Última actualización :
18/03/2026
Cardiotónico   Digoxin  
Inyectables
Estabilidad en solucion Estabilidad en mezcla Factores que influyen sobre la estabilidad Compatibilidades método de inyección Bibliografía pdf
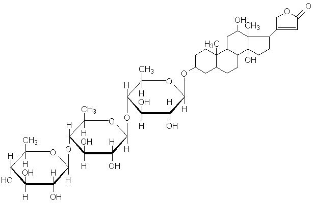
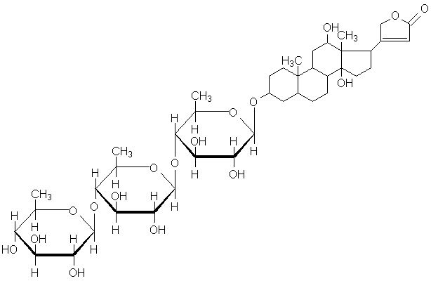
   Estructura química  

Nombre comercial   Nombre comercial     

Los nombres comerciales son orientativos y los excipientes de la formulación pueden ser distintos dependiendo del país y del laboratorio fabricante.

Cardixin Egipto
Celoxin India
Digibind Estados Unidos de América, Nueva Zelanda
Digocard Argentina, Ecuador
Digosin Japón
Digoxin Argentina, Canadá, Dinamarca, Ecuador, Estados Unidos de América, Finlandia, Gran Bretaña, Hungría, Irán, Polonia, Suecia
Digoxina Argentina, Ecuador, España, México, Venezuela
Digoxine Francia, Grecia, Suiza
Geoxin India
Lanibos Arabia Saudita
Lanicor Alemania
Lanoxin Arabia Saudita, Bélgica, Chile, Egipto, Emiratos Árabes Unidos, Estados Unidos de América, Gran Bretaña, Irán, Irlanda, Italia, Luxemburgo, Malasia, Noruega, Nueva Zelanda, Países Bajos, Portugal
Loxinan México
Compatibilidades   Inyectables   Compatibilidades : Digoxin              
Esta pantalla muestra las compatibilidades o incompatibilidades, así como el tipo de incompatibilidad (precipitación, cambio de color, modificación de una emulsión, etc). Las compatibilidades que se recogen aquí son fundamentalmente físicas, mostrando raramente la estabilidad química de la molécula. La evaluación de estas mezclas se estudió con el fin de de comprobar la posibilidad de administración en Y al paciente. Estos datos no pueden utilizarse en el caso de la preparación de mezclas dentro de bolsas o jeringas. Este tipo de información está disponible en la pantalla “Estabilidad en mezcla”.
Molécula Solvente Bibliografía
Precipitación inmediata Incompatible
Inyectables Digoxin 250 µg/ml
Inyectables Amiodarone hydrochloride 6 mg/ml
Glucosa 5% 1611
Compatible
Inyectables Digoxin 250 µg/ml
Inyectables Amoxicillin sodium / clavulanic acid 100/10 mg/ml
3824
Precipitación inmediata Incompatible
Inyectables Digoxin 250 µg/ml
Inyectables Amphotericin B cholesteryl sulfate complex 0.83 mg/ml
Glucosa 5% 921
Compatible
Inyectables Digoxin 250 µg/ml
Inyectables Anidulafungin 0.5 mg/ml
Glucosa 5% 1982
Compatible
Inyectables Digoxin 250 µg/ml
Inyectables Caffeine 10 mg/ml
Ninguno 3964
Compatible
Inyectables Digoxin
Glucosa 5% 618
Compatible
Inyectables Digoxin 250 µg/ml
Inyectables Bivalirudin 5 mg/ml
Glucosa 5% 1713
Compatible
Inyectables Digoxin 2 µg/ml
Inyectables Bretylium tosilate 1 mg/ml
