Ostatnia aktualizacja :
18/03/2026
Lek kardiotoniczny   Digoxin  
Injekcje
Trwałość roztworów Trwałość w mieszaninie Czynnik wpływający na trwałość Zgodność Sposób podania Bibliografia pdf
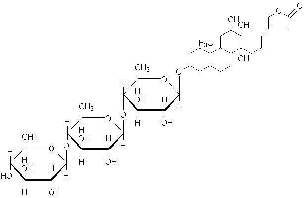
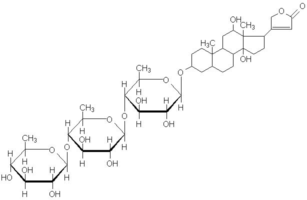
   Struktura chemiczna  

Nazwa handlowa   Nazwa handlowa     

Trade names are indicative and excipients composition can be different depending on the country and manufacturers

Cardixin Egipt
Celoxin Indie
Digibind nowa Zelandia, Stany Zjednoczone Ameryki
Digocard Argentyna, Ekwador
Digosin Japonia
Digoxin Argentyna, Dania, Ekwador, Finlandia, Iran, Kanada, Polska, Stany Zjednoczone Ameryki, Szwecja, Węgry, Wielka Brytania
Digoxina Argentyna, Ekwador, Hiszpania, Meksyk, Wenezuela
Digoxine Francja , Grecja, Szwajcaria
Geoxin Indie
Lanibos Arabia Saudyjska
Lanicor Niemcy
Lanoxin Arabia Saudyjska, Belgia, Chile, Egipt, Holandia, Iran, Irlandia, Luksemburg, Malezja, Norwegia, nowa Zelandia, Portugalia, Stany Zjednoczone Ameryki, Wielka Brytania, Włochy, Zjednoczone Emiraty Arabskie
Loxinan Meksyk
Zgodność   Injekcje   Zgodność : Digoxin              
Ekran ten wskazuje na kompatybilności lub niezgodności z, w tym przypadku, rodzajem niezgodności (strącanie, zmiana koloru, modyfikacja emulsji, itp.). Przedstawione tutaj kompatybilności są głównie fizyczne, a stabilność chemiczna każdej cząsteczki jest rzadko oceniana. Ocenę tych mieszanin badano w celu rozważenia możliwości podania pacjentowi w miejscu Y. Dane te nie mogą być wykorzystywane do sporządzania mieszanin z wyprzedzeniem w workach lub strzykawkach. Tego typu informacje są dostępne na ekranie „Stabilność w mieszaninie”.
Związek Rozpuszczalnik Bibliografia
Natychmiastowe opady Niekompatybilny
Injekcje Digoxin 250 µg/ml
Injekcje Amiodarone hydrochloride 6 mg/ml
Glukoza 5% 1611
Zgodny
Injekcje Digoxin 250 µg/ml
Injekcje Amoxicillin sodium / clavulanic acid 100/10 mg/ml
3824
Natychmiastowe opady Niekompatybilny
Injekcje Digoxin 250 µg/ml
Injekcje Amphotericin B cholesteryl sulfate complex 0.83 mg/ml
Glukoza 5% 921
Zgodny
Injekcje Digoxin 250 µg/ml
Injekcje Anidulafungin 0.5 mg/ml
Glukoza 5% 1982
Zgodny
Injekcje Digoxin 250 µg/ml
Injekcje Caffeine 10 mg/ml
Żaden 3964
Zgodny
Injekcje Digoxin
Glukoza 5% 618
Zgodny
Injekcje Digoxin 250 µg/ml
Injekcje Bivalirudin 5 mg/ml
Glukoza 5% 1713
Zgodny
Injekcje Digoxin 2 µg/ml
