Ultimele actualizari :
18/03/2026
Cardiotonic   Digoxin  
Injectabil
Stabilitatea in solutie Stabilitatea in amestec Factorii care influenteaza stabilitatea Compatibilitate Microunde Bibliografie pdf
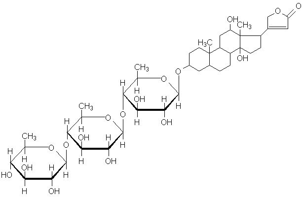
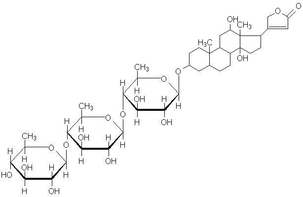
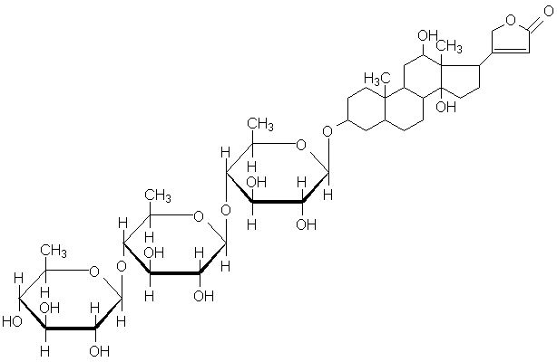
   Formula chimica  

Denumirea comerciala   Denumirea comerciala     

Trade names are indicative and excipients composition can be different depending on the country and manufacturers

Cardixin Egipt
Celoxin India
Digibind noua Zeelandă, SUA
Digocard Argentina, Ecuador
Digosin Japonia
Digoxin Argentina, Canada, Danemarca, Ecuador, Finlanda, Iran, Marea Britanie, Polonia, SUA, Suedia, Ungaria
Digoxina Argentina, Ecuador, Mexic, Spania, Venezuela
Digoxine Elvetia, Franta, Grecia
Geoxin India
Lanibos Arabia Saudita
Lanicor Germania
Lanoxin Arabia Saudita, Belgia, Chilli, Egipt, Emiratele Arabe Unite, Iran, Irlanda, Italia, Luxemburg, Malaezia, Marea Britanie, Norvegia, noua Zeelandă, Olanda, Portugalia, SUA
Loxinan Mexic
Compatibilitate   Injectabil   Compatibilitate : Digoxin              
Acest ecran indică compatibilitățile sau incompatibilitățile cu, în acest caz, tipul de incompatibilitate (precipitații, schimbarea culorii, modificarea unei emulsii etc.). Compatibilitățile prezentate aici sunt în mare parte numai fizice, stabilitatea chimică a fiecărei molecule fiind rareori evaluată. Evaluarea acestor amestecuri a fost studiată pentru a lua în considerare posibilitatea administrării site-ului Y la pacient. Aceste date nu pot fi utilizate pentru prepararea în prealabil a amestecurilor în pungi sau seringi. Acest tip de informații este disponibil în ecranul „Stabilitate în amestec».
