Utolsó frissítés :
18/03/2026
Kardiotonikum   Digoxin  
Injekció
Az oldatok stabilitása A keverékek stabilitása Stabilitást befolyásoló tényezők Kompatibilitás Az alkalmazás módja Irodalom pdf
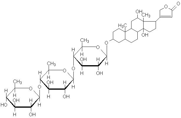
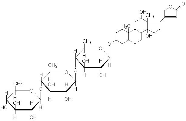
   Kémiai szerkezet   

Kereskedelmi név   Kereskedelmi név     

A kereskedelmi név meghatározó jelentőségű: a készítmények összetétele országonként, előállítóként eltérő lehet

Cardixin Egyiptom
Celoxin India
Digibind Amerikai Egyesült Államok, új-Zéland
Digocard Argentína, Ecuador
Digosin Japán
Digoxin Amerikai Egyesült Államok, Argentína, Dánia, Ecuador, Finnország, Irán, Kanada, Lengyelország, Magyarország, Nagy-Britannia, Svédország
Digoxina Argentína, Ecuador, Mexikó, Spanyolország, Venezuela
Digoxine Franciaország, Görögország, Svájc
Geoxin India
Lanibos Szaúd-Arábiában
Lanicor Németország
Lanoxin Amerikai Egyesült Államok, Belgium, Chile, Egyesült Arab Emírségek, Egyiptom, Hollandia, Irán, Írország, Luxemburg, Malaysia, Nagy-Britannia, Norvégia, Olaszország, Portugália, Szaúd-Arábiában, új-Zéland
Loxinan Mexikó
Kompatibilitás   Injekció   Kompatibilitás : Digoxin              
Ovdje su prikazane kompatibilnosti ili nekompatibilnosti s tipom nekompatibilnosti (taloženje, promjena boje, modifikacija emulzije itd.) u ovom slučaju. Kompatibilnosti prikazane ovdje najčešće su fizikalne dok se kemijska stabilnost molekule rijetko procjenjuje. Procjena ovih mikstura je proučavana kako bi se razmotrila mogućnost primjene lijeka putem Y-mjesta. Ovi se podaci ne smiju koristiti za pripremu mikstura unaprijed u vrećicama ili štrcaljkama. Ova vrsta informacije se može pronaći u odjeljku « stabilnost u miksturama ».
Vegyület Oldószer Irodalom
Azonnali csapadék Összeegyeztethetetlen
Injekció Digoxin 250 µg/ml
Injekció Amiodarone hydrochloride 6 mg/ml
5% glükóz 1611
Összeegyeztethető
Injekció Digoxin 250 µg/ml
Injekció Amoxicillin sodium / clavulanic acid 100/10 mg/ml
3824
Azonnali csapadék Összeegyeztethetetlen
Injekció Digoxin 250 µg/ml
Injekció Amphotericin B cholesteryl sulfate complex 0.83 mg/ml
5% glükóz 921
Összeegyeztethető
Injekció Digoxin 250 µg/ml
Injekció Anidulafungin 0.5 mg/ml
5% glükóz 1982
Összeegyeztethető
Injekció Digoxin 250 µg/ml
Injekció Caffeine 10 mg/ml
Egy sem 3964
Összeegyeztethető
Injekció Digoxin
5% glükóz 618
Összeegyeztethető
Injekció Digoxin 250 µg/ml
Injekció Bivalirudin 5 mg/ml
5% glükóz 1713
Összeegyeztethető
Injekció Digoxin 2 µg/ml
Injekció Bretylium tosilate 1 mg/ml
0,9% nátrium-klorid 1193
Összeegyeztethető
