Ultimele actualizari :
27/01/2026
Antibiotic   Tobramycin sulfate  
Injectabil
Aerosol colir Soluţie orală
Stabilitatea in solutie Stabilitatea in amestec Factorii care influenteaza stabilitatea Compatibilitate Microunde Bibliografie pdf
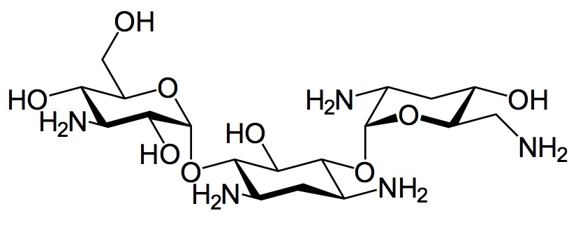
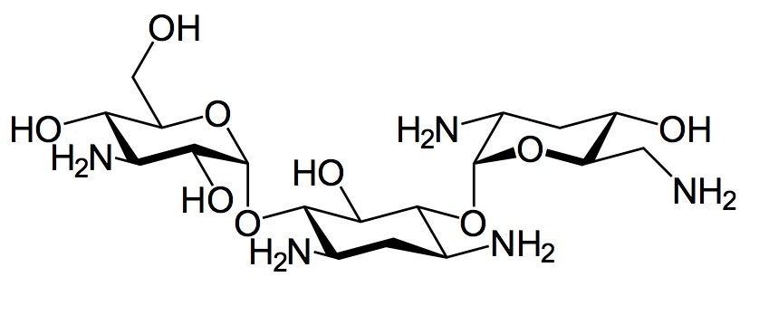
   Formula chimica  

Denumirea comerciala   Denumirea comerciala     

Trade names are indicative and excipients composition can be different depending on the country and manufacturers

Bactob India
Beltob India
Bramicil Italia
Brulamycin Malaezia, Slovenia, Ungaria
Eltol India
Fytobra India
Gernebcin Germania
Komitob India
Nebcin Arabia Saudita, Egipt, Emiratele Arabe Unite, Grecia, Marea Britanie, noua Zeelandă
Nebcina Danemarca, Maroc, Norvegia, Suedia
Nebcine Franta, Maroc, Slovenia
Nebicina Italia
Obracin Belgia, Elvetia, Luxemburg, Olanda
Tobracin Arabia Saudita, Brazilia, Egipt
Tobramicina Argentina, Brazilia, Chilli, Columbia, Ecuador, Italia, Portugalia, Spania
Tobramina Brazilia
Tobramycin Arabia Saudita, Australia, Canada, Germania, Irlanda, Marea Britanie, Norvegia, SUA
Tobramycine Franta, Irlanda, Olanda
Tobrasix Austria
Tobrazid Germania
Compatibilitate   Injectabil   Compatibilitate : Tobramycin sulfate              
Acest ecran indică compatibilitățile sau incompatibilitățile cu, în acest caz, tipul de incompatibilitate (precipitații, schimbarea culorii, modificarea unei emulsii etc.). Compatibilitățile prezentate aici sunt în mare parte numai fizice, stabilitatea chimică a fiecărei molecule fiind rareori evaluată. Evaluarea acestor amestecuri a fost studiată pentru a lua în considerare posibilitatea administrării site-ului Y la pacient. Aceste date nu pot fi utilizate pentru prepararea în prealabil a amestecurilor în pungi sau seringi. Acest tip de informații este disponibil în ecranul „Stabilitate în amestec».