Injekcje Bretylium tosilate 1 mg/ml
Chlorek sodu 0,9% 1193
Zgodny
Injekcje Digoxin 2 µg/ml
Injekcje Bretylium tosilate 1 mg/ml
Glukoza 5% 1193
Zgodny
Injekcje Digoxin 250 µg/ml
Injekcje Cefiderocol sulfate tosylate 20 mg/mL
Chlorek sodu 0,9% 4528
Zgodny
Injekcje Digoxin 250 µg/ml
Injekcje Cefiderocol sulfate tosylate 20 mg/mL
Glukoza 5% 4528
Zgodny
Injekcje Digoxin 250 µg/ml
Injekcje Cefmetazole sodium 100 mg/ml
Woda do wstrzyknięć 93
Zgodny
Injekcje Digoxin 250 µg/ml
Injekcje Ceftaroline fosamil 2,22 mg/ml
Glukoza 5% 3249
Zgodny
Injekcje Digoxin 250 µg/ml
Injekcje Ceftaroline fosamil 2,22 mg/ml
Chlorek sodu 0,9% 3249
Zgodny
Injekcje Digoxin 250 µg/ml
Injekcje Ceftaroline fosamil 2,22 mg/ml
Roztwór Ringera z mleczanem sodowym 3249
Zgodny
Injekcje Digoxin 250 µg/ml
Injekcje Ceftobiprole medocaril sodium 2 mg/ml
Roztwór Ringera z mleczanem sodowym 2269
Zgodny
Injekcje Digoxin 250 µg/ml
Injekcje Ceftobiprole medocaril sodium 2 mg/ml
Chlorek sodu 0,9% 2269
Zgodny
Injekcje Digoxin 250 µg/ml
Injekcje Ceftobiprole medocaril sodium 2 mg/ml
Glukoza 5% 2269
Zgodny
Injekcje Digoxin 250 µg/ml
Injekcje Ciprofloxacin lactate 2 mg/ml
Chlorek sodu 0,9% 288
Zgodny
Injekcje Digoxin 250 µg/ml
Injekcje Cisatracurium besylate 0.1 >> 5 mg/ml
Glukoza 5% 299
Zgodny
Injekcje Digoxin 250 µg/ml
Odżywianie pozajelitowe (mieszanina binarny) 301
Zgodny
Injekcje Digoxin 2.5 µg/ml
Injekcje Cimetidine hydrochloride 3 mg/ml
Glukoza 5% 1201
Zgodny
Injekcje Digoxin 250 µg/ml
Injekcje Ciprofloxacin lactate 2 mg/ml
Chlorek sodu 0,9% 289
Zgodny
Injekcje Digoxin 50 µg/ml
Injekcje Cloxacillin sodium 100 mg/ml
Woda do wstrzyknięć 3012
Zgodny
Injekcje Digoxin 250 µg/ml
Żywienie pozajelitowe (lipidami) 1415
Zgodny
Injekcje Digoxin 250 µg/ml
Injekcje Ceftolozane / tazobactam 10/5 mg/ml
Chlorek sodu 0,9% 3828
Zgodny
Injekcje Digoxin 250 µg/ml
Injekcje Ceftolozane / tazobactam 10/5 mg/ml
Glukoza 5% 3828
Zgodny
Injekcje Digoxin 250 µg/ml
Injekcje Ciprofloxacin lactate 2 mg/ml
Glukoza 5% 288
Zgodny
Injekcje Digoxin 0.4 µg/ml
Żywienie pozajelitowe (lipidami) 1338
Zgodny
Injekcje Digoxin 250 µg/ml
Injekcje Dexmedetomidine 4 µg/ml
Chlorek sodu 0,9% 1712
Zgodny
Injekcje Digoxin 500 µg/ml
Injekcje Diltiazem hydrochloride 1 & 5 mg/ml
Chlorek sodu 0,9% 198
Zgodny
Injekcje Digoxin
Injekcje Dimenhydrinate
2087
Zmiana koloru po 24 godzinach Niekompatybilny
Injekcje Digoxin 4 µg/ml