Injekció Digoxin 2 µg/ml
Injekció Bretylium tosilate 1 mg/ml
5% glükóz 1193
Összeegyeztethető
Injekció Digoxin 250 µg/ml
Injekció Cefiderocol sulfate tosylate 20 mg/mL
0,9% nátrium-klorid 4528
Összeegyeztethető
Injekció Digoxin 250 µg/ml
Injekció Cefiderocol sulfate tosylate 20 mg/mL
5% glükóz 4528
Összeegyeztethető
Injekció Digoxin 250 µg/ml
Injekció Cefmetazole sodium 100 mg/ml
Injekcióhoz való víz 93
Összeegyeztethető
Injekció Digoxin 250 µg/ml
Injekció Ceftaroline fosamil 2,22 mg/ml
5% glükóz 3249
Összeegyeztethető
Injekció Digoxin 250 µg/ml
Injekció Ceftaroline fosamil 2,22 mg/ml
0,9% nátrium-klorid 3249
Összeegyeztethető
Injekció Digoxin 250 µg/ml
Injekció Ceftaroline fosamil 2,22 mg/ml
Ringer-laktát oldat 3249
Összeegyeztethető
Injekció Digoxin 250 µg/ml
Injekció Ceftobiprole medocaril sodium 2 mg/ml
Ringer-laktát oldat 2269
Összeegyeztethető
Injekció Digoxin 250 µg/ml
Injekció Ceftobiprole medocaril sodium 2 mg/ml
0,9% nátrium-klorid 2269
Összeegyeztethető
Injekció Digoxin 250 µg/ml
Injekció Ceftobiprole medocaril sodium 2 mg/ml
5% glükóz 2269
Összeegyeztethető
Injekció Digoxin 250 µg/ml
Injekció Ciprofloxacin lactate 2 mg/ml
0,9% nátrium-klorid 288
Összeegyeztethető
Injekció Digoxin 250 µg/ml
Injekció Cisatracurium besylate 0.1 >> 5 mg/ml
5% glükóz 299
Összeegyeztethető
Injekció Digoxin 250 µg/ml
Parenterális táplálás (lipid-mentes) 301
Összeegyeztethető
Injekció Digoxin 2.5 µg/ml
Injekció Cimetidine hydrochloride 3 mg/ml
5% glükóz 1201
Összeegyeztethető
Injekció Digoxin 250 µg/ml
Injekció Ciprofloxacin lactate 2 mg/ml
0,9% nátrium-klorid 289
Összeegyeztethető
Injekció Digoxin 50 µg/ml
Injekció Cloxacillin sodium 100 mg/ml
Injekcióhoz való víz 3012
Összeegyeztethető
Injekció Digoxin 250 µg/ml
Parenterális táplálás (lipid) 1415
Összeegyeztethető
Injekció Digoxin 250 µg/ml
Injekció Ceftolozane / tazobactam 10/5 mg/ml
0,9% nátrium-klorid 3828
Összeegyeztethető
Injekció Digoxin 250 µg/ml
Injekció Ceftolozane / tazobactam 10/5 mg/ml
5% glükóz 3828
Összeegyeztethető
Injekció Digoxin 250 µg/ml
Injekció Ciprofloxacin lactate 2 mg/ml
5% glükóz 288
Összeegyeztethető
Injekció Digoxin 0.4 µg/ml
Parenterális táplálás (lipid) 1338
Összeegyeztethető
Injekció Digoxin 250 µg/ml
Injekció Dexmedetomidine 4 µg/ml
0,9% nátrium-klorid 1712
Összeegyeztethető
Injekció Digoxin 500 µg/ml
Injekció Diltiazem hydrochloride 1 & 5 mg/ml
0,9% nátrium-klorid 198
Összeegyeztethető
Injekció Digoxin
Injekció Dimenhydrinate
2087
Színváltozás 24 óra után Összeegyeztethetetlen
Injekció Digoxin 4 µg/ml
Injekció Dobutamine hydrochloride 1 mg/ml
5% glükóz 1058