Cloruro de sodio 0,9% 1193
Compatible
Inyectables Digoxin 2 µg/ml
Inyectables Bretylium tosilate 1 mg/ml
Glucosa 5% 1193
Compatible
Inyectables Digoxin 250 µg/ml
Inyectables Cefiderocol sulfate tosylate 20 mg/mL
Cloruro de sodio 0,9% 4528
Compatible
Inyectables Digoxin 250 µg/ml
Inyectables Cefiderocol sulfate tosylate 20 mg/mL
Glucosa 5% 4528
Compatible
Inyectables Digoxin 250 µg/ml
Inyectables Cefmetazole sodium 100 mg/ml
Agua para preparación inyectable 93
Compatible
Inyectables Digoxin 250 µg/ml
Inyectables Ceftaroline fosamil 2,22 mg/ml
Glucosa 5% 3249
Compatible
Inyectables Digoxin 250 µg/ml
Inyectables Ceftaroline fosamil 2,22 mg/ml
Cloruro de sodio 0,9% 3249
Compatible
Inyectables Digoxin 250 µg/ml
Inyectables Ceftaroline fosamil 2,22 mg/ml
Ringer lactato 3249
Compatible
Inyectables Digoxin 250 µg/ml
Inyectables Ceftobiprole medocaril sodium 2 mg/ml
Ringer lactato 2269
Compatible
Inyectables Digoxin 250 µg/ml
Inyectables Ceftobiprole medocaril sodium 2 mg/ml
Cloruro de sodio 0,9% 2269
Compatible
Inyectables Digoxin 250 µg/ml
Inyectables Ceftobiprole medocaril sodium 2 mg/ml
Glucosa 5% 2269
Compatible
Inyectables Digoxin 250 µg/ml
Inyectables Ciprofloxacin lactate 2 mg/ml
Cloruro de sodio 0,9% 288
Compatible
Inyectables Digoxin 250 µg/ml
Inyectables Cisatracurium besylate 0.1 >> 5 mg/ml
Glucosa 5% 299
Compatible
Inyectables Digoxin 250 µg/ml
Nutrición parenteral (libre de lípidos) 301
Compatible
Inyectables Digoxin 2.5 µg/ml
Inyectables Cimetidine hydrochloride 3 mg/ml
Glucosa 5% 1201
Compatible
Inyectables Digoxin 250 µg/ml
Inyectables Ciprofloxacin lactate 2 mg/ml
Cloruro de sodio 0,9% 289
Compatible
Inyectables Digoxin 50 µg/ml
Inyectables Cloxacillin sodium 100 mg/ml
Agua para preparación inyectable 3012
Compatible
Inyectables Digoxin 250 µg/ml
Nutrición parenteral (con lípidos) 1415
Compatible
Inyectables Digoxin 250 µg/ml
Inyectables Ceftolozane / tazobactam 10/5 mg/ml
Cloruro de sodio 0,9% 3828
Compatible
Inyectables Digoxin 250 µg/ml
Inyectables Ceftolozane / tazobactam 10/5 mg/ml
Glucosa 5% 3828
Compatible
Inyectables Digoxin 250 µg/ml
Inyectables Ciprofloxacin lactate 2 mg/ml
Glucosa 5% 288
Compatible
Inyectables Digoxin 0.4 µg/ml
Nutrición parenteral (con lípidos) 1338
Compatible
Inyectables Digoxin 250 µg/ml
Inyectables Dexmedetomidine 4 µg/ml
Cloruro de sodio 0,9% 1712
Compatible
Inyectables Digoxin 500 µg/ml
Inyectables Diltiazem hydrochloride 1 & 5 mg/ml
Cloruro de sodio 0,9% 198
Compatible
Inyectables Digoxin
Inyectables Dimenhydrinate
2087
Cambio de color después de 24 horas. Incompatible
Inyectables Digoxin 4 µg/ml