Injekcje Dobutamine hydrochloride 1 mg/ml
Glukoza 5% 1058
Zmiana koloru po 24 godzinach Niekompatybilny
Injekcje Digoxin 4 µg/ml
Injekcje Dobutamine hydrochloride 1 mg/ml
Chlorek sodu 0,9% 1058
Zgodny
Injekcje Digoxin 250 µg/ml
Injekcje Doripenem 5 mg/ml
Chlorek sodu 0,9% 2262
Zgodny
Injekcje Digoxin 250 µg/ml
Injekcje Doripenem 5 mg/ml
Glukoza 5% 2262
Zgodny
Injekcje Digoxin 250 µg/ml
Injekcje Famotidine
Glukoza 5% 397
Zgodny
Injekcje Digoxin 250 µg/ml
Injekcje Fenoldopam mesylate 80 µg/ml
Chlorek sodu 0,9% 1803
Zgodny
Injekcje Digoxin 100 µg/ml
Injekcje Fentanyl citrate 50 µg/ml
Glukoza 5% 63
Zgodny
Injekcje Digoxin 25 µg/ml
Injekcje Flucloxacillin sodium 20 mg/ml
Chlorek sodu 0,9% 1232
Produkcja pęcherzyków gazu Niekompatybilny
Injekcje Digoxin 250 µg/ml
Injekcje Fluconazole 2 mg/ml
Chlorek sodu 0,9% 496
Zgodny
Injekcje Digoxin 50 µg/ml
Roztwór Ringera z mleczanem sodowym 4603
Produkcja pęcherzyków gazu Niekompatybilny
Injekcje Digoxin 250 µg/ml
Injekcje Foscarnet sodium 24 mg/ml
Żaden 73
Zgodny
Injekcje Digoxin
Roztwór Ringera z mleczanem sodowym 618
Zgodny
Injekcje Digoxin 250 µg/ml
Injekcje Fosfomycin 30 mg/ml
Glukoza 5% 4055
Zgodny
Injekcje Digoxin 250 µg/ml
Injekcje Fosfomycin 30 mg/ml
Chlorek sodu 0,9% 4055
Zgodny
Injekcje Digoxin 25 µg/ml
Injekcje Furosemide 1 mg/ml
Chlorek sodu 0,9% 1232
Zgodny
Injekcje Digoxin 250 µg/ml
Injekcje Hetastarch 60 mg/ml
danego rozpuszczalnika 1721
Zgodny
Injekcje Digoxin 0,25 µg/ml
Injekcje Imipenem-Cilastatin / Relebactam 5 mg/ml
Glukoza 5% 4433
Zgodny
Injekcje Digoxin 0,25 µg/ml
Injekcje Imipenem-Cilastatin / Relebactam 5 mg/ml
Chlorek sodu 0,9% 4433
Zgodny
Injekcje Digoxin 250 µg/ml
Injekcje Isavuconazonium sulfate 1.5 mg/ml
Glukoza 5% 3829
Zgodny
Injekcje Digoxin 250 µg/ml
Injekcje Isavuconazonium sulfate 1.5 mg/ml
Chlorek sodu 0,9% 3829
Zgodny
Injekcje Digoxin 50 µg/ml
Injekcje Ketamine hydrochloride 50 mg/ml
2109
Natychmiastowe opady Niekompatybilny
Injekcje Digoxin 250 µg/ml
Injekcje Lansoprazole 0.55 mg/ml
Chlorek sodu 0,9% 1625
Zgodny
Injekcje Digoxin 250 µg/ml
Injekcje Levosimendan 0,025 & 0,05 mg/ml
4571
Zgodny
Injekcje Digoxin 1 µg/ml
Injekcje Lidocaine hydrochloride 2 mg/ml
Roztwór Ringera z mleczanem sodowym 619
Zgodny
Injekcje Digoxin 1 µg/ml
Injekcje Lidocaine hydrochloride 2 mg/ml
Glukoza 5% 619
Zgodny
Injekcje Digoxin 1 µg/ml
Injekcje Lidocaine hydrochloride 2 mg/ml
