Laatste update :
18/03/2026
Cardiotonicum   Digoxin  
injecteerbaar geneesmiddel
Stabiliteit in oplossing Stabiliteit in mengsels Factoren die de stabiliteit beïnvloeden Verenigbaarheden Toedieningswijze Literatuur pdf
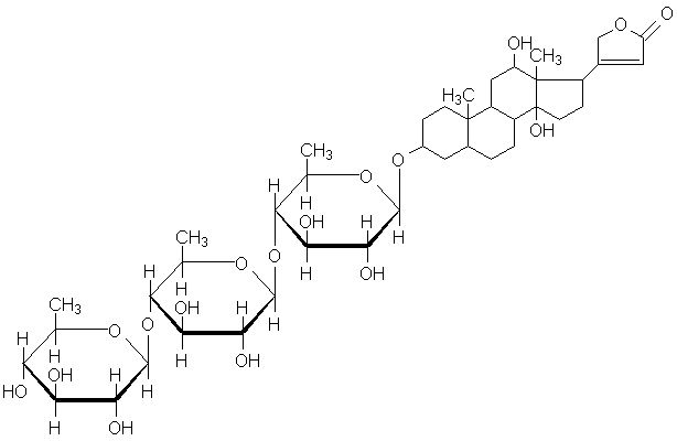
   Molecuulstructuur  

Merknamen in verschillende landen   Merknamen in verschillende landen     

Handelsnamen zijn slechts een indicatie; de samenstelling van hulpstoffen kan per land variëren afhankelijk van de fabrikant

Cardixin Egypte
Celoxin Indië
Digibind nieuw Zeeland, USA
Digocard Argentinië, Ecuador
Digosin Japan
Digoxin Argentinië, Canada, Denemarken, Ecuador, Finland, Groot Britannië, Hongarije, Iran, Polen, USA, Zweden
Digoxina Argentinië, Ecuador, Mexico, Spanje, Venezuela
Digoxine Frankrijk, Griekenland, Zwitserland
Geoxin Indië
Lanibos Saudi-Arabië
Lanicor Duitsland
Lanoxin België, Chili, Egypte, Groot Britannië, Ierland, Iran, Italië, Luxemburg, Maleisië, Nederland, nieuw Zeeland, Noorwegen, Portugal, Saudi-Arabië, USA, Verenigde Arabische Emiraten
Loxinan Mexico
Verenigbaarheden   injecteerbaar geneesmiddel   Verenigbaarheden : Digoxin              
In dit scherm worden de verenigbaarheden en onverenigbaarheden weergegeven. In het geval van een onverenigbaarheid wordt ook het type (neerslag, kleurverandering, modificatie van een emulsie, etc) weergegeven. De weergegeven verenigbaarheden zijn meestal alleen op uiterlijk beoordeeld, er heeft zelden een chemische beoordeling van iedere component plaatsgevonden. De verenigbaarheden betreffen gelijktijdige toediening aan de patient middels de Y-site. De data kan niet gebruikt worden in de beoordeling van verenigbaarheden van componenten in infuuszakken of spuiten. Die informatie is te vinden onder ‘stabiliteit in mengsels’.