Inyectables Dobutamine hydrochloride 1 mg/ml
Glucosa 5% 1058
Cambio de color después de 24 horas. Incompatible
Inyectables Digoxin 4 µg/ml
Inyectables Dobutamine hydrochloride 1 mg/ml
Cloruro de sodio 0,9% 1058
Compatible
Inyectables Digoxin 250 µg/ml
Inyectables Doripenem 5 mg/ml
Cloruro de sodio 0,9% 2262
Compatible
Inyectables Digoxin 250 µg/ml
Inyectables Doripenem 5 mg/ml
Glucosa 5% 2262
Compatible
Inyectables Digoxin 250 µg/ml
Inyectables Famotidine
Glucosa 5% 397
Compatible
Inyectables Digoxin 250 µg/ml
Inyectables Fenoldopam mesylate 80 µg/ml
Cloruro de sodio 0,9% 1803
Compatible
Inyectables Digoxin 100 µg/ml
Inyectables Fentanyl citrate 50 µg/ml
Glucosa 5% 63
Compatible
Inyectables Digoxin 25 µg/ml
Inyectables Flucloxacillin sodium 20 mg/ml
Cloruro de sodio 0,9% 1232
Producción de burbujas de gas. Incompatible
Inyectables Digoxin 250 µg/ml
Inyectables Fluconazole 2 mg/ml
Cloruro de sodio 0,9% 496
Compatible
Inyectables Digoxin 50 µg/ml
Ringer lactato 4603
Producción de burbujas de gas. Incompatible
Inyectables Digoxin 250 µg/ml
Inyectables Foscarnet sodium 24 mg/ml
Ninguno 73
Compatible
Inyectables Digoxin
Ringer lactato 618
Compatible
Inyectables Digoxin 250 µg/ml
Inyectables Fosfomycin 30 mg/ml
Glucosa 5% 4055
Compatible
Inyectables Digoxin 250 µg/ml
Inyectables Fosfomycin 30 mg/ml
Cloruro de sodio 0,9% 4055
Compatible
Inyectables Digoxin 25 µg/ml
Inyectables Furosemide 1 mg/ml
Cloruro de sodio 0,9% 1232
Compatible
Inyectables Digoxin 250 µg/ml
Inyectables Hetastarch 60 mg/ml
específico disolvente 1721
Compatible
Inyectables Digoxin 0,25 µg/ml
Inyectables Imipenem-Cilastatin / Relebactam 5 mg/ml
Glucosa 5% 4433
Compatible
Inyectables Digoxin 0,25 µg/ml
Inyectables Imipenem-Cilastatin / Relebactam 5 mg/ml
Cloruro de sodio 0,9% 4433
Compatible
Inyectables Digoxin 250 µg/ml
Inyectables Isavuconazonium sulfate 1.5 mg/ml
Glucosa 5% 3829
Compatible
Inyectables Digoxin 250 µg/ml
Inyectables Isavuconazonium sulfate 1.5 mg/ml
Cloruro de sodio 0,9% 3829
Compatible
Inyectables Digoxin 50 µg/ml
Inyectables Ketamine hydrochloride 50 mg/ml
2109
Precipitación inmediata Incompatible
Inyectables Digoxin 250 µg/ml
Inyectables Lansoprazole 0.55 mg/ml
Cloruro de sodio 0,9% 1625
Compatible
Inyectables Digoxin 250 µg/ml
Inyectables Levosimendan 0,025 & 0,05 mg/ml
4571
Compatible
Inyectables Digoxin 1 µg/ml
Inyectables Lidocaine hydrochloride 2 mg/ml
Ringer lactato 619
Compatible
Inyectables Digoxin 1 µg/ml
Inyectables Lidocaine hydrochloride 2 mg/ml
Glucosa 5% 619
Compatible
Inyectables Digoxin 1 µg/ml
Inyectables Lidocaine hydrochloride 2 mg/ml
Cloruro de sodio 0,9% 619
