Cập nhật lần cuối :
18/03/2026
Thuốc trợ tim   Digoxin  
Dạng tiêm
Tính ổn định của các dung dịch Độ ổn định khi trộn lẫn Những yếu tố ảnh hưởng đến độ ổn định Khả năng tương thích Đường dùng Tài liệu tham khảo Pdf
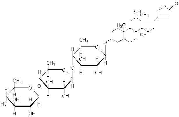
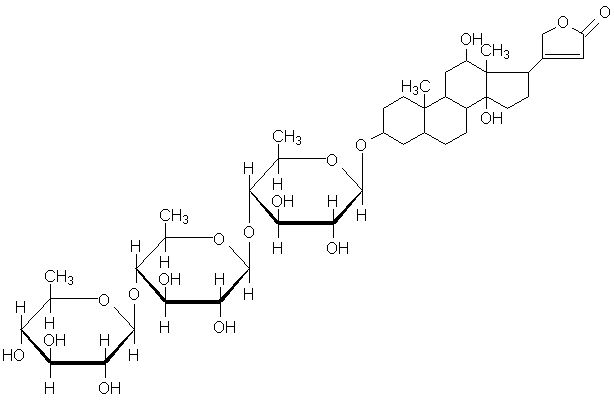
   Cấu trúc hóa học  

Tên thương mại   Tên thương mại     

Các tên thương mại được cung cấp và thành phần tá dược có thể khác nhau giữa các quốc gia và các hãng dược

Cardixin Ả Rập
Celoxin Ấn Độ
Digibind Hoa Kỳ, new zealand
Digocard Argentina, Ecuador
Digosin Nhật
Digoxin Anh, Argentina, Ba Lan, Canada, Ecuador, Hoa Kỳ, Hungary, Iran, Phần Lan, Thụy Điển, Đan Mạch
Digoxina Argentina, Ecuador, Mexico, Tây Ban Nha, Venezuela
Digoxine Hy Lạp, Pháp, Thụy Sỹ
Geoxin Ấn Độ
Lanibos Ả Rập Saudi
Lanicor Đức
Lanoxin Ả Rập, Ả Rập Saudi, Anh, Bỉ, Bồ Đào Nha, Chile, Hà Lan, Hoa Kỳ, Iran, Ireland, Luxembourg, Malaysia, Na Uy, new zealand, United Arab Emirates, Ý
Loxinan Mexico
Khả năng tương thích   Dạng tiêm   Khả năng tương thích : Digoxin              
Màn hình này cho biết khả năng tương thích hoặc không tương thích, trong trường hợp này là loại không tương thích (kết tủa, thay đổi màu sắc, sửa đổi nhũ tương, v.v.). Sự tương hợp được chỉ ra ở đây chủ yếu chỉ là vật lý, với độ ổn định hóa học của mỗi phân tử hiếm khi được đánh giá. Việc đánh giá các hỗn hợp này được nghiên cứu để xem xét khả năng sử dụng vị trí Y cho bệnh nhân. Những dữ liệu này không thể được sử dụng để tạo hỗn hợp trước trong túi hoặc ống tiêm. Loại thông tin này có sẵn trong màn hình "Độ ổn định trong hỗn hợp».
