ml
Инъекция Ceftolozane / tazobactam 10/5 mg/ml
Глюкоза 5% 3828
совместимый
Инъекция Tobramycin sulfate 5 mg/ml
Инъекция Ceftolozane / tazobactam 10/5 mg/ml
Натрия хлорид 0,9% 3828
Неопределенная несовместимость несовместимый
Инъекция Tobramycin sulfate
Инъекция Ceftriaxone disodium
3523
Неопределенная несовместимость несовместимый
Инъекция Tobramycin sulfate
Инъекция Cefuroxime sodium
3687
совместимый
Инъекция Tobramycin sulfate 1.6 mg/ml
Инъекция Ciprofloxacin lactate 2 mg/ml
Глюкоза 5% 285
совместимый
Инъекция Tobramycin sulfate 1 mg/ml
Инъекция Ciprofloxacin lactate 1.5 mg/ml
Глюкоза 5% 434
совместимый
Инъекция Tobramycin sulfate 1 mg/ml
Инъекция Ciprofloxacin lactate 1.5 mg/ml
Натрия хлорид 0,9% 434
совместимый
Инъекция Tobramycin sulfate 1,6 mg/ml
Инъекция Ciprofloxacin lactate 1 mg/ml
Глюкоза 5% 500
совместимый
Инъекция Tobramycin sulfate 1,6 mg/ml
Инъекция Ciprofloxacin lactate 1 mg/ml
Натрия хлорид 0,9% 500
совместимый
Инъекция Tobramycin sulfate 5 mg/ml
Инъекция Cisatracurium besylate 0.1 >> 5 mg/ml
Глюкоза 5% 299
Химическая нестабильность несовместимый
Инъекция Tobramycin sulfate
Инъекция Cisplatin
3578
совместимый
Инъекция Tobramycin sulfate
Инъекция Clindamycin phosphate
Глюкоза 5% 3526
совместимый
Инъекция Tobramycin sulfate
Инъекция Clindamycin phosphate
Натрия хлорид 0,9% 3526
Немедленные осадки несовместимый
Инъекция Tobramycin sulfate 12 mg/ml
Инъекция Clindamycin phosphate 90 mg/ml
Натрия хлорид 0,9% 639
Немедленные осадки несовместимый
Инъекция Tobramycin sulfate 40 mg/ml
Инъекция Cloxacillin sodium 100 mg/ml
Вода для инъекций 3012
Немедленные осадки несовместимый
Инъекция Tobramycin sulfate 10 mg/ml
Инъекция Defibrotide 8 mg/ml
Натрия хлорид 0,9% 3728
совместимый
Инъекция Tobramycin sulfate 5 mg/ml
Инъекция Dexmedetomidine 4 µg/ml
Натрия хлорид 0,9% 1712
совместимый
Инъекция Tobramycin sulfate 2.4 & 40 mg/ml
Инъекция Diltiazem hydrochloride 5 mg/ml
Натрия хлорид 0,9% 198
совместимый
Инъекция Tobramycin sulfate
Инъекция Dimenhydrinate
2087
совместимый
Инъекция Tobramycin sulfate 5 mg/ml
Инъекция Docetaxel 0.9 mg/ml
Глюкоза 5% 1754
совместимый
Инъекция Tobramycin sulfate 40 mg/ml
Парентеральное питание (с липидами) 673
совместимый
Инъекция Tobramycin sulfate 10 mg/ml
Парентеральное питание (бинарная смесь) 316
совместимый
Инъекция Tobramycin sulfate 5 mg/ml
Парентеральное питание (с липидами) 1415
совместимый
Инъекция Tobramycin sulfate 5 mg/ml
Инъекция Doripenem 5 mg/ml
Глюкоза 5% 2262
совместимый
Инъекция Tobramycin sulfate 0,05 mg/ml
Парентеральное питание (бинарная смесь) 4445
совместимый
Инъекция Tobramycin sulfate 5 mg/ml
Инъекция Doripenem 5 mg/ml
Натрия хлорид 0,9% 2262
совместимый
Инъекция Tobramycin sulfate 5 mg/ml
Инъекция Doxorubicin hydrochloride liposome peg 0.4 mg/ml
Глюкоза 5% 251
совместимый
Инъекция Tobramycin sulfate 5 mg/ml
Инъекция Eravacycline 0,6 mg/ml
Натрия хлорид 0,9% 4434
совместимый
Инъекция Tobramycin sulfate 5 mg/ml
Инъекция Fenoldopam mesylate 80 µg/ml
Натрия хлорид 0,9% 1803