Molecula (substanta activa) Solvent Bibiografie
Compatibil
Injectabil Tobramycin sulfate 1.6 mg/ml
Injectabil Aciclovir sodium 5 mg/ml
Glucoza 5% 336
Precipitații după 1 oră Incompatibil
Injectabil Tobramycin sulfate 5 mg/ml
Injectabil Allopurinol sodium 3 mg/ml
clorura de sodiu 0,9% 307
Compatibil
Injectabil Tobramycin sulfate 1 mg/ml
Injectabil Alprostadil 15 µg/ml
3201
Compatibil
Injectabil Tobramycin sulfate 5 mg/ml
Injectabil Amifostine 10 mg/ml
Glucoza 5% 3
Compatibil
Injectabil Tobramycin sulfate 5 mg/ml
Injectabil Amiodarone hydrochloride 6 mg/ml
Glucoza 5% 1611
Compatibil
Injectabil Tobramycin sulfate 0.8 mg/ml
Injectabil Amiodarone hydrochloride 4 mg/ml
clorura de sodiu 0,9% 385
Compatibil
Injectabil Tobramycin sulfate 0.8 mg/ml
Injectabil Amiodarone hydrochloride 4 mg/ml
Glucoza 5% 385
Instabilitate chimică Incompatibil
Injectabil Tobramycin sulfate
Injectabil Amoxicillin sodium
3527
Incompatibilitate nespecificată Incompatibil
Injectabil Tobramycin sulfate
Injectabil Amoxicillin sodium / clavulanic acid
3545
Compatibil
Injectabil Tobramycin sulfate 40 mg/ml
Injectabil Amoxicillin sodium / clavulanic acid 100/10 mg/ml
3824
Precipitații imediate Incompatibil
Injectabil Tobramycin sulfate 5 mg/ml
Injectabil Amphotericin B cholesteryl sulfate complex 0.83 mg/ml
Glucoza 5% 921
Compatibil
Injectabil Tobramycin sulfate 5 mg/ml
Injectabil Amsacrine 1 mg/ml
Glucoza 5% 253
Compatibil
Injectabil Tobramycin sulfate 5 mg/ml
Injectabil Anidulafungin 0.5 mg/ml
Glucoza 5% 1982
Precipitații imediate Incompatibil
Injectabil Tobramycin sulfate 21 mg/ml
Injectabil Azithromycine 2 mg/ml
clorura de sodiu 0,9% 1800
Compatibil
Injectabil Tobramycin sulfate 0.2 & 0.8 mg/ml
Injectabil Aztreonam 10 & 20 mg/ml
Glucoza 5% 19
Compatibil
Injectabil Tobramycin sulfate 0.2 & 0.8 mg/ml
Injectabil Aztreonam 10 & 20 mg/ml
clorura de sodiu 0,9% 19
Compatibil
Injectabil Tobramycin sulfate 5 mg/ml
Injectabil Aztreonam 40 mg/ml
Glucoza 5% 99
Compatibil
Injectabil Tobramycin sulfate 5 mg/ml
Injectabil Bivalirudin 5 mg/ml
Glucoza 5% 1713
Compatibil
Injectabil Tobramycin sulfate 40 mg/ml
Injectabil Caffeine 10 mg/ml
fara 3964
Incompatibil
Injectabil Tobramycin sulfate
Injectabil Calcium gluconate
4964
Incompatibilitate nespecificată Incompatibil
Injectabil Tobramycin sulfate
Injectabil Calcium gluconate
3644
Compatibil
Injectabil Tobramycin sulfate 1 mg/ml
Injectabil Calcium gluconate 33 mg/ml
Glucoza 5% 503
Compatibil
Injectabil Tobramycin sulfate 5 mg/ml
Injectabil Calcium gluconate 16 mg/ml
Glucoza 5% 503
Compatibil
Injectabil Tobramycin sulfate 5 mg/ml
Injectabil Caspofungin acetate 0,7 mg/ml
clorura de sodiu 0,9% 2247
Precipitații imediate Incompatibil
Injectabil Tobramycin sulfate
Injectabil Cefamandole nafate 2 >> 100 mg/ml
clorura de sodiu 0,9% 612
Precipitații imediate Incompatibil
Injectabil Tobramycin sulfate
Injectabil Cefamandole nafate 2 >> 100 mg/ml
Glucoza 5% 612
Incompatibilitate nespecificată Incompatibil
Injectabil Tobramycin sulfate