Stof Oplosmiddel Literatuur
Onmiddellijke neerslag Onverenigbaar
injecteerbaar geneesmiddel Digoxin 250 µg/ml
injecteerbaar geneesmiddel Amiodarone hydrochloride 6 mg/ml
Glucose 5% 1611
Verenigbaar
injecteerbaar geneesmiddel Digoxin 250 µg/ml
injecteerbaar geneesmiddel Amoxicillin sodium / clavulanic acid 100/10 mg/ml
3824
Onmiddellijke neerslag Onverenigbaar
injecteerbaar geneesmiddel Digoxin 250 µg/ml
injecteerbaar geneesmiddel Amphotericin B cholesteryl sulfate complex 0.83 mg/ml
Glucose 5% 921
Verenigbaar
injecteerbaar geneesmiddel Digoxin 250 µg/ml
injecteerbaar geneesmiddel Anidulafungin 0.5 mg/ml
Glucose 5% 1982
Verenigbaar
injecteerbaar geneesmiddel Digoxin 250 µg/ml
injecteerbaar geneesmiddel Caffeine 10 mg/ml
Geen 3964
Verenigbaar
injecteerbaar geneesmiddel Digoxin
Glucose 5% 618
Verenigbaar
injecteerbaar geneesmiddel Digoxin 250 µg/ml
injecteerbaar geneesmiddel Bivalirudin 5 mg/ml
Glucose 5% 1713
Verenigbaar
injecteerbaar geneesmiddel Digoxin 2 µg/ml
injecteerbaar geneesmiddel Bretylium tosilate 1 mg/ml
Natriumchloride 0,9% 1193
Verenigbaar
injecteerbaar geneesmiddel Digoxin 2 µg/ml
injecteerbaar geneesmiddel Bretylium tosilate 1 mg/ml
Glucose 5% 1193
Verenigbaar
injecteerbaar geneesmiddel Digoxin 250 µg/ml
injecteerbaar geneesmiddel Cefiderocol sulfate tosylate 20 mg/mL
Natriumchloride 0,9% 4528
Verenigbaar
injecteerbaar geneesmiddel Digoxin 250 µg/ml
injecteerbaar geneesmiddel Cefiderocol sulfate tosylate 20 mg/mL
Glucose 5% 4528
Verenigbaar
injecteerbaar geneesmiddel Digoxin 250 µg/ml
injecteerbaar geneesmiddel Cefmetazole sodium 100 mg/ml
Water voor injectie 93
Verenigbaar
injecteerbaar geneesmiddel Digoxin 250 µg/ml
injecteerbaar geneesmiddel Ceftaroline fosamil 2,22 mg/ml
Glucose 5% 3249
Verenigbaar
injecteerbaar geneesmiddel Digoxin 250 µg/ml
injecteerbaar geneesmiddel Ceftaroline fosamil 2,22 mg/ml
Natriumchloride 0,9% 3249
Verenigbaar
injecteerbaar geneesmiddel Digoxin 250 µg/ml
injecteerbaar geneesmiddel Ceftaroline fosamil 2,22 mg/ml
Ringer-lactaat 3249
Verenigbaar
injecteerbaar geneesmiddel Digoxin 250 µg/ml
injecteerbaar geneesmiddel Ceftobiprole medocaril sodium 2 mg/ml
Ringer-lactaat 2269
Verenigbaar
injecteerbaar geneesmiddel Digoxin 250 µg/ml
injecteerbaar geneesmiddel Ceftobiprole medocaril sodium 2 mg/ml
Natriumchloride 0,9% 2269
Verenigbaar
injecteerbaar geneesmiddel Digoxin 250 µg/ml
injecteerbaar geneesmiddel Ceftobiprole medocaril sodium 2 mg/ml
Glucose 5% 2269
Verenigbaar
injecteerbaar geneesmiddel Digoxin 250 µg/ml
injecteerbaar geneesmiddel Ciprofloxacin lactate 2 mg/ml
Natriumchloride 0,9% 288
Verenigbaar
injecteerbaar geneesmiddel Digoxin 250 µg/ml
injecteerbaar geneesmiddel Cisatracurium besylate 0.1 >> 5 mg/ml
Glucose 5% 299
Verenigbaar