Phân tử Dung môi Mục lục
Lượng mưa ngay lập tức Không tương thích
Dạng tiêm Digoxin 250 µg/ml
Dạng tiêm Amiodarone hydrochloride 6 mg/ml
Glucose 5% 1611
Tương thích
Dạng tiêm Digoxin 250 µg/ml
Dạng tiêm Amoxicillin sodium / clavulanic acid 100/10 mg/ml
3824
Lượng mưa ngay lập tức Không tương thích
Dạng tiêm Digoxin 250 µg/ml
Dạng tiêm Amphotericin B cholesteryl sulfate complex 0.83 mg/ml
Glucose 5% 921
Tương thích
Dạng tiêm Digoxin 250 µg/ml
Dạng tiêm Anidulafungin 0.5 mg/ml
Glucose 5% 1982
Tương thích
Dạng tiêm Digoxin 250 µg/ml
Dạng tiêm Caffeine 10 mg/ml
Không 3964
Tương thích
Dạng tiêm Digoxin
Glucose 5% 618
Tương thích
Dạng tiêm Digoxin 250 µg/ml
Dạng tiêm Bivalirudin 5 mg/ml
Glucose 5% 1713
Tương thích
Dạng tiêm Digoxin 2 µg/ml
Dạng tiêm Bretylium tosilate 1 mg/ml
NaCl 0,9% 1193
Tương thích
Dạng tiêm Digoxin 2 µg/ml
Dạng tiêm Bretylium tosilate 1 mg/ml
Glucose 5% 1193
Tương thích
Dạng tiêm Digoxin 250 µg/ml
Dạng tiêm Cefiderocol sulfate tosylate 20 mg/mL
NaCl 0,9% 4528
Tương thích
Dạng tiêm Digoxin 250 µg/ml
Dạng tiêm Cefiderocol sulfate tosylate 20 mg/mL
Glucose 5% 4528
Tương thích
Dạng tiêm Digoxin 250 µg/ml
Dạng tiêm Cefmetazole sodium 100 mg/ml
Nước cất pha tiêm 93
Tương thích
Dạng tiêm Digoxin 250 µg/ml
Dạng tiêm Ceftaroline fosamil 2,22 mg/ml
Glucose 5% 3249
Tương thích
Dạng tiêm Digoxin 250 µg/ml
Dạng tiêm Ceftaroline fosamil 2,22 mg/ml
NaCl 0,9% 3249
Tương thích
Dạng tiêm Digoxin 250 µg/ml
Dạng tiêm Ceftaroline fosamil 2,22 mg/ml
Dung dịch Ringer’s lactate 3249
Tương thích
Dạng tiêm Digoxin 250 µg/ml
Dạng tiêm Ceftobiprole medocaril sodium 2 mg/ml
Dung dịch Ringer’s lactate 2269
Tương thích
Dạng tiêm Digoxin 250 µg/ml
Dạng tiêm Ceftobiprole medocaril sodium 2 mg/ml
NaCl 0,9% 2269
Tương thích
Dạng tiêm Digoxin 250 µg/ml
Dạng tiêm Ceftobiprole medocaril sodium 2 mg/ml
Glucose 5% 2269
Tương thích
Dạng tiêm Digoxin 250 µg/ml
Dạng tiêm Ciprofloxacin lactate 2 mg/ml
NaCl 0,9% 288
Tương thích
Dạng tiêm Digoxin 250 µg/ml
Dạng tiêm Cisatracurium besylate 0.1 >> 5 mg/ml
Glucose 5% 299
Tương thích
Dạng tiêm Digoxin 250 µg/ml
Dinh dưỡng đường tĩnh mạch (hỗn hợp 2 thành phần) 301
Tương thích
Dạng tiêm Digoxin 2.5 µg/ml
Dạng tiêm Cimetidine hydrochloride 3 mg/ml
Glucose 5% 1201
Tương thích
Dạng tiêm Digoxin 250 µg/ml
Dạng tiêm Ciprofloxacin lactate 2 mg/ml
NaCl 0,9% 289
Tương thích
Dạng tiêm Digoxin 50 µg/ml
Dạng tiêm Cloxacillin sodium 100 mg/ml
Nước cất pha tiêm 3012
Tương thích
Dạng tiêm Digoxin 250 µg/ml
Dinh dưỡng đường tĩnh mạch (có lipids) 1415
Tương thích
Dạng tiêm Digoxin 250 µg/ml
Dạng tiêm Ceftolozane / tazobactam 10/5 mg/ml
NaCl 0,9% 3828
Tương thích
Dạng tiêm Digoxin 250 µg/ml
Dạng tiêm Ceftolozane / tazobactam 10/5 mg/ml