Injectabil Cefamandole nafate
3546
Compatibil
Injectabil Tobramycin sulfate 6 mg/ml
Injectabil Cefepime dihydrochloride 125 mg/ml
apa pentru preparate injectabile 2141
Incompatibilitate nespecificată Incompatibil
Injectabil Tobramycin sulfate
Injectabil Cefepime dihydrochloride
3548
Precipitații imediate Incompatibil
Injectabil Tobramycin sulfate 10 mg/ml
Injectabil Cefiderocol sulfate tosylate 20 mg/mL
Glucoza 5% 4528
Precipitații imediate Incompatibil
Injectabil Tobramycin sulfate 10 mg/ml
Injectabil Cefiderocol sulfate tosylate 20 mg/mL
clorura de sodiu 0,9% 4528
Precipitații imediate Incompatibil
Injectabil Tobramycin sulfate 0.8 mg/ml
Injectabil Cefoperazone sodium 10 & 40 mg/ml
Glucoza 5% 1206
Incompatibilitate nespecificată Incompatibil
Injectabil Tobramycin sulfate
Injectabil Cefoperazone sodium
3544
Incompatibilitate nespecificată Incompatibil
Injectabil Tobramycin sulfate
Injectabil Cefpirome sulfate
3677
Compatibil
Injectabil Tobramycin sulfate 5 mg/ml
Injectabil Ceftaroline fosamil 2,22 mg/ml
clorura de sodiu 0,9% 3249
Compatibil
Injectabil Tobramycin sulfate 5 mg/ml
Injectabil Ceftaroline fosamil 2,22 mg/ml
Glucoza 5% 3249
Compatibil
Injectabil Tobramycin sulfate 5 mg/ml
Injectabil Ceftaroline fosamil 2,22 mg/ml
Solutie Ringer lactat 3249
Compatibil
Injectabil Tobramycin sulfate 6 mg/ml
Injectabil Ceftazidime 83.3 mg/ml
1759
Incompatibilitate nespecificată Incompatibil
Injectabil Tobramycin sulfate
Injectabil Ceftazidime
3543
Compatibil
Injectabil Tobramycin sulfate 0.008 mg/ml
Injectabil Ceftazidime 0.125 mg/ml
Dianéal® PD2 2.5% glucose (Baxter) 2369
Incompatibilitate nespecificată Incompatibil
Injectabil Tobramycin sulfate
Injectabil Ceftazidime
3883
Compatibil
Injectabil Tobramycin sulfate 6 mg/ml
Injectabil Ceftazidime 125 mg/ml
apa pentru preparate injectabile 2141
Precipitații imediate Incompatibil
Injectabil Tobramycin sulfate 5 mg/ml
Injectabil Ceftobiprole medocaril sodium 2 mg/ml
Solutie Ringer lactat 2269
Incompatibilitate nespecificată Incompatibil
Injectabil Tobramycin sulfate
Injectabil Ceftobiprole medocaril sodium
4650
Precipitații imediate Incompatibil
Injectabil Tobramycin sulfate 5 mg/ml
Injectabil Ceftobiprole medocaril sodium 2 mg/ml
Glucoza 5% 2269
Precipitații imediate Incompatibil
Injectabil Tobramycin sulfate 5 mg/ml
Injectabil Ceftobiprole medocaril sodium 2 mg/ml
clorura de sodiu 0,9% 2269
Compatibil
Injectabil Tobramycin sulfate 5 mg/ml
Injectabil Ceftolozane / tazobactam 10/5 mg/ml
Glucoza 5% 3828
Compatibil
Injectabil Tobramycin sulfate 5 mg/ml
Injectabil Ceftolozane / tazobactam 10/5 mg/ml
clorura de sodiu 0,9% 3828
Incompatibilitate nespecificată Incompatibil
Injectabil Tobramycin sulfate
Injectabil Ceftriaxone disodium
3523
Incompatibilitate nespecificată Incompatibil
Injectabil Tobramycin sulfate
Injectabil Cefuroxime sodium
3687
Compatibil
Injectabil Tobramycin sulfate 1.6 mg/ml
Injectabil Ciprofloxacin lactate 2 mg/ml
Glucoza 5% 285
Compatibil
