Seneste opdatering :
18/03/2026
Kardoitonisk   Digoxin  
Injektion
Stabilitet i (vandige) opløsninger Stabilitet i blandinger Faktorer der påvirker stabiliteten Kompatibilitet Administrationsvej Bibliografi pdf
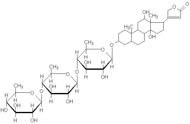
   Kemisk struktur  

Handelsnavn   Handelsnavn     

Handel navne er vejledende og hjælpestoffer sammensætning kan være forskellig afhængigt af landet og laboratorier

Cardixin Ægypten
Celoxin Indien
Digibind New Zealand, USA
Digocard Argentina, Ecuador
Digosin Japan
Digoxin Argentina, Canada, Danmark, Ecuador, Finland, Iran, Polen, Storbritanien, Sverige, Ungarn, USA
Digoxina Argentina, Ecuador, Mexico, Spanien, Venezuela
Digoxine Frankrig, Grækenland, Schweiz
Geoxin Indien
Lanibos Saudi-Arabien
Lanicor Tyskland
Lanoxin Belgien, Chile, Forenede Arabiske Emirater, Holland, Iran, Irland, Italien, Luxemborg, Malaysia, New Zealand, Norge, Portugal, Saudi-Arabien, Storbritanien, USA, Ægypten
Loxinan Mexico
Kompatibilitet   Injektion   Kompatibilitet : Digoxin              
Denne skærm viser kompatibilitet eller uforenelighed med, i dette tilfælde typen af inkompatibilitet (udfældning, farveændring, ændring af en emulsion osv.). Kompatibiliteterne vist her er for det meste kun fysiske, idet den kemiske stabilitet af hvert molekyle sjældent vurderes. Evalueringen af disse blandinger blev undersøgt for at overveje muligheden for Y-sted-administration til patienten. Disse data kan ikke bruges til at fremstille blandinger på forhånd i poser eller sprøjter. Denne type information findes på skærmen "Stabilitet i blanding".
Molekyle Opløsningsmiddel Bibliografi
Umiddelbar nedbør Uforenelig
Injektion Digoxin 250 µg/ml
Injektion Amiodarone hydrochloride 6 mg/ml
5 % Glukose 1611
Kompatibel
Injektion Digoxin 250 µg/ml
Injektion Amoxicillin sodium / clavulanic acid 100/10 mg/ml
3824
Umiddelbar nedbør Uforenelig
Injektion Digoxin 250 µg/ml
Injektion Amphotericin B cholesteryl sulfate complex 0.83 mg/ml
5 % Glukose 921
Kompatibel
Injektion Digoxin 250 µg/ml
Injektion Anidulafungin 0.5 mg/ml
5 % Glukose 1982
Kompatibel
Injektion Digoxin 250 µg/ml
Injektion Caffeine 10 mg/ml
Ingen 3964
Kompatibel
Injektion Digoxin
5 % Glukose 618
Kompatibel
Injektion Digoxin 250 µg/ml
Injektion Bivalirudin 5 mg/ml
5 % Glukose 1713
Kompatibel
Injektion Digoxin 2 µg/ml
Injektion Bretylium tosilate 1 mg/ml
0,9 % Natriumklorid 1193
Kompatibel
Injektion Digoxin 2 µg/ml
Injektion Bretylium tosilate 1 mg/ml
5 % Glukose 1193
Kompatibel
Injektion Digoxin 250 µg/ml
Injektion Cefiderocol sulfate tosylate 20 mg/mL
0,9 % Natriumklorid 4528
Kompatibel
Injektion Digoxin 250 µg/ml
Injektion Cefiderocol sulfate tosylate 20 mg/mL
5 % Glukose 4528
Kompatibel
Injektion Digoxin 250 µg/ml
Injektion Cefmetazole sodium 100 mg/ml
Vand til injektion 93
Kompatibel
Injektion Digoxin 250 µg/ml
Injektion Ceftaroline fosamil 2,22 mg/ml
5 % Glukose 3249
Kompatibel
Injektion Digoxin 250 µg/ml
Injektion Ceftaroline fosamil 2,22 mg/ml
0,9 % Natriumklorid 3249
Kompatibel
Injektion Digoxin 250 µg/ml
Injektion Ceftaroline fosamil 2,22 mg/ml
Ringer laktat 3249
Kompatibel
Injektion Digoxin 250 µg/ml
Injektion Ceftobiprole medocaril sodium 2 mg/ml
Ringer laktat 2269
Kompatibel
Injektion Digoxin 250 µg/ml