совместимый
Инъекция Tobramycin sulfate 10 mg/ml
Инъекция Fentanyl citrate 50 µg/ml
Глюкоза 5% 63
совместимый
Инъекция Tobramycin sulfate 10 & 40 mg/ml
Парентеральное питание (бинарная смесь) 999
совместимый
Инъекция Tobramycin sulfate 0.8 mg/ml
Инъекция Enalaprilate 0.05 mg/ml
Натрия хлорид 0,9% 1315
Неопределенная несовместимость несовместимый
Инъекция Tobramycin sulfate
Инъекция Erythromycin lactobionate
3674
совместимый
Инъекция Tobramycin sulfate 0.8 mg/ml
Инъекция Esmolol hydrochloride 10 mg/ml
Глюкоза 5% 384
совместимый
Инъекция Tobramycin sulfate 1.6 mg/ml
Инъекция Filgrastim 40 µg/ml
Глюкоза 5% 104
совместимый
Инъекция Tobramycin sulfate 5 mg/ml
Парентеральное питание (бинарная смесь) 301
совместимый
Инъекция Tobramycin sulfate 5 mg/ml
Инъекция Etoposide phosphate 5 mg/ml
Глюкоза 5% 1410
совместимый
Инъекция Tobramycin sulfate 5 mg/ml
Инъекция Filgrastim 30 µg/ml
Глюкоза 5% 244
совместимый
Инъекция Tobramycin sulfate 40 mg/ml
Раствор Рингера лактата 4603
Немедленные осадки несовместимый
Инъекция Tobramycin sulfate
Инъекция Flucloxacillin sodium
3522
Осадки через 7 часа несовместимый
Инъекция Tobramycin sulfate 8 mg/ml
Инъекция Flucloxacillin sodium 20 mg/ml
Натрия хлорид 0,9% 1232
совместимый
Инъекция Tobramycin sulfate 40 mg/ml
Инъекция Fluconazole 2 mg/ml
Натрия хлорид 0,9% 496
совместимый
Инъекция Tobramycin sulfate 5 mg/ml
Инъекция Fludarabine phosphate 1 mg/ml
Глюкоза 5% 492
совместимый
Инъекция Tobramycin sulfate 40 mg/ml
Инъекция Foscarnet sodium 24 mg/ml
Нет 73
совместимый
Инъекция Tobramycin sulfate 5 mg/ml
Инъекция Fosfomycin 30 mg/ml
Глюкоза 5% 4055
Осадки через 7 часа несовместимый
Инъекция Tobramycin sulfate 8 mg/ml
Инъекция Furosemide 1 mg/ml
Натрия хлорид 0,9% 1232
Немедленные осадки несовместимый
Инъекция Tobramycin sulfate 1,6 mg/ml
Инъекция Furosemide 0,8 mg/ml
Глюкоза 5% 367
Немедленные осадки несовместимый
Инъекция Tobramycin sulfate 1,6 mg/ml
Инъекция Furosemide 0,8 mg/ml
Натрия хлорид 0,9% 367
Неопределенная несовместимость несовместимый
Инъекция Tobramycin sulfate 0.8 mg/ml
Инъекция Heparin sodium 50 UI/ml
Нет 317
Неопределенная несовместимость несовместимый
Инъекция Tobramycin sulfate
Инъекция Heparin sodium
3540
совместимый
Инъекция Tobramycin sulfate
Глюкоза 5% 5086
совместимый
Инъекция Tobramycin sulfate 5 mg/ml
Инъекция Fosfomycin 30 mg/ml
Натрия хлорид 0,9% 4055
совместимый
Инъекция Tobramycin sulfate 5 mg/ml
Инъекция Gemcitabine hydrochloride 10 mg/ml
Натрия хлорид 0,9% 1423
совместимый
Инъекция Tobramycin sulfate 5 mg/ml
Инъекция Granisetron hydrochloride 0.05 mg/ml
Глюкоза 5% 182
совместимый
Инъекция Tobramycin sulfate 5 mg/ml
Инъекция Hetastarch 60 mg/ml
Конкретные растворителя 1721
Немедленные осадки несовместимый
Инъекция Tobramycin sulfate 0.8 mg/ml
Инъекция Hetastarch 60 mg/ml
Натрия хлорид 0,9% 472
совместимый
Инъекция Tobramycin sulfate 0.8 mg/ml
Инъекция Hydromorphone hydrochloride 0.2 mg/ml
Глюкоза 5% 405
Осадки через 15 часов несовместимый
Инъекция Tobramycin sulfate 1 mg/ml