Injectabil Tobramycin sulfate 1 mg/ml
Injectabil Ciprofloxacin lactate 1.5 mg/ml
Glucoza 5% 434
Compatibil
Injectabil Tobramycin sulfate 1 mg/ml
Injectabil Ciprofloxacin lactate 1.5 mg/ml
clorura de sodiu 0,9% 434
Compatibil
Injectabil Tobramycin sulfate 1,6 mg/ml
Injectabil Ciprofloxacin lactate 1 mg/ml
Glucoza 5% 500
Compatibil
Injectabil Tobramycin sulfate 1,6 mg/ml
Injectabil Ciprofloxacin lactate 1 mg/ml
clorura de sodiu 0,9% 500
Compatibil
Injectabil Tobramycin sulfate 5 mg/ml
Injectabil Cisatracurium besylate 0.1 >> 5 mg/ml
Glucoza 5% 299
Instabilitate chimică Incompatibil
Injectabil Tobramycin sulfate
Injectabil Cisplatin
3578
Compatibil
Injectabil Tobramycin sulfate
Injectabil Clindamycin phosphate
Glucoza 5% 3526
Compatibil
Injectabil Tobramycin sulfate
Injectabil Clindamycin phosphate
clorura de sodiu 0,9% 3526
Precipitații imediate Incompatibil
Injectabil Tobramycin sulfate 12 mg/ml
Injectabil Clindamycin phosphate 90 mg/ml
clorura de sodiu 0,9% 639
Precipitații imediate Incompatibil
Injectabil Tobramycin sulfate 40 mg/ml
Injectabil Cloxacillin sodium 100 mg/ml
apa pentru preparate injectabile 3012
Precipitații imediate Incompatibil
Injectabil Tobramycin sulfate 10 mg/ml
Injectabil Defibrotide 8 mg/ml
clorura de sodiu 0,9% 3728
Compatibil
Injectabil Tobramycin sulfate 5 mg/ml
Injectabil Dexmedetomidine 4 µg/ml
clorura de sodiu 0,9% 1712
Compatibil
Injectabil Tobramycin sulfate 2.4 & 40 mg/ml
Injectabil Diltiazem hydrochloride 5 mg/ml
clorura de sodiu 0,9% 198
Compatibil
Injectabil Tobramycin sulfate
Injectabil Dimenhydrinate
2087
Compatibil
Injectabil Tobramycin sulfate 5 mg/ml
Injectabil Docetaxel 0.9 mg/ml
Glucoza 5% 1754
Compatibil
Injectabil Tobramycin sulfate 40 mg/ml
Nutriție parenterală (cu lipide) 673
Compatibil
Injectabil Tobramycin sulfate 10 mg/ml
Nutritie parenterala (amestec binar) 316
Compatibil
Injectabil Tobramycin sulfate 5 mg/ml
Nutriție parenterală (cu lipide) 1415
Compatibil
Injectabil Tobramycin sulfate 5 mg/ml
Injectabil Doripenem 5 mg/ml
Glucoza 5% 2262
Compatibil
Injectabil Tobramycin sulfate 0,05 mg/ml
Nutritie parenterala (amestec binar) 4445
Compatibil
Injectabil Tobramycin sulfate 5 mg/ml
Injectabil Doripenem 5 mg/ml
clorura de sodiu 0,9% 2262
Compatibil
Injectabil Tobramycin sulfate 5 mg/ml
Injectabil Doxorubicin hydrochloride liposome peg 0.4 mg/ml
Glucoza 5% 251
Compatibil
Injectabil Tobramycin sulfate 5 mg/ml
Injectabil Eravacycline 0,6 mg/ml
clorura de sodiu 0,9% 4434
Compatibil
Injectabil Tobramycin sulfate 5 mg/ml
Injectabil Fenoldopam mesylate 80 µg/ml
clorura de sodiu 0,9% 1803
Compatibil
Injectabil Tobramycin sulfate 10 mg/ml
Injectabil Fentanyl citrate 50 µg/ml
Glucoza 5% 63
Compatibil
Injectabil Tobramycin sulfate 10 & 40 mg/ml
Nutritie parenterala (amestec binar) 999
Compatibil
Injectabil Tobramycin sulfate 0.8 mg/ml
Injectabil Enalaprilate 0.05 mg/ml
clorura de sodiu 0,9% 1315
Incompatibilitate nespecificată Incompatibil
Injectabil Tobramycin sulfate
Injectabil Erythromycin lactobionate