Injektion Ceftobiprole medocaril sodium 2 mg/ml
0,9 % Natriumklorid 2269
Kompatibel
Injektion Digoxin 250 µg/ml
Injektion Ceftobiprole medocaril sodium 2 mg/ml
5 % Glukose 2269
Kompatibel
Injektion Digoxin 250 µg/ml
Injektion Ciprofloxacin lactate 2 mg/ml
0,9 % Natriumklorid 288
Kompatibel
Injektion Digoxin 250 µg/ml
Injektion Cisatracurium besylate 0.1 >> 5 mg/ml
5 % Glukose 299
Kompatibel
Injektion Digoxin 250 µg/ml
Parenteral ernæring (lipid-fri) 301
Kompatibel
Injektion Digoxin 2.5 µg/ml
Injektion Cimetidine hydrochloride 3 mg/ml
5 % Glukose 1201
Kompatibel
Injektion Digoxin 250 µg/ml
Injektion Ciprofloxacin lactate 2 mg/ml
0,9 % Natriumklorid 289
Kompatibel
Injektion Digoxin 50 µg/ml
Injektion Cloxacillin sodium 100 mg/ml
Vand til injektion 3012
Kompatibel
Injektion Digoxin 250 µg/ml
Parenteral ernæring (lipider) 1415
Kompatibel
Injektion Digoxin 250 µg/ml
Injektion Ceftolozane / tazobactam 10/5 mg/ml
0,9 % Natriumklorid 3828
Kompatibel
Injektion Digoxin 250 µg/ml
Injektion Ceftolozane / tazobactam 10/5 mg/ml
5 % Glukose 3828
Kompatibel
Injektion Digoxin 250 µg/ml
Injektion Ciprofloxacin lactate 2 mg/ml
5 % Glukose 288
Kompatibel
Injektion Digoxin 0.4 µg/ml
Parenteral ernæring (lipider) 1338
Kompatibel
Injektion Digoxin 250 µg/ml
Injektion Dexmedetomidine 4 µg/ml
0,9 % Natriumklorid 1712
Kompatibel
Injektion Digoxin 500 µg/ml
Injektion Diltiazem hydrochloride 1 & 5 mg/ml
0,9 % Natriumklorid 198
Kompatibel
Injektion Digoxin
Injektion Dimenhydrinate
2087
Farveændring efter 24 timer Uforenelig
Injektion Digoxin 4 µg/ml
Injektion Dobutamine hydrochloride 1 mg/ml
5 % Glukose 1058
Farveændring efter 24 timer Uforenelig
Injektion Digoxin 4 µg/ml
Injektion Dobutamine hydrochloride 1 mg/ml
0,9 % Natriumklorid 1058
Kompatibel
Injektion Digoxin 250 µg/ml
Injektion Doripenem 5 mg/ml
0,9 % Natriumklorid 2262
Kompatibel
Injektion Digoxin 250 µg/ml
Injektion Doripenem 5 mg/ml
5 % Glukose 2262
Kompatibel
Injektion Digoxin 250 µg/ml
Injektion Famotidine
5 % Glukose 397
Kompatibel
Injektion Digoxin 250 µg/ml
Injektion Fenoldopam mesylate 80 µg/ml
0,9 % Natriumklorid 1803
Kompatibel
Injektion Digoxin 100 µg/ml
Injektion Fentanyl citrate 50 µg/ml
5 % Glukose 63
Kompatibel
Injektion Digoxin 25 µg/ml
Injektion Flucloxacillin sodium 20 mg/ml
0,9 % Natriumklorid 1232
Produktion af gasbobler Uforenelig
Injektion Digoxin 250 µg/ml
Injektion Fluconazole 2 mg/ml
0,9 % Natriumklorid 496
Kompatibel
Injektion Digoxin 50 µg/ml
Ringer laktat 4603
Produktion af gasbobler Uforenelig
Injektion Digoxin 250 µg/ml
Injektion Foscarnet sodium 24 mg/ml
Ingen 73
Kompatibel
Injektion Digoxin
Ringer laktat 618
Kompatibel
Injektion Digoxin 250 µg/ml
Injektion Fosfomycin 30 mg/ml
5 % Glukose 4055
Kompatibel
Injektion Digoxin 250 µg/ml
Injektion Fosfomycin 30 mg/ml
0,9 % Natriumklorid 4055
Kompatibel
Injektion Digoxin 25 µg/ml
Injektion Furosemide 1 mg/ml
0,9 % Natriumklorid 1232
Kompatibel
Injektion Digoxin 250 µg/ml
Injektion Hetastarch 60 mg/ml
specifikt opløsningsmiddel 1721
Kompatibel
Injektion Digoxin 0,25 µg/ml
Injektion Imipenem-Cilastatin / Relebactam 5 mg/ml
5 % Glukose 4433
Kompatibel
Injektion Digoxin 0,25 µg/ml
Injektion Imipenem-Cilastatin / Relebactam 5 mg/ml
0,9 % Natriumklorid 4433
Kompatibel
