Dernière mise à jour :
17/12/2025
Cardiotonique   Digoxin  
injectable
Stabilité des solutions Stabilité en mélange Facteur influençant la stabilité Compatibilités Voie d’administration Bibliographie pdf
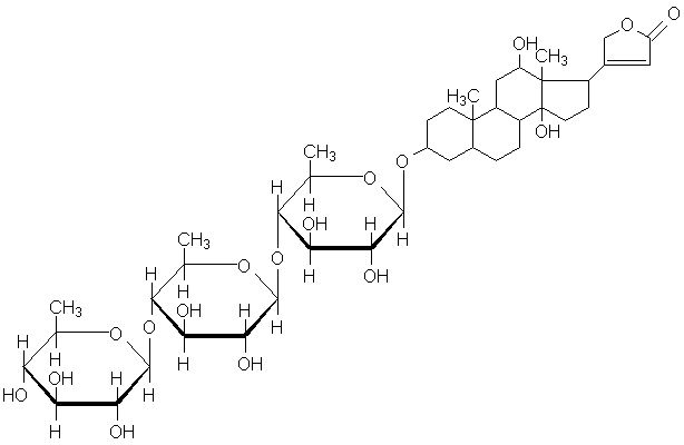
   Structure chimique  

Noms commerciaux   Noms commerciaux     

Les noms commerciaux sont donnés à titre indicatif et la composition en excipients peut être différente selon les pays et selon les laboratoires

Cardixin Egypte
Celoxin Inde
Digibind Etats Unis d’Amérique, Nouvelle Zélande
Digocard Argentine, Equateur
Digosin Japon
Digoxin Argentine, Canada, Danemark, Equateur, Etats Unis d’Amérique, Finlande, Grande Bretagne, Hongrie, Iran, Pologne, Suède
Digoxina Argentine, Equateur, Espagne, Mexique, Vénézuela
Digoxine France, Grèce, Suisse
Geoxin Inde
Lanibos Arabie Saoudite
Lanicor Allemagne
Lanoxin Arabie Saoudite, Belgique, Chili, Egypte, Emirats Arabes Unis , Etats Unis d’Amérique, Grande Bretagne, Iran, Irlande, Italie, Luxembourg, Malaisie, Norvège, Nouvelle Zélande, Pays bas, Portugal
Loxinan Mexique
Stabilité des solutions   injectable   Stabilité des solutions : Digoxin     
Contenant Solvant Concentration Température Conservation Durée de stabilité Bibliographie
Verre Chlorure de sodium 0,9% 2,5 µg/ml 23-26°C Lumière
48 Heure
618
Méthode biologique

Verre Chlorure de sodium 0,9% 2,5 µg/ml 4°C A l’abri de la lumière
48 Heure
618
Méthode biologique

Verre Chlorure de sodium 0,9% 50 µg/ml 23-27°C Lumière
180 Jour
4690
Niveau de preuve B +

Verre Chlorure de sodium 0,9% 50 µg/ml 3-7°C Lumière
180 Jour
4690
Niveau de preuve B +

Verre Glucose 5% 2,5 µg/ml 23-26°C Lumière
48 Heure
618
Méthode biologique

Verre Glucose 5% 2,5 µg/ml 4°C A l’abri de la lumière
48 Heure
618
Méthode biologique

Verre Ringer lactate 2,5 µg/ml 23°C-26°C Lumière
6 Heure
618
Méthode biologique


  Mentions Légales