3674
Compatibil
Injectabil Tobramycin sulfate 0.8 mg/ml
Injectabil Esmolol hydrochloride 10 mg/ml
Glucoza 5% 384
Compatibil
Injectabil Tobramycin sulfate 1.6 mg/ml
Injectabil Filgrastim 40 µg/ml
Glucoza 5% 104
Compatibil
Injectabil Tobramycin sulfate 5 mg/ml
Nutritie parenterala (amestec binar) 301
Compatibil
Injectabil Tobramycin sulfate 5 mg/ml
Injectabil Etoposide phosphate 5 mg/ml
Glucoza 5% 1410
Compatibil
Injectabil Tobramycin sulfate 5 mg/ml
Injectabil Filgrastim 30 µg/ml
Glucoza 5% 244
Compatibil
Injectabil Tobramycin sulfate 40 mg/ml
Solutie Ringer lactat 4603
Precipitații imediate Incompatibil
Injectabil Tobramycin sulfate
Injectabil Flucloxacillin sodium
3522
Precipitații după 7 ore Incompatibil
Injectabil Tobramycin sulfate 8 mg/ml
Injectabil Flucloxacillin sodium 20 mg/ml
clorura de sodiu 0,9% 1232
Compatibil
Injectabil Tobramycin sulfate 40 mg/ml
Injectabil Fluconazole 2 mg/ml
clorura de sodiu 0,9% 496
Compatibil
Injectabil Tobramycin sulfate 5 mg/ml
Injectabil Fludarabine phosphate 1 mg/ml
Glucoza 5% 492
Compatibil
Injectabil Tobramycin sulfate 40 mg/ml
Injectabil Foscarnet sodium 24 mg/ml
fara 73
Compatibil
Injectabil Tobramycin sulfate 5 mg/ml
Injectabil Fosfomycin 30 mg/ml
Glucoza 5% 4055
Precipitații după 7 ore Incompatibil
Injectabil Tobramycin sulfate 8 mg/ml
Injectabil Furosemide 1 mg/ml
clorura de sodiu 0,9% 1232
Precipitații imediate Incompatibil
Injectabil Tobramycin sulfate 1,6 mg/ml
Injectabil Furosemide 0,8 mg/ml
Glucoza 5% 367
Precipitații imediate Incompatibil
Injectabil Tobramycin sulfate 1,6 mg/ml
Injectabil Furosemide 0,8 mg/ml
clorura de sodiu 0,9% 367
Incompatibilitate nespecificată Incompatibil
Injectabil Tobramycin sulfate 0.8 mg/ml
Injectabil Heparin sodium 50 UI/ml
fara 317
Incompatibilitate nespecificată Incompatibil
Injectabil Tobramycin sulfate
Injectabil Heparin sodium
3540
Compatibil
Injectabil Tobramycin sulfate
Glucoza 5% 5086
Compatibil
Injectabil Tobramycin sulfate 5 mg/ml
Injectabil Fosfomycin 30 mg/ml
clorura de sodiu 0,9% 4055
Compatibil
Injectabil Tobramycin sulfate 5 mg/ml
Injectabil Gemcitabine hydrochloride 10 mg/ml
clorura de sodiu 0,9% 1423
Compatibil
Injectabil Tobramycin sulfate 5 mg/ml
Injectabil Granisetron hydrochloride 0.05 mg/ml
Glucoza 5% 182
Compatibil
Injectabil Tobramycin sulfate 5 mg/ml
Injectabil Hetastarch 60 mg/ml
specific de solvent 1721
Precipitații imediate Incompatibil
Injectabil Tobramycin sulfate 0.8 mg/ml
Injectabil Hetastarch 60 mg/ml
clorura de sodiu 0,9% 472
Compatibil
Injectabil Tobramycin sulfate 0.8 mg/ml
Injectabil Hydromorphone hydrochloride 0.2 mg/ml
Glucoza 5% 405
Precipitații după 15 minute Incompatibil
Injectabil Tobramycin sulfate 1 mg/ml
Injectabil Indomethacin sodium trihydrate 0,5 & 1 mg/ml
Glucoza 5% 1745
Precipitații imediate Incompatibil
Injectabil Tobramycin sulfate 1 mg/ml
Injectabil Indomethacin sodium trihydrate 0,5 & 1 mg/ml
Glucoza 5% 494
Compatibil
Injectabil Tobramycin sulfate 1.6 & 2 mg/ml