Molecula (substanta activa) Solvent Bibiografie
Precipitații imediate Incompatibil
Injectabil Digoxin 250 µg/ml
Injectabil Amiodarone hydrochloride 6 mg/ml
Glucoza 5% 1611
Compatibil
Injectabil Digoxin 250 µg/ml
Injectabil Amoxicillin sodium / clavulanic acid 100/10 mg/ml
3824
Precipitații imediate Incompatibil
Injectabil Digoxin 250 µg/ml
Injectabil Amphotericin B cholesteryl sulfate complex 0.83 mg/ml
Glucoza 5% 921
Compatibil
Injectabil Digoxin 250 µg/ml
Injectabil Anidulafungin 0.5 mg/ml
Glucoza 5% 1982
Compatibil
Injectabil Digoxin 250 µg/ml
Injectabil Caffeine 10 mg/ml
fara 3964
Compatibil
Injectabil Digoxin
Glucoza 5% 618
Compatibil
Injectabil Digoxin 250 µg/ml
Injectabil Bivalirudin 5 mg/ml
Glucoza 5% 1713
Compatibil
Injectabil Digoxin 2 µg/ml
Injectabil Bretylium tosilate 1 mg/ml
clorura de sodiu 0,9% 1193
Compatibil
Injectabil Digoxin 2 µg/ml
Injectabil Bretylium tosilate 1 mg/ml
Glucoza 5% 1193
Compatibil
Injectabil Digoxin 250 µg/ml
Injectabil Cefiderocol sulfate tosylate 20 mg/mL
clorura de sodiu 0,9% 4528
Compatibil
Injectabil Digoxin 250 µg/ml
Injectabil Cefiderocol sulfate tosylate 20 mg/mL
Glucoza 5% 4528
Compatibil
Injectabil Digoxin 250 µg/ml
Injectabil Cefmetazole sodium 100 mg/ml
apa pentru preparate injectabile 93
Compatibil
Injectabil Digoxin 250 µg/ml
Injectabil Ceftaroline fosamil 2,22 mg/ml
Glucoza 5% 3249
Compatibil
Injectabil Digoxin 250 µg/ml
Injectabil Ceftaroline fosamil 2,22 mg/ml
clorura de sodiu 0,9% 3249
Compatibil
Injectabil Digoxin 250 µg/ml
Injectabil Ceftaroline fosamil 2,22 mg/ml
Solutie Ringer lactat 3249
Compatibil
Injectabil Digoxin 250 µg/ml
Injectabil Ceftobiprole medocaril sodium 2 mg/ml
Solutie Ringer lactat 2269
Compatibil
Injectabil Digoxin 250 µg/ml
Injectabil Ceftobiprole medocaril sodium 2 mg/ml
clorura de sodiu 0,9% 2269
Compatibil
Injectabil Digoxin 250 µg/ml
Injectabil Ceftobiprole medocaril sodium 2 mg/ml
Glucoza 5% 2269
Compatibil
Injectabil Digoxin 250 µg/ml
Injectabil Ciprofloxacin lactate 2 mg/ml
clorura de sodiu 0,9% 288
Compatibil
Injectabil Digoxin 250 µg/ml
Injectabil Cisatracurium besylate 0.1 >> 5 mg/ml
Glucoza 5% 299
Compatibil
Injectabil Digoxin 250 µg/ml
Nutritie parenterala (amestec binar) 301
Compatibil
Injectabil Digoxin 2.5 µg/ml
Injectabil Cimetidine hydrochloride 3 mg/ml
Glucoza 5% 1201
Compatibil
Injectabil Digoxin 250 µg/ml
Injectabil Ciprofloxacin lactate 2 mg/ml
clorura de sodiu 0,9% 289
Compatibil
Injectabil Digoxin 50 µg/ml
Injectabil Cloxacillin sodium 100 mg/ml
apa pentru preparate injectabile 3012
Compatibil
Injectabil Digoxin 250 µg/ml
Nutriție parenterală (cu lipide) 1415
Compatibil
Injectabil Digoxin 250 µg/ml
Injectabil Ceftolozane / tazobactam 10/5 mg/ml
clorura de sodiu 0,9% 3828
Compatibil
Injectabil Digoxin 250 µg/ml
Injectabil Ceftolozane / tazobactam 10/5 mg/ml