Glucose 5% 3828
Tương thích
Dạng tiêm Digoxin 250 µg/ml
Dạng tiêm Ciprofloxacin lactate 2 mg/ml
Glucose 5% 288
Tương thích
Dạng tiêm Digoxin 0.4 µg/ml
Dinh dưỡng đường tĩnh mạch (có lipids) 1338
Tương thích
Dạng tiêm Digoxin 250 µg/ml
Dạng tiêm Dexmedetomidine 4 µg/ml
NaCl 0,9% 1712
Tương thích
Dạng tiêm Digoxin 500 µg/ml
Dạng tiêm Diltiazem hydrochloride 1 & 5 mg/ml
NaCl 0,9% 198
Tương thích
Dạng tiêm Digoxin
Dạng tiêm Dimenhydrinate
2087
Thay đổi màu sau 24 giờ Không tương thích
Dạng tiêm Digoxin 4 µg/ml
Dạng tiêm Dobutamine hydrochloride 1 mg/ml
Glucose 5% 1058
Thay đổi màu sau 24 giờ Không tương thích
Dạng tiêm Digoxin 4 µg/ml
Dạng tiêm Dobutamine hydrochloride 1 mg/ml
NaCl 0,9% 1058
Tương thích
Dạng tiêm Digoxin 250 µg/ml
Dạng tiêm Doripenem 5 mg/ml
NaCl 0,9% 2262
Tương thích
Dạng tiêm Digoxin 250 µg/ml
Dạng tiêm Doripenem 5 mg/ml
Glucose 5% 2262
Tương thích
Dạng tiêm Digoxin 250 µg/ml
Dạng tiêm Famotidine
Glucose 5% 397
Tương thích
Dạng tiêm Digoxin 250 µg/ml
Dạng tiêm Fenoldopam mesylate 80 µg/ml
NaCl 0,9% 1803
Tương thích
Dạng tiêm Digoxin 100 µg/ml
Dạng tiêm Fentanyl citrate 50 µg/ml
Glucose 5% 63
Tương thích
Dạng tiêm Digoxin 25 µg/ml
Dạng tiêm Flucloxacillin sodium 20 mg/ml
NaCl 0,9% 1232
Sản xuất bong bóng khí Không tương thích
Dạng tiêm Digoxin 250 µg/ml
Dạng tiêm Fluconazole 2 mg/ml
NaCl 0,9% 496
Tương thích
Dạng tiêm Digoxin 50 µg/ml
Dung dịch Ringer’s lactate 4603
Sản xuất bong bóng khí Không tương thích
Dạng tiêm Digoxin 250 µg/ml
Dạng tiêm Foscarnet sodium 24 mg/ml
Không 73
Tương thích
Dạng tiêm Digoxin
Dung dịch Ringer’s lactate 618
Tương thích
Dạng tiêm Digoxin 250 µg/ml
Dạng tiêm Fosfomycin 30 mg/ml
Glucose 5% 4055
Tương thích
Dạng tiêm Digoxin 250 µg/ml
Dạng tiêm Fosfomycin 30 mg/ml
NaCl 0,9% 4055
Tương thích
Dạng tiêm Digoxin 25 µg/ml
Dạng tiêm Furosemide 1 mg/ml
NaCl 0,9% 1232
Tương thích
Dạng tiêm Digoxin 250 µg/ml
Dạng tiêm Hetastarch 60 mg/ml
dung môi cụ thể 1721
Tương thích
Dạng tiêm Digoxin 0,25 µg/ml
Dạng tiêm Imipenem-Cilastatin / Relebactam 5 mg/ml
Glucose 5% 4433
Tương thích
Dạng tiêm Digoxin 0,25 µg/ml
Dạng tiêm Imipenem-Cilastatin / Relebactam 5 mg/ml
NaCl 0,9% 4433
Tương thích
Dạng tiêm Digoxin 250 µg/ml
Dạng tiêm Isavuconazonium sulfate 1.5 mg/ml
Glucose 5% 3829
Tương thích
Dạng tiêm Digoxin 250 µg/ml
Dạng tiêm Isavuconazonium sulfate 1.5 mg/ml
NaCl 0,9% 3829
Tương thích
Dạng tiêm Digoxin 50 µg/ml
Dạng tiêm Ketamine hydrochloride 50 mg/ml
2109
Lượng mưa ngay lập tức Không tương thích
Dạng tiêm Digoxin 250 µg/ml
Dạng tiêm Lansoprazole 0.55 mg/ml
NaCl 0,9% 1625
Tương thích
Dạng tiêm Digoxin 250 µg/ml
Dạng tiêm Levosimendan 0,025 & 0,05 mg/ml
4571
Tương thích
Dạng tiêm Digoxin 1 µg/ml