Injectabil Insulin 0.2 UI/ml
clorura de sodiu 0,9% 129
Compatibil
Injectabil Tobramycin sulfate 5 mg/ml
Injectabil Isavuconazonium sulfate 1.5 mg/ml
Glucoza 5% 3829
Compatibil
Injectabil Tobramycin sulfate 5 mg/ml
Injectabil Isavuconazonium sulfate 1.5 mg/ml
clorura de sodiu 0,9% 3829
Compatibil
Injectabil Tobramycin sulfate 40 mg/ml
Injectabil Ketamine hydrochloride 50 mg/ml
2109
Compatibil
Injectabil Tobramycin sulfate 0.8 mg/ml
Injectabil Labetalol hydrochloride 1 mg/ml
Glucoza 5% 386
Schimbarea culorii după 4 ore Incompatibil
Injectabil Tobramycin sulfate 5 mg/ml
Injectabil Lansoprazole 0.55 mg/ml
clorura de sodiu 0,9% 1625
Compatibil
Injectabil Tobramycin sulfate 5 mg/ml
Injectabil Linezolid 2 mg/ml
fara 1925
Compatibil
Injectabil Tobramycin sulfate 0,80 mg/ml
Injectabil Linezolid 1,80 mg/ml
2353
Compatibil
Injectabil Tobramycin sulfate 0.8 mg/ml
Injectabil Magnesium sulfate 16.67 >> 100 mg/ml
Glucoza 5% 1047
Compatibil
Injectabil Tobramycin sulfate 5 mg/ml
Injectabil Melphalan 0.1 mg/ml
clorura de sodiu 0,9% 169
Compatibil
Injectabil Tobramycin sulfate 40 mg/ml
Injectabil Meropenem 50 mg/ml
apa pentru preparate injectabile 4319
Compatibil
Injectabil Tobramycin sulfate 40 mg/ml
Injectabil Meropenem 50 mg/ml
4389
Compatibil
Injectabil Tobramycin sulfate 0.8 mg/ml
Injectabil Metronidazole 5 mg/ml
fara 1035
Compatibil
Injectabil Tobramycin sulfate
Injectabil Metronidazole
3594
Compatibil
Injectabil Tobramycin sulfate 10 mg/ml
Injectabil Midazolam hydrochloride 1 mg/ml
Glucoza 5% 176
Compatibil
Injectabil Tobramycin sulfate 1.6 >> 2.4 mg/ml
Injectabil Morphine sulfate 1 mg/ml
clorura de sodiu 0,9% 406
Compatibil
Injectabil Tobramycin sulfate 0.8 mg/ml
Injectabil Morphine sulfate 1 mg/ml
Glucoza 5% 405
Compatibil
Injectabil Tobramycin sulfate 40 mg/ml
Injectabil Naloxone hydrochloride 0.4 mg/ml
fara 3408
Compatibil
Injectabil Tobramycin sulfate 0.8 mg/ml
Injectabil Nicardipine hydrochloride 0.1 mg/ml
clorura de sodiu 0,9% 1490
Compatibil
Injectabil Tobramycin sulfate 0.8 mg/ml
Injectabil Nicardipine hydrochloride 0.1 mg/ml
Glucoza 5% 1490
Compatibil
Injectabil Tobramycin sulfate 0,8 mg/ml
Injectabil Ofloxacin 2 mg/ml
fara 889
Compatibil
Injectabil Tobramycin sulfate 5 mg/ml
Injectabil Oritavancin 0.8 >>2 mg/ml
Glucoza 5% 3152
Precipitații imediate Incompatibil
Injectabil Tobramycin sulfate
Injectabil Pantoprazole sodium
2090
Compatibil
Injectabil Tobramycin sulfate 40 mg/ml
Injectabil Paracetamol 10 mg/ml
4742
Precipitații imediate Incompatibil
Injectabil Tobramycin sulfate 5 mg/ml
Injectabil Pemetrexed disodium 20 mg/ml
clorura de sodiu 0,9% 1953
Compatibil
Injectabil Tobramycin sulfate 0.8 mg/ml
Injectabil Pethidine hydrochloride 10 mg/ml
Glucoza 5% 405
Compatibil
Injectabil Tobramycin sulfate 1.6 >> 2.4 mg/ml
Injectabil Pethidine hydrochloride 10 mg/ml
clorura de sodiu 0,9% 406
Instabilitate chimică Incompatibil
Injectabil Tobramycin sulfate
Injectabil Piperacillin sodium
1168
Instabilitate chimică Incompatibil