Compatible
Inyectables Digoxin 250 µg/ml
Inyectables Linezolid 2 mg/ml
Ninguno 1925
Compatible
Inyectables Digoxin 250 µg/ml
Inyectables Meropenem 50 mg/ml
Agua para preparación inyectable 4319
Compatible
Inyectables Digoxin 250 µg/ml
Inyectables Meropenem 1 & 50 mg/ml
Cloruro de sodio 0,9% 266
Compatible
Inyectables Digoxin 100 µg/ml
Inyectables Midazolam hydrochloride 1 mg/ml
Glucosa 5% 176
Compatible
Inyectables Digoxin 50 & 125 µg/ml
Inyectables Milrinone lactate 0.1 & 0.35 mg/ml
Glucosa 5% 191
Compatible
Inyectables Digoxin 250 µg/ml
Inyectables Morphine sulfate 1 mg/ml
Glucosa 5% 62
Compatible
Inyectables Digoxin 50 µg/ml
Inyectables N-acetylcysteine 200 mg/ml
Ninguno 3766
Compatible
Inyectables Digoxin 50 µg/ml
Inyectables Naloxone hydrochloride 0.4 mg/ml
Ninguno 3408
Precipitación después de 4 horas. Incompatible
Inyectables Digoxin
Inyectables Pantoprazole sodium
2090
Compatible
Inyectables Digoxin 250 µg/ml
Inyectables Pethidine hydrochloride 10 mg/ml
Glucosa 5% 62
Compatible
Inyectables Digoxin 250 µg/ml
Inyectables Plazomicin sulfate 24 mg/ml
Cloruro de sodio 0,9% 4145
Compatible
Inyectables Digoxin 250 µg/ml
Inyectables Potassium chloride 40 mEq/l
Glucosa 5% 730
Compatible
Inyectables Digoxin 250 µg/ml
Inyectables Potassium chloride 40 mEq/l
Ringer lactato 730
Compatible
Inyectables Digoxin 250 µg/ml
Inyectables Potassium chloride 40 mEq/l
Cloruro de sodio 0,9% 730
Compatible
Inyectables Digoxin 250 µg/ml
Inyectables Propofol 10 mg/ml
Ninguno 300
Compatible
Inyectables Digoxin 250 µg/ml
Inyectables Remifentanil hydrochloride 25 & 250 µg/ml
Cloruro de sodio 0,9% 59
Compatible
Inyectables Digoxin 0,25 µg/ml
Inyectables Sulbactam/durlobactam 15/15 mg/ml
Cloruro de sodio 0,9% 4801
Compatible
Inyectables Digoxin 250 µg/ml
Inyectables Tacrolimus 1000 µg/ml
Cloruro de sodio 0,9% 479
Compatible
Inyectables Digoxin 250 µg/ml
Inyectables Tedizolid phosphate 0.8 mg/ml
Cloruro de sodio 0,9% 3827
Compatible
Inyectables Digoxin 250 µg/ml
Inyectables Telavancin hydrochloride 7.5 mg/ml
Ringer lactato 3254
Compatible
Inyectables Digoxin 2 µg/ml
Inyectables Verapamil hydrochloride 0,08 mg/ml
Cloruro de sodio 0,9% 706
Compatible
Inyectables Digoxin
Cloruro de sodio 0,9% 618
Inestabilidad de la emulsión después de 1 hora. Incompatible
Inyectables Digoxin 250 µg/ml
Inyectables Propofol
660
Turbidez inmediata Incompatible
Inyectables Digoxin 250 µg/ml
Inyectables Telavancin hydrochloride 7,5 mg/ml
Cloruro de sodio 0,9% 3254
Turbidez inmediata Incompatible
Inyectables Digoxin 250 µg/ml
Inyectables Telavancin hydrochloride 7,5 mg/ml
Glucosa 5% 3254

  Mentions Légales