injecteerbaar geneesmiddel Digoxin 250 µg/ml
Parenterale voeding (zonder vet) 301
Verenigbaar
injecteerbaar geneesmiddel Digoxin 2.5 µg/ml
injecteerbaar geneesmiddel Cimetidine hydrochloride 3 mg/ml
Glucose 5% 1201
Verenigbaar
injecteerbaar geneesmiddel Digoxin 250 µg/ml
injecteerbaar geneesmiddel Ciprofloxacin lactate 2 mg/ml
Natriumchloride 0,9% 289
Verenigbaar
injecteerbaar geneesmiddel Digoxin 50 µg/ml
injecteerbaar geneesmiddel Cloxacillin sodium 100 mg/ml
Water voor injectie 3012
Verenigbaar
injecteerbaar geneesmiddel Digoxin 250 µg/ml
Parenterale voeding (met lipiden) 1415
Verenigbaar
injecteerbaar geneesmiddel Digoxin 250 µg/ml
injecteerbaar geneesmiddel Ceftolozane / tazobactam 10/5 mg/ml
Natriumchloride 0,9% 3828
Verenigbaar
injecteerbaar geneesmiddel Digoxin 250 µg/ml
injecteerbaar geneesmiddel Ceftolozane / tazobactam 10/5 mg/ml
Glucose 5% 3828
Verenigbaar
injecteerbaar geneesmiddel Digoxin 250 µg/ml
injecteerbaar geneesmiddel Ciprofloxacin lactate 2 mg/ml
Glucose 5% 288
Verenigbaar
injecteerbaar geneesmiddel Digoxin 0.4 µg/ml
Parenterale voeding (met lipiden) 1338
Verenigbaar
injecteerbaar geneesmiddel Digoxin 250 µg/ml
injecteerbaar geneesmiddel Dexmedetomidine 4 µg/ml
Natriumchloride 0,9% 1712
Verenigbaar
injecteerbaar geneesmiddel Digoxin 500 µg/ml
injecteerbaar geneesmiddel Diltiazem hydrochloride 1 & 5 mg/ml
Natriumchloride 0,9% 198
Verenigbaar
injecteerbaar geneesmiddel Digoxin
injecteerbaar geneesmiddel Dimenhydrinate
2087
Kleurverandering na 24 uur Onverenigbaar
injecteerbaar geneesmiddel Digoxin 4 µg/ml
injecteerbaar geneesmiddel Dobutamine hydrochloride 1 mg/ml
Glucose 5% 1058
Kleurverandering na 24 uur Onverenigbaar
injecteerbaar geneesmiddel Digoxin 4 µg/ml
injecteerbaar geneesmiddel Dobutamine hydrochloride 1 mg/ml
Natriumchloride 0,9% 1058
Verenigbaar
injecteerbaar geneesmiddel Digoxin 250 µg/ml
injecteerbaar geneesmiddel Doripenem 5 mg/ml
Natriumchloride 0,9% 2262
Verenigbaar
injecteerbaar geneesmiddel Digoxin 250 µg/ml
injecteerbaar geneesmiddel Doripenem 5 mg/ml
Glucose 5% 2262
Verenigbaar
injecteerbaar geneesmiddel Digoxin 250 µg/ml
injecteerbaar geneesmiddel Famotidine
Glucose 5% 397
Verenigbaar
injecteerbaar geneesmiddel Digoxin 250 µg/ml
injecteerbaar geneesmiddel Fenoldopam mesylate 80 µg/ml
Natriumchloride 0,9% 1803
Verenigbaar
injecteerbaar geneesmiddel Digoxin 100 µg/ml
injecteerbaar geneesmiddel Fentanyl citrate 50 µg/ml
Glucose 5% 63
Verenigbaar
injecteerbaar geneesmiddel Digoxin 25 µg/ml
injecteerbaar geneesmiddel Flucloxacillin sodium 20 mg/ml
Natriumchloride 0,9% 1232
Productie van gasbellen Onverenigbaar
injecteerbaar geneesmiddel Digoxin 250 µg/ml
injecteerbaar geneesmiddel Fluconazole 2 mg/ml
Natriumchloride 0,9% 496
Verenigbaar