Dạng tiêm Lidocaine hydrochloride 2 mg/ml
Dung dịch Ringer’s lactate 619
Tương thích
Dạng tiêm Digoxin 1 µg/ml
Dạng tiêm Lidocaine hydrochloride 2 mg/ml
Glucose 5% 619
Tương thích
Dạng tiêm Digoxin 1 µg/ml
Dạng tiêm Lidocaine hydrochloride 2 mg/ml
NaCl 0,9% 619
Tương thích
Dạng tiêm Digoxin 250 µg/ml
Dạng tiêm Linezolid 2 mg/ml
Không 1925
Tương thích
Dạng tiêm Digoxin 250 µg/ml
Dạng tiêm Meropenem 50 mg/ml
Nước cất pha tiêm 4319
Tương thích
Dạng tiêm Digoxin 250 µg/ml
Dạng tiêm Meropenem 1 & 50 mg/ml
NaCl 0,9% 266
Tương thích
Dạng tiêm Digoxin 100 µg/ml
Dạng tiêm Midazolam hydrochloride 1 mg/ml
Glucose 5% 176
Tương thích
Dạng tiêm Digoxin 50 & 125 µg/ml
Dạng tiêm Milrinone lactate 0.1 & 0.35 mg/ml
Glucose 5% 191
Tương thích
Dạng tiêm Digoxin 250 µg/ml
Dạng tiêm Morphine sulfate 1 mg/ml
Glucose 5% 62
Tương thích
Dạng tiêm Digoxin 50 µg/ml
Dạng tiêm N-acetylcysteine 200 mg/ml
Không 3766
Tương thích
Dạng tiêm Digoxin 50 µg/ml
Dạng tiêm Naloxone hydrochloride 0.4 mg/ml
Không 3408
Lượng mưa sau 4 giờ Không tương thích
Dạng tiêm Digoxin
Dạng tiêm Pantoprazole sodium
2090
Tương thích
Dạng tiêm Digoxin 250 µg/ml
Dạng tiêm Pethidine hydrochloride 10 mg/ml
Glucose 5% 62
Tương thích
Dạng tiêm Digoxin 250 µg/ml
Dạng tiêm Plazomicin sulfate 24 mg/ml
NaCl 0,9% 4145
Tương thích
Dạng tiêm Digoxin 250 µg/ml
Dạng tiêm Potassium chloride 40 mEq/l
Glucose 5% 730
Tương thích
Dạng tiêm Digoxin 250 µg/ml
Dạng tiêm Potassium chloride 40 mEq/l
Dung dịch Ringer’s lactate 730
Tương thích
Dạng tiêm Digoxin 250 µg/ml
Dạng tiêm Potassium chloride 40 mEq/l
NaCl 0,9% 730
Tương thích
Dạng tiêm Digoxin 250 µg/ml
Dạng tiêm Propofol 10 mg/ml
Không 300
Tương thích
Dạng tiêm Digoxin 250 µg/ml
Dạng tiêm Remifentanil hydrochloride 25 & 250 µg/ml
NaCl 0,9% 59
Tương thích
Dạng tiêm Digoxin 0,25 µg/ml
Dạng tiêm Sulbactam/durlobactam 15/15 mg/ml
NaCl 0,9% 4801
Tương thích
Dạng tiêm Digoxin 250 µg/ml
Dạng tiêm Tacrolimus 1000 µg/ml
NaCl 0,9% 479
Tương thích
Dạng tiêm Digoxin 250 µg/ml
Dạng tiêm Tedizolid phosphate 0.8 mg/ml
NaCl 0,9% 3827
Tương thích
Dạng tiêm Digoxin 250 µg/ml
Dạng tiêm Telavancin hydrochloride 7.5 mg/ml
Dung dịch Ringer’s lactate 3254
Tương thích
Dạng tiêm Digoxin 2 µg/ml
Dạng tiêm Verapamil hydrochloride 0,08 mg/ml
NaCl 0,9% 706
Tương thích
Dạng tiêm Digoxin
NaCl 0,9% 618
Tính không ổn định của nhũ tương sau 1 giờ Không tương thích
Dạng tiêm Digoxin 250 µg/ml
Dạng tiêm Propofol
660
Độ đục ngay lập tức Không tương thích
Dạng tiêm Digoxin 250 µg/ml
Dạng tiêm Telavancin hydrochloride 7,5 mg/ml
NaCl 0,9% 3254
Độ đục ngay lập tức Không tương thích
Dạng tiêm Digoxin 250 µg/ml
Dạng tiêm Telavancin hydrochloride 7,5 mg/ml
Glucose 5% 3254

  Mentions Légales