Színváltozás 24 óra után Összeegyeztethetetlen
Injekció Digoxin 4 µg/ml
Injekció Dobutamine hydrochloride 1 mg/ml
0,9% nátrium-klorid 1058
Összeegyeztethető
Injekció Digoxin 250 µg/ml
Injekció Doripenem 5 mg/ml
0,9% nátrium-klorid 2262
Összeegyeztethető
Injekció Digoxin 250 µg/ml
Injekció Doripenem 5 mg/ml
5% glükóz 2262
Összeegyeztethető
Injekció Digoxin 250 µg/ml
Injekció Famotidine
5% glükóz 397
Összeegyeztethető
Injekció Digoxin 250 µg/ml
Injekció Fenoldopam mesylate 80 µg/ml
0,9% nátrium-klorid 1803
Összeegyeztethető
Injekció Digoxin 100 µg/ml
Injekció Fentanyl citrate 50 µg/ml
5% glükóz 63
Összeegyeztethető
Injekció Digoxin 25 µg/ml
Injekció Flucloxacillin sodium 20 mg/ml
0,9% nátrium-klorid 1232
Gázbuborékok előállítása Összeegyeztethetetlen
Injekció Digoxin 250 µg/ml
Injekció Fluconazole 2 mg/ml
0,9% nátrium-klorid 496
Összeegyeztethető
Injekció Digoxin 50 µg/ml
Ringer-laktát oldat 4603
Gázbuborékok előállítása Összeegyeztethetetlen
Injekció Digoxin 250 µg/ml
Injekció Foscarnet sodium 24 mg/ml
Egy sem 73
Összeegyeztethető
Injekció Digoxin
Ringer-laktát oldat 618
Összeegyeztethető
Injekció Digoxin 250 µg/ml
Injekció Fosfomycin 30 mg/ml
5% glükóz 4055
Összeegyeztethető
Injekció Digoxin 250 µg/ml
Injekció Fosfomycin 30 mg/ml
0,9% nátrium-klorid 4055
Összeegyeztethető
Injekció Digoxin 25 µg/ml
Injekció Furosemide 1 mg/ml
0,9% nátrium-klorid 1232
Összeegyeztethető
Injekció Digoxin 250 µg/ml
Injekció Hetastarch 60 mg/ml
egyedi oldószer 1721
Összeegyeztethető
Injekció Digoxin 0,25 µg/ml
Injekció Imipenem-Cilastatin / Relebactam 5 mg/ml
5% glükóz 4433
Összeegyeztethető
Injekció Digoxin 0,25 µg/ml
Injekció Imipenem-Cilastatin / Relebactam 5 mg/ml
0,9% nátrium-klorid 4433
Összeegyeztethető
Injekció Digoxin 250 µg/ml
Injekció Isavuconazonium sulfate 1.5 mg/ml
5% glükóz 3829
Összeegyeztethető
Injekció Digoxin 250 µg/ml
Injekció Isavuconazonium sulfate 1.5 mg/ml
0,9% nátrium-klorid 3829
Összeegyeztethető
Injekció Digoxin 50 µg/ml
Injekció Ketamine hydrochloride 50 mg/ml
2109
Azonnali csapadék Összeegyeztethetetlen
Injekció Digoxin 250 µg/ml
Injekció Lansoprazole 0.55 mg/ml
0,9% nátrium-klorid 1625
Összeegyeztethető
Injekció Digoxin 250 µg/ml
Injekció Levosimendan 0,025 & 0,05 mg/ml
4571
Összeegyeztethető
Injekció Digoxin 1 µg/ml
Injekció Lidocaine hydrochloride 2 mg/ml
Ringer-laktát oldat 619
Összeegyeztethető
Injekció Digoxin 1 µg/ml
Injekció Lidocaine hydrochloride 2 mg/ml
5% glükóz 619
Összeegyeztethető
Injekció Digoxin 1 µg/ml
Injekció Lidocaine hydrochloride 2 mg/ml
0,9% nátrium-klorid 619
Összeegyeztethető