Injectabil Tobramycin sulfate
Injectabil Piperacillin sodium / tazobactam
3586
Instabilitate imediată a emulsiei Incompatibil
Injectabil Tobramycin sulfate 2 mg/ml
Injectabil Propofol
660
Precipitații imediate Incompatibil
Injectabil Tobramycin sulfate 5 mg/ml
Injectabil Propofol 10 mg/ml
fara 300
Compatibil
Injectabil Tobramycin sulfate 5 mg/ml
Injectabil Remifentanil hydrochloride 25 & 250 µg/ml
clorura de sodiu 0,9% 59
Precipitații imediate Incompatibil
Injectabil Tobramycin sulfate 40 mg/ml
Injectabil Salbutamol sulfate 1 mg/ml
fara 3216
Precipitații după 4 ore Incompatibil
Injectabil Tobramycin sulfate 5 mg/ml
Injectabil Sargramostim 10 µg/ml
clorura de sodiu 0,9% 335
Compatibil
Injectabil Tobramycin sulfate 2,4 mg/ml
Injectabil Sodium bicarbonate 40 mg/ml
fara 3122
Compatibil
Injectabil Tobramycin sulfate 5 mg/ml
Injectabil Sulbactam/durlobactam 15/15 mg/ml
clorura de sodiu 0,9% 4801
Compatibil
Injectabil Tobramycin sulfate 40 mg/ml
Injectabil Tacrolimus 1000 µg/ml
clorura de sodiu 0,9% 479
Turbiditate imediată Incompatibil
Injectabil Tobramycin sulfate 5 mg/ml
Injectabil Tedizolid phosphate 0.8 mg/ml
clorura de sodiu 0,9% 3827
Incompatibilitate nespecificată Incompatibil
Injectabil Tobramycin sulfate
Injectabil Teicoplanine
3656
Compatibil
Injectabil Tobramycin sulfate 5 mg/ml
Injectabil Telavancin hydrochloride 7.5 mg/ml
clorura de sodiu 0,9% 3254
Compatibil
Injectabil Tobramycin sulfate 5 mg/ml
Injectabil Telavancin hydrochloride 7.5 mg/ml
Glucoza 5% 3254
Compatibil
Injectabil Tobramycin sulfate 6 mg/ml
Injectabil Temocilline 83.33 mg/ml
apa pentru preparate injectabile 2231
Incompatibilitate nespecificată Incompatibil
Injectabil Tobramycin sulfate
Injectabil Temocilline
2296
Compatibil
Injectabil Tobramycin sulfate 5 mg/ml
Injectabil Teniposide 0.1 mg/ml
Glucoza 5% 905
Compatibil
Injectabil Tobramycin sulfate 0.8 mg/ml
Injectabil Theophylline 4 mg/ml
fara 317
Precipitații imediate Incompatibil
Injectabil Tobramycin sulfate 40 mg/ml
Injectabil Thiopental sodium 25 mg/ml
clorura de sodiu 0,9% 3767
Compatibil
Injectabil Tobramycin sulfate 5 mg/ml
Injectabil Thiotepa 1 mg/ml
Glucoza 5% 249
Compatibil
Injectabil Tobramycin sulfate
clorura de sodiu 0,9% 5086
Instabilitate chimică Incompatibil
Injectabil Tobramycin sulfate
Injectabil Ticarcillin / clavulanic acid
3587
Compatibil
Injectabil Tobramycin sulfate
Injectabil Tigecycline
clorura de sodiu 0,9% 3332
Compatibil
Injectabil Tobramycin sulfate 6 mg/ml
Injectabil Vancomycin hydrochloride 10 mg/ml
Glucoza 5% 3385
Compatibil
Injectabil Tobramycin sulfate 0.16 mg/ml
Injectabil Verapamil hydrochloride 0.08 mg/ml
clorura de sodiu 0,9% 1057
Compatibil
Injectabil Tobramycin sulfate 0.16 mg/ml
Injectabil Verapamil hydrochloride 0.08 mg/ml
Glucoza 5% 1057
Compatibil
Injectabil Tobramycin sulfate 5 mg/ml
Injectabil Vinorelbine tartrate 1 mg/ml
clorura de sodiu 0,9% 84
Compatibil
Injectabil Tobramycin sulfate 2 mg/ml
Injectabil Zidovudine 4 mg/ml
Glucoza 5% 337

  Mentions Légales