injecteerbaar geneesmiddel Digoxin 50 µg/ml
Ringer-lactaat 4603
Productie van gasbellen Onverenigbaar
injecteerbaar geneesmiddel Digoxin 250 µg/ml
injecteerbaar geneesmiddel Foscarnet sodium 24 mg/ml
Geen 73
Verenigbaar
injecteerbaar geneesmiddel Digoxin
Ringer-lactaat 618
Verenigbaar
injecteerbaar geneesmiddel Digoxin 250 µg/ml
injecteerbaar geneesmiddel Fosfomycin 30 mg/ml
Glucose 5% 4055
Verenigbaar
injecteerbaar geneesmiddel Digoxin 250 µg/ml
injecteerbaar geneesmiddel Fosfomycin 30 mg/ml
Natriumchloride 0,9% 4055
Verenigbaar
injecteerbaar geneesmiddel Digoxin 25 µg/ml
injecteerbaar geneesmiddel Furosemide 1 mg/ml
Natriumchloride 0,9% 1232
Verenigbaar
injecteerbaar geneesmiddel Digoxin 250 µg/ml
injecteerbaar geneesmiddel Hetastarch 60 mg/ml
specifieke solvent 1721
Verenigbaar
injecteerbaar geneesmiddel Digoxin 0,25 µg/ml
injecteerbaar geneesmiddel Imipenem-Cilastatin / Relebactam 5 mg/ml
Glucose 5% 4433
Verenigbaar
injecteerbaar geneesmiddel Digoxin 0,25 µg/ml
injecteerbaar geneesmiddel Imipenem-Cilastatin / Relebactam 5 mg/ml
Natriumchloride 0,9% 4433
Verenigbaar
injecteerbaar geneesmiddel Digoxin 250 µg/ml
injecteerbaar geneesmiddel Isavuconazonium sulfate 1.5 mg/ml
Glucose 5% 3829
Verenigbaar
injecteerbaar geneesmiddel Digoxin 250 µg/ml
injecteerbaar geneesmiddel Isavuconazonium sulfate 1.5 mg/ml
Natriumchloride 0,9% 3829
Verenigbaar
injecteerbaar geneesmiddel Digoxin 50 µg/ml
injecteerbaar geneesmiddel Ketamine hydrochloride 50 mg/ml
2109
Onmiddellijke neerslag Onverenigbaar
injecteerbaar geneesmiddel Digoxin 250 µg/ml
injecteerbaar geneesmiddel Lansoprazole 0.55 mg/ml
Natriumchloride 0,9% 1625
Verenigbaar
injecteerbaar geneesmiddel Digoxin 250 µg/ml
injecteerbaar geneesmiddel Levosimendan 0,025 & 0,05 mg/ml
4571
Verenigbaar
injecteerbaar geneesmiddel Digoxin 1 µg/ml
injecteerbaar geneesmiddel Lidocaine hydrochloride 2 mg/ml
Ringer-lactaat 619
Verenigbaar
injecteerbaar geneesmiddel Digoxin 1 µg/ml
injecteerbaar geneesmiddel Lidocaine hydrochloride 2 mg/ml
Glucose 5% 619
Verenigbaar
injecteerbaar geneesmiddel Digoxin 1 µg/ml
injecteerbaar geneesmiddel Lidocaine hydrochloride 2 mg/ml
Natriumchloride 0,9% 619
Verenigbaar
injecteerbaar geneesmiddel Digoxin 250 µg/ml
injecteerbaar geneesmiddel Linezolid 2 mg/ml
Geen 1925
Verenigbaar
injecteerbaar geneesmiddel Digoxin 250 µg/ml
injecteerbaar geneesmiddel Meropenem 50 mg/ml
Water voor injectie 4319
Verenigbaar
injecteerbaar geneesmiddel Digoxin 250 µg/ml
injecteerbaar geneesmiddel Meropenem 1 & 50 mg/ml
Natriumchloride 0,9% 266
Verenigbaar
injecteerbaar geneesmiddel Digoxin 100 µg/ml
injecteerbaar geneesmiddel Midazolam hydrochloride 1 mg/ml
Glucose 5% 176
Verenigbaar
injecteerbaar geneesmiddel Digoxin 50 & 125 µg/ml