Injekció Digoxin 250 µg/ml
Injekció Linezolid 2 mg/ml
Egy sem 1925
Összeegyeztethető
Injekció Digoxin 250 µg/ml
Injekció Meropenem 50 mg/ml
Injekcióhoz való víz 4319
Összeegyeztethető
Injekció Digoxin 250 µg/ml
Injekció Meropenem 1 & 50 mg/ml
0,9% nátrium-klorid 266
Összeegyeztethető
Injekció Digoxin 100 µg/ml
Injekció Midazolam hydrochloride 1 mg/ml
5% glükóz 176
Összeegyeztethető
Injekció Digoxin 50 & 125 µg/ml
Injekció Milrinone lactate 0.1 & 0.35 mg/ml
5% glükóz 191
Összeegyeztethető
Injekció Digoxin 250 µg/ml
Injekció Morphine sulfate 1 mg/ml
5% glükóz 62
Összeegyeztethető
Injekció Digoxin 50 µg/ml
Injekció N-acetylcysteine 200 mg/ml
Egy sem 3766
Összeegyeztethető
Injekció Digoxin 50 µg/ml
Injekció Naloxone hydrochloride 0.4 mg/ml
Egy sem 3408
Csapadék 4 óra után Összeegyeztethetetlen
Injekció Digoxin
Injekció Pantoprazole sodium
2090
Összeegyeztethető
Injekció Digoxin 250 µg/ml
Injekció Pethidine hydrochloride 10 mg/ml
5% glükóz 62
Összeegyeztethető
Injekció Digoxin 250 µg/ml
Injekció Plazomicin sulfate 24 mg/ml
0,9% nátrium-klorid 4145
Összeegyeztethető
Injekció Digoxin 250 µg/ml
Injekció Potassium chloride 40 mEq/l
5% glükóz 730
Összeegyeztethető
Injekció Digoxin 250 µg/ml
Injekció Potassium chloride 40 mEq/l
Ringer-laktát oldat 730
Összeegyeztethető
Injekció Digoxin 250 µg/ml
Injekció Potassium chloride 40 mEq/l
0,9% nátrium-klorid 730
Összeegyeztethető
Injekció Digoxin 250 µg/ml
Injekció Propofol 10 mg/ml
Egy sem 300
Összeegyeztethető
Injekció Digoxin 250 µg/ml
Injekció Remifentanil hydrochloride 25 & 250 µg/ml
0,9% nátrium-klorid 59
Összeegyeztethető
Injekció Digoxin 0,25 µg/ml
Injekció Sulbactam/durlobactam 15/15 mg/ml
0,9% nátrium-klorid 4801
Összeegyeztethető
Injekció Digoxin 250 µg/ml
Injekció Tacrolimus 1000 µg/ml
0,9% nátrium-klorid 479
Összeegyeztethető
Injekció Digoxin 250 µg/ml
Injekció Tedizolid phosphate 0.8 mg/ml
0,9% nátrium-klorid 3827
Összeegyeztethető
Injekció Digoxin 250 µg/ml
Injekció Telavancin hydrochloride 7.5 mg/ml
Ringer-laktát oldat 3254
Összeegyeztethető
Injekció Digoxin 2 µg/ml
Injekció Verapamil hydrochloride 0,08 mg/ml
0,9% nátrium-klorid 706
Összeegyeztethető
Injekció Digoxin
0,9% nátrium-klorid 618
Az emulzió instabilitása 1 óra múlva Összeegyeztethetetlen
Injekció Digoxin 250 µg/ml
Injekció Propofol
660
Azonnali zavarosság Összeegyeztethetetlen
Injekció Digoxin 250 µg/ml
Injekció Telavancin hydrochloride 7,5 mg/ml
0,9% nátrium-klorid 3254
Azonnali zavarosság Összeegyeztethetetlen
Injekció Digoxin 250 µg/ml
Injekció Telavancin hydrochloride 7,5 mg/ml
5% glükóz 3254

  Mentions Légales