Инъекция Indomethacin sodium trihydrate 0,5 & 1 mg/ml
Глюкоза 5% 1745
Немедленные осадки несовместимый
Инъекция Tobramycin sulfate 1 mg/ml
Инъекция Indomethacin sodium trihydrate 0,5 & 1 mg/ml
Глюкоза 5% 494
совместимый
Инъекция Tobramycin sulfate 1.6 & 2 mg/ml
Инъекция Insulin 0.2 UI/ml
Натрия хлорид 0,9% 129
совместимый
Инъекция Tobramycin sulfate 5 mg/ml
Инъекция Isavuconazonium sulfate 1.5 mg/ml
Глюкоза 5% 3829
совместимый
Инъекция Tobramycin sulfate 5 mg/ml
Инъекция Isavuconazonium sulfate 1.5 mg/ml
Натрия хлорид 0,9% 3829
совместимый
Инъекция Tobramycin sulfate 40 mg/ml
Инъекция Ketamine hydrochloride 50 mg/ml
2109
совместимый
Инъекция Tobramycin sulfate 0.8 mg/ml
Инъекция Labetalol hydrochloride 1 mg/ml
Глюкоза 5% 386
Смена цвета через 4 часа несовместимый
Инъекция Tobramycin sulfate 5 mg/ml
Инъекция Lansoprazole 0.55 mg/ml
Натрия хлорид 0,9% 1625
совместимый
Инъекция Tobramycin sulfate 5 mg/ml
Инъекция Linezolid 2 mg/ml
Нет 1925
совместимый
Инъекция Tobramycin sulfate 0,80 mg/ml
Инъекция Linezolid 1,80 mg/ml
2353
совместимый
Инъекция Tobramycin sulfate 0.8 mg/ml
Инъекция Magnesium sulfate 16.67 >> 100 mg/ml
Глюкоза 5% 1047
совместимый
Инъекция Tobramycin sulfate 5 mg/ml
Инъекция Melphalan 0.1 mg/ml
Натрия хлорид 0,9% 169
совместимый
Инъекция Tobramycin sulfate 40 mg/ml
Инъекция Meropenem 50 mg/ml
Вода для инъекций 4319
совместимый
Инъекция Tobramycin sulfate 40 mg/ml
Инъекция Meropenem 50 mg/ml
4389
совместимый
Инъекция Tobramycin sulfate 0.8 mg/ml
Инъекция Metronidazole 5 mg/ml
Нет 1035
совместимый
Инъекция Tobramycin sulfate
Инъекция Metronidazole
3594
совместимый
Инъекция Tobramycin sulfate 10 mg/ml
Инъекция Midazolam hydrochloride 1 mg/ml
Глюкоза 5% 176
совместимый
Инъекция Tobramycin sulfate 1.6 >> 2.4 mg/ml
Инъекция Morphine sulfate 1 mg/ml
Натрия хлорид 0,9% 406
совместимый
Инъекция Tobramycin sulfate 0.8 mg/ml
Инъекция Morphine sulfate 1 mg/ml
Глюкоза 5% 405
совместимый
Инъекция Tobramycin sulfate 40 mg/ml
Инъекция Naloxone hydrochloride 0.4 mg/ml
Нет 3408
совместимый
Инъекция Tobramycin sulfate 0.8 mg/ml
Инъекция Nicardipine hydrochloride 0.1 mg/ml
Натрия хлорид 0,9% 1490
совместимый
Инъекция Tobramycin sulfate 0.8 mg/ml
Инъекция Nicardipine hydrochloride 0.1 mg/ml
Глюкоза 5% 1490
совместимый
Инъекция Tobramycin sulfate 0,8 mg/ml
Инъекция Ofloxacin 2 mg/ml
Нет 889
совместимый
Инъекция Tobramycin sulfate 5 mg/ml
Инъекция Oritavancin 0.8 >>2 mg/ml
Глюкоза 5% 3152
Немедленные осадки несовместимый
Инъекция Tobramycin sulfate
Инъекция Pantoprazole sodium
2090
совместимый
Инъекция Tobramycin sulfate 40 mg/ml
Инъекция Paracetamol 10 mg/ml
4742
Немедленные осадки несовместимый
Инъекция Tobramycin sulfate 5 mg/ml
Инъекция Pemetrexed disodium 20 mg/ml
Натрия хлорид 0,9% 1953
совместимый
Инъекция Tobramycin sulfate 0.8 mg/ml
Инъекция Pethidine hydrochloride 10 mg/ml
Глюкоза 5% 405
совместимый
Инъекция Tobramycin sulfate 1.6 >> 2.4 mg/ml
Инъекция Pethidine hydrochloride 10 mg/ml
Натрия хлорид 0,9% 406