Injektion Digoxin 250 µg/ml
Injektion Isavuconazonium sulfate 1.5 mg/ml
5 % Glukose 3829
Kompatibel
Injektion Digoxin 250 µg/ml
Injektion Isavuconazonium sulfate 1.5 mg/ml
0,9 % Natriumklorid 3829
Kompatibel
Injektion Digoxin 50 µg/ml
Injektion Ketamine hydrochloride 50 mg/ml
2109
Umiddelbar nedbør Uforenelig
Injektion Digoxin 250 µg/ml
Injektion Lansoprazole 0.55 mg/ml
0,9 % Natriumklorid 1625
Kompatibel
Injektion Digoxin 250 µg/ml
Injektion Levosimendan 0,025 & 0,05 mg/ml
4571
Kompatibel
Injektion Digoxin 1 µg/ml
Injektion Lidocaine hydrochloride 2 mg/ml
Ringer laktat 619
Kompatibel
Injektion Digoxin 1 µg/ml
Injektion Lidocaine hydrochloride 2 mg/ml
5 % Glukose 619
Kompatibel
Injektion Digoxin 1 µg/ml
Injektion Lidocaine hydrochloride 2 mg/ml
0,9 % Natriumklorid 619
Kompatibel
Injektion Digoxin 250 µg/ml
Injektion Linezolid 2 mg/ml
Ingen 1925
Kompatibel
Injektion Digoxin 250 µg/ml
Injektion Meropenem 50 mg/ml
Vand til injektion 4319
Kompatibel
Injektion Digoxin 250 µg/ml
Injektion Meropenem 1 & 50 mg/ml
0,9 % Natriumklorid 266
Kompatibel
Injektion Digoxin 100 µg/ml
Injektion Midazolam hydrochloride 1 mg/ml
5 % Glukose 176
Kompatibel
Injektion Digoxin 50 & 125 µg/ml
Injektion Milrinone lactate 0.1 & 0.35 mg/ml
5 % Glukose 191
Kompatibel
Injektion Digoxin 250 µg/ml
Injektion Morphine sulfate 1 mg/ml
5 % Glukose 62
Kompatibel
Injektion Digoxin 50 µg/ml
Injektion N-acetylcysteine 200 mg/ml
Ingen 3766
Kompatibel
Injektion Digoxin 50 µg/ml
Injektion Naloxone hydrochloride 0.4 mg/ml
Ingen 3408
Nedbør efter 4 timer Uforenelig
Injektion Digoxin
Injektion Pantoprazole sodium
2090
Kompatibel
Injektion Digoxin 250 µg/ml
Injektion Pethidine hydrochloride 10 mg/ml
5 % Glukose 62
Kompatibel
Injektion Digoxin 250 µg/ml
Injektion Plazomicin sulfate 24 mg/ml
0,9 % Natriumklorid 4145
Kompatibel
Injektion Digoxin 250 µg/ml
Injektion Potassium chloride 40 mEq/l
5 % Glukose 730
Kompatibel
Injektion Digoxin 250 µg/ml
Injektion Potassium chloride 40 mEq/l
Ringer laktat 730
Kompatibel
Injektion Digoxin 250 µg/ml
Injektion Potassium chloride 40 mEq/l
0,9 % Natriumklorid 730
Kompatibel
Injektion Digoxin 250 µg/ml
Injektion Propofol 10 mg/ml
Ingen 300
Kompatibel
Injektion Digoxin 250 µg/ml
Injektion Remifentanil hydrochloride 25 & 250 µg/ml
0,9 % Natriumklorid 59
Kompatibel
Injektion Digoxin 0,25 µg/ml
Injektion Sulbactam/durlobactam 15/15 mg/ml
0,9 % Natriumklorid 4801
Kompatibel
Injektion Digoxin 250 µg/ml
Injektion Tacrolimus 1000 µg/ml
0,9 % Natriumklorid 479
Kompatibel
Injektion Digoxin 250 µg/ml
Injektion Tedizolid phosphate 0.8 mg/ml
0,9 % Natriumklorid 3827
Kompatibel
Injektion Digoxin 250 µg/ml
Injektion Telavancin hydrochloride 7.5 mg/ml
Ringer laktat 3254
Kompatibel
Injektion Digoxin 2 µg/ml
Injektion Verapamil hydrochloride 0,08 mg/ml
0,9 % Natriumklorid 706
Kompatibel
Injektion Digoxin
0,9 % Natriumklorid 618
Ustabilitet af emulsionen efter 1 time Uforenelig
Injektion Digoxin 250 µg/ml
Injektion Propofol
660
Umiddelbar turbiditet Uforenelig
Injektion Digoxin 250 µg/ml
Injektion Telavancin hydrochloride 7,5 mg/ml
0,9 % Natriumklorid 3254
Umiddelbar turbiditet Uforenelig
Injektion Digoxin 250 µg/ml
Injektion Telavancin hydrochloride 7,5 mg/ml
5 % Glukose 3254

  Mentions Légales