injecteerbaar geneesmiddel Milrinone lactate 0.1 & 0.35 mg/ml
Glucose 5% 191
Verenigbaar
injecteerbaar geneesmiddel Digoxin 250 µg/ml
injecteerbaar geneesmiddel Morphine sulfate 1 mg/ml
Glucose 5% 62
Verenigbaar
injecteerbaar geneesmiddel Digoxin 50 µg/ml
injecteerbaar geneesmiddel N-acetylcysteine 200 mg/ml
Geen 3766
Verenigbaar
injecteerbaar geneesmiddel Digoxin 50 µg/ml
injecteerbaar geneesmiddel Naloxone hydrochloride 0.4 mg/ml
Geen 3408
Neerslag na 4 uur Onverenigbaar
injecteerbaar geneesmiddel Digoxin
injecteerbaar geneesmiddel Pantoprazole sodium
2090
Verenigbaar
injecteerbaar geneesmiddel Digoxin 250 µg/ml
injecteerbaar geneesmiddel Pethidine hydrochloride 10 mg/ml
Glucose 5% 62
Verenigbaar
injecteerbaar geneesmiddel Digoxin 250 µg/ml
injecteerbaar geneesmiddel Plazomicin sulfate 24 mg/ml
Natriumchloride 0,9% 4145
Verenigbaar
injecteerbaar geneesmiddel Digoxin 250 µg/ml
injecteerbaar geneesmiddel Potassium chloride 40 mEq/l
Glucose 5% 730
Verenigbaar
injecteerbaar geneesmiddel Digoxin 250 µg/ml
injecteerbaar geneesmiddel Potassium chloride 40 mEq/l
Ringer-lactaat 730
Verenigbaar
injecteerbaar geneesmiddel Digoxin 250 µg/ml
injecteerbaar geneesmiddel Potassium chloride 40 mEq/l
Natriumchloride 0,9% 730
Verenigbaar
injecteerbaar geneesmiddel Digoxin 250 µg/ml
injecteerbaar geneesmiddel Propofol 10 mg/ml
Geen 300
Verenigbaar
injecteerbaar geneesmiddel Digoxin 250 µg/ml
injecteerbaar geneesmiddel Remifentanil hydrochloride 25 & 250 µg/ml
Natriumchloride 0,9% 59
Verenigbaar
injecteerbaar geneesmiddel Digoxin 0,25 µg/ml
injecteerbaar geneesmiddel Sulbactam/durlobactam 15/15 mg/ml
Natriumchloride 0,9% 4801
Verenigbaar
injecteerbaar geneesmiddel Digoxin 250 µg/ml
injecteerbaar geneesmiddel Tacrolimus 1000 µg/ml
Natriumchloride 0,9% 479
Verenigbaar
injecteerbaar geneesmiddel Digoxin 250 µg/ml
injecteerbaar geneesmiddel Tedizolid phosphate 0.8 mg/ml
Natriumchloride 0,9% 3827
Verenigbaar
injecteerbaar geneesmiddel Digoxin 250 µg/ml
injecteerbaar geneesmiddel Telavancin hydrochloride 7.5 mg/ml
Ringer-lactaat 3254
Verenigbaar
injecteerbaar geneesmiddel Digoxin 2 µg/ml
injecteerbaar geneesmiddel Verapamil hydrochloride 0,08 mg/ml
Natriumchloride 0,9% 706
Verenigbaar
injecteerbaar geneesmiddel Digoxin
Natriumchloride 0,9% 618
Instabiliteit van de emulsie na 1 uur Onverenigbaar
injecteerbaar geneesmiddel Digoxin 250 µg/ml
injecteerbaar geneesmiddel Propofol
660
Onmiddellijke troebelheid Onverenigbaar
injecteerbaar geneesmiddel Digoxin 250 µg/ml
injecteerbaar geneesmiddel Telavancin hydrochloride 7,5 mg/ml
Natriumchloride 0,9% 3254
Onmiddellijke troebelheid Onverenigbaar
injecteerbaar geneesmiddel Digoxin 250 µg/ml
injecteerbaar geneesmiddel Telavancin hydrochloride 7,5 mg/ml
Glucose 5% 3254

  Mentions Légales