Glucoza 5% 3828
Compatibil
Injectabil Digoxin 250 µg/ml
Injectabil Ciprofloxacin lactate 2 mg/ml
Glucoza 5% 288
Compatibil
Injectabil Digoxin 0.4 µg/ml
Nutriție parenterală (cu lipide) 1338
Compatibil
Injectabil Digoxin 250 µg/ml
Injectabil Dexmedetomidine 4 µg/ml
clorura de sodiu 0,9% 1712
Compatibil
Injectabil Digoxin 500 µg/ml
Injectabil Diltiazem hydrochloride 1 & 5 mg/ml
clorura de sodiu 0,9% 198
Compatibil
Injectabil Digoxin
Injectabil Dimenhydrinate
2087
Schimbarea culorii după 24 ore Incompatibil
Injectabil Digoxin 4 µg/ml
Injectabil Dobutamine hydrochloride 1 mg/ml
Glucoza 5% 1058
Schimbarea culorii după 24 ore Incompatibil
Injectabil Digoxin 4 µg/ml
Injectabil Dobutamine hydrochloride 1 mg/ml
clorura de sodiu 0,9% 1058
Compatibil
Injectabil Digoxin 250 µg/ml
Injectabil Doripenem 5 mg/ml
clorura de sodiu 0,9% 2262
Compatibil
Injectabil Digoxin 250 µg/ml
Injectabil Doripenem 5 mg/ml
Glucoza 5% 2262
Compatibil
Injectabil Digoxin 250 µg/ml
Injectabil Famotidine
Glucoza 5% 397
Compatibil
Injectabil Digoxin 250 µg/ml
Injectabil Fenoldopam mesylate 80 µg/ml
clorura de sodiu 0,9% 1803
Compatibil
Injectabil Digoxin 100 µg/ml
Injectabil Fentanyl citrate 50 µg/ml
Glucoza 5% 63
Compatibil
Injectabil Digoxin 25 µg/ml
Injectabil Flucloxacillin sodium 20 mg/ml
clorura de sodiu 0,9% 1232
Producția de bule de gaz Incompatibil
Injectabil Digoxin 250 µg/ml
Injectabil Fluconazole 2 mg/ml
clorura de sodiu 0,9% 496
Compatibil
Injectabil Digoxin 50 µg/ml
Solutie Ringer lactat 4603
Producția de bule de gaz Incompatibil
Injectabil Digoxin 250 µg/ml
Injectabil Foscarnet sodium 24 mg/ml
fara 73
Compatibil
Injectabil Digoxin
Solutie Ringer lactat 618
Compatibil
Injectabil Digoxin 250 µg/ml
Injectabil Fosfomycin 30 mg/ml
Glucoza 5% 4055
Compatibil
Injectabil Digoxin 250 µg/ml
Injectabil Fosfomycin 30 mg/ml
clorura de sodiu 0,9% 4055
Compatibil
Injectabil Digoxin 25 µg/ml
Injectabil Furosemide 1 mg/ml
clorura de sodiu 0,9% 1232
Compatibil
Injectabil Digoxin 250 µg/ml
Injectabil Hetastarch 60 mg/ml
specific de solvent 1721
Compatibil
Injectabil Digoxin 0,25 µg/ml
Injectabil Imipenem-Cilastatin / Relebactam 5 mg/ml
Glucoza 5% 4433
Compatibil
Injectabil Digoxin 0,25 µg/ml
Injectabil Imipenem-Cilastatin / Relebactam 5 mg/ml
clorura de sodiu 0,9% 4433
Compatibil
Injectabil Digoxin 250 µg/ml
Injectabil Isavuconazonium sulfate 1.5 mg/ml
Glucoza 5% 3829
Compatibil
Injectabil Digoxin 250 µg/ml
Injectabil Isavuconazonium sulfate 1.5 mg/ml
clorura de sodiu 0,9% 3829
Compatibil
Injectabil Digoxin 50 µg/ml
Injectabil Ketamine hydrochloride 50 mg/ml
2109
Precipitații imediate Incompatibil
Injectabil Digoxin 250 µg/ml
Injectabil Lansoprazole 0.55 mg/ml
clorura de sodiu 0,9% 1625
Compatibil
Injectabil Digoxin 250 µg/ml
Injectabil Levosimendan 0,025 & 0,05 mg/ml
4571
Compatibil
Injectabil Digoxin 1 µg/ml