Химическая нестабильность несовместимый
Инъекция Tobramycin sulfate
Инъекция Piperacillin sodium
1168
Химическая нестабильность несовместимый
Инъекция Tobramycin sulfate
Инъекция Piperacillin sodium / tazobactam
3586
Немедленная нестабильность эмульсии несовместимый
Инъекция Tobramycin sulfate 2 mg/ml
Инъекция Propofol
660
Немедленные осадки несовместимый
Инъекция Tobramycin sulfate 5 mg/ml
Инъекция Propofol 10 mg/ml
Нет 300
совместимый
Инъекция Tobramycin sulfate 5 mg/ml
Инъекция Remifentanil hydrochloride 25 & 250 µg/ml
Натрия хлорид 0,9% 59
Немедленные осадки несовместимый
Инъекция Tobramycin sulfate 40 mg/ml
Инъекция Salbutamol sulfate 1 mg/ml
Нет 3216
Осадки через 4 часа несовместимый
Инъекция Tobramycin sulfate 5 mg/ml
Инъекция Sargramostim 10 µg/ml
Натрия хлорид 0,9% 335
совместимый
Инъекция Tobramycin sulfate 2,4 mg/ml
Инъекция Sodium bicarbonate 40 mg/ml
Нет 3122
совместимый
Инъекция Tobramycin sulfate 5 mg/ml
Инъекция Sulbactam/durlobactam 15/15 mg/ml
Натрия хлорид 0,9% 4801
совместимый
Инъекция Tobramycin sulfate 40 mg/ml
Инъекция Tacrolimus 1000 µg/ml
Натрия хлорид 0,9% 479
Немедленная мутность несовместимый
Инъекция Tobramycin sulfate 5 mg/ml
Инъекция Tedizolid phosphate 0.8 mg/ml
Натрия хлорид 0,9% 3827
Неопределенная несовместимость несовместимый
Инъекция Tobramycin sulfate
Инъекция Teicoplanine
3656
совместимый
Инъекция Tobramycin sulfate 5 mg/ml
Инъекция Telavancin hydrochloride 7.5 mg/ml
Натрия хлорид 0,9% 3254
совместимый
Инъекция Tobramycin sulfate 5 mg/ml
Инъекция Telavancin hydrochloride 7.5 mg/ml
Глюкоза 5% 3254
совместимый
Инъекция Tobramycin sulfate 6 mg/ml
Инъекция Temocilline 83.33 mg/ml
Вода для инъекций 2231
Неопределенная несовместимость несовместимый
Инъекция Tobramycin sulfate
Инъекция Temocilline
2296
совместимый
Инъекция Tobramycin sulfate 5 mg/ml
Инъекция Teniposide 0.1 mg/ml
Глюкоза 5% 905
совместимый
Инъекция Tobramycin sulfate 0.8 mg/ml
Инъекция Theophylline 4 mg/ml
Нет 317
Немедленные осадки несовместимый
Инъекция Tobramycin sulfate 40 mg/ml
Инъекция Thiopental sodium 25 mg/ml
Натрия хлорид 0,9% 3767
совместимый
Инъекция Tobramycin sulfate 5 mg/ml
Инъекция Thiotepa 1 mg/ml
Глюкоза 5% 249
совместимый
Инъекция Tobramycin sulfate
Натрия хлорид 0,9% 5086
Химическая нестабильность несовместимый
Инъекция Tobramycin sulfate
Инъекция Ticarcillin / clavulanic acid
3587
совместимый
Инъекция Tobramycin sulfate
Инъекция Tigecycline
Натрия хлорид 0,9% 3332
совместимый
Инъекция Tobramycin sulfate 6 mg/ml
Инъекция Vancomycin hydrochloride 10 mg/ml
Глюкоза 5% 3385
совместимый
Инъекция Tobramycin sulfate 0.16 mg/ml
Инъекция Verapamil hydrochloride 0.08 mg/ml
Натрия хлорид 0,9% 1057
совместимый
Инъекция Tobramycin sulfate 0.16 mg/ml
Инъекция Verapamil hydrochloride 0.08 mg/ml
Глюкоза 5% 1057
совместимый
Инъекция Tobramycin sulfate 5 mg/ml
Инъекция Vinorelbine tartrate 1 mg/ml
Натрия хлорид 0,9% 84
совместимый
Инъекция Tobramycin sulfate 2 mg/ml
Инъекция Zidovudine 4 mg/ml
Глюкоза 5% 337

  Mentions Légales