Injectabil Lidocaine hydrochloride 2 mg/ml
Solutie Ringer lactat 619
Compatibil
Injectabil Digoxin 1 µg/ml
Injectabil Lidocaine hydrochloride 2 mg/ml
Glucoza 5% 619
Compatibil
Injectabil Digoxin 1 µg/ml
Injectabil Lidocaine hydrochloride 2 mg/ml
clorura de sodiu 0,9% 619
Compatibil
Injectabil Digoxin 250 µg/ml
Injectabil Linezolid 2 mg/ml
fara 1925
Compatibil
Injectabil Digoxin 250 µg/ml
Injectabil Meropenem 50 mg/ml
apa pentru preparate injectabile 4319
Compatibil
Injectabil Digoxin 250 µg/ml
Injectabil Meropenem 1 & 50 mg/ml
clorura de sodiu 0,9% 266
Compatibil
Injectabil Digoxin 100 µg/ml
Injectabil Midazolam hydrochloride 1 mg/ml
Glucoza 5% 176
Compatibil
Injectabil Digoxin 50 & 125 µg/ml
Injectabil Milrinone lactate 0.1 & 0.35 mg/ml
Glucoza 5% 191
Compatibil
Injectabil Digoxin 250 µg/ml
Injectabil Morphine sulfate 1 mg/ml
Glucoza 5% 62
Compatibil
Injectabil Digoxin 50 µg/ml
Injectabil N-acetylcysteine 200 mg/ml
fara 3766
Compatibil
Injectabil Digoxin 50 µg/ml
Injectabil Naloxone hydrochloride 0.4 mg/ml
fara 3408
Precipitații după 4 ore Incompatibil
Injectabil Digoxin
Injectabil Pantoprazole sodium
2090
Compatibil
Injectabil Digoxin 250 µg/ml
Injectabil Pethidine hydrochloride 10 mg/ml
Glucoza 5% 62
Compatibil
Injectabil Digoxin 250 µg/ml
Injectabil Plazomicin sulfate 24 mg/ml
clorura de sodiu 0,9% 4145
Compatibil
Injectabil Digoxin 250 µg/ml
Injectabil Potassium chloride 40 mEq/l
Glucoza 5% 730
Compatibil
Injectabil Digoxin 250 µg/ml
Injectabil Potassium chloride 40 mEq/l
Solutie Ringer lactat 730
Compatibil
Injectabil Digoxin 250 µg/ml
Injectabil Potassium chloride 40 mEq/l
clorura de sodiu 0,9% 730
Compatibil
Injectabil Digoxin 250 µg/ml
Injectabil Propofol 10 mg/ml
fara 300
Compatibil
Injectabil Digoxin 250 µg/ml
Injectabil Remifentanil hydrochloride 25 & 250 µg/ml
clorura de sodiu 0,9% 59
Compatibil
Injectabil Digoxin 0,25 µg/ml
Injectabil Sulbactam/durlobactam 15/15 mg/ml
clorura de sodiu 0,9% 4801
Compatibil
Injectabil Digoxin 250 µg/ml
Injectabil Tacrolimus 1000 µg/ml
clorura de sodiu 0,9% 479
Compatibil
Injectabil Digoxin 250 µg/ml
Injectabil Tedizolid phosphate 0.8 mg/ml
clorura de sodiu 0,9% 3827
Compatibil
Injectabil Digoxin 250 µg/ml
Injectabil Telavancin hydrochloride 7.5 mg/ml
Solutie Ringer lactat 3254
Compatibil
Injectabil Digoxin 2 µg/ml
Injectabil Verapamil hydrochloride 0,08 mg/ml
clorura de sodiu 0,9% 706
Compatibil
Injectabil Digoxin
clorura de sodiu 0,9% 618
Instabilitatea emulsiei după 1 oră Incompatibil
Injectabil Digoxin 250 µg/ml
Injectabil Propofol
660
Turbiditate imediată Incompatibil
Injectabil Digoxin 250 µg/ml
Injectabil Telavancin hydrochloride 7,5 mg/ml
clorura de sodiu 0,9% 3254
Turbiditate imediată Incompatibil
Injectabil Digoxin 250 µg/ml
Injectabil Telavancin hydrochloride 7,5 mg/ml
Glucoza 5% 3254

  Mentions Légales