Chlorek sodu 0,9% 619
Zgodny
Injekcje Digoxin 250 µg/ml
Injekcje Linezolid 2 mg/ml
Żaden 1925
Zgodny
Injekcje Digoxin 250 µg/ml
Injekcje Meropenem 50 mg/ml
Woda do wstrzyknięć 4319
Zgodny
Injekcje Digoxin 250 µg/ml
Injekcje Meropenem 1 & 50 mg/ml
Chlorek sodu 0,9% 266
Zgodny
Injekcje Digoxin 100 µg/ml
Injekcje Midazolam hydrochloride 1 mg/ml
Glukoza 5% 176
Zgodny
Injekcje Digoxin 50 & 125 µg/ml
Injekcje Milrinone lactate 0.1 & 0.35 mg/ml
Glukoza 5% 191
Zgodny
Injekcje Digoxin 250 µg/ml
Injekcje Morphine sulfate 1 mg/ml
Glukoza 5% 62
Zgodny
Injekcje Digoxin 50 µg/ml
Injekcje N-acetylcysteine 200 mg/ml
Żaden 3766
Zgodny
Injekcje Digoxin 50 µg/ml
Injekcje Naloxone hydrochloride 0.4 mg/ml
Żaden 3408
Opady po 4 godzinach Niekompatybilny
Injekcje Digoxin
Injekcje Pantoprazole sodium
2090
Zgodny
Injekcje Digoxin 250 µg/ml
Injekcje Pethidine hydrochloride 10 mg/ml
Glukoza 5% 62
Zgodny
Injekcje Digoxin 250 µg/ml
Injekcje Plazomicin sulfate 24 mg/ml
Chlorek sodu 0,9% 4145
Zgodny
Injekcje Digoxin 250 µg/ml
Injekcje Potassium chloride 40 mEq/l
Glukoza 5% 730
Zgodny
Injekcje Digoxin 250 µg/ml
Injekcje Potassium chloride 40 mEq/l
Roztwór Ringera z mleczanem sodowym 730
Zgodny
Injekcje Digoxin 250 µg/ml
Injekcje Potassium chloride 40 mEq/l
Chlorek sodu 0,9% 730
Zgodny
Injekcje Digoxin 250 µg/ml
Injekcje Propofol 10 mg/ml
Żaden 300
Zgodny
Injekcje Digoxin 250 µg/ml
Injekcje Remifentanil hydrochloride 25 & 250 µg/ml
Chlorek sodu 0,9% 59
Zgodny
Injekcje Digoxin 0,25 µg/ml
Injekcje Sulbactam/durlobactam 15/15 mg/ml
Chlorek sodu 0,9% 4801
Zgodny
Injekcje Digoxin 250 µg/ml
Injekcje Tacrolimus 1000 µg/ml
Chlorek sodu 0,9% 479
Zgodny
Injekcje Digoxin 250 µg/ml
Injekcje Tedizolid phosphate 0.8 mg/ml
Chlorek sodu 0,9% 3827
Zgodny
Injekcje Digoxin 250 µg/ml
Injekcje Telavancin hydrochloride 7.5 mg/ml
Roztwór Ringera z mleczanem sodowym 3254
Zgodny
Injekcje Digoxin 2 µg/ml
Injekcje Verapamil hydrochloride 0,08 mg/ml
Chlorek sodu 0,9% 706
Zgodny
Injekcje Digoxin
Chlorek sodu 0,9% 618
Niestabilność emulsji po 1 godzinie Niekompatybilny
Injekcje Digoxin 250 µg/ml
Injekcje Propofol
660
Natychmiastowe zmętnienie Niekompatybilny
Injekcje Digoxin 250 µg/ml
Injekcje Telavancin hydrochloride 7,5 mg/ml
Chlorek sodu 0,9% 3254
Natychmiastowe zmętnienie Niekompatybilny
Injekcje Digoxin 250 µg/ml
Injekcje Telavancin hydrochloride 7,5 mg/ml
Glukoza 5% 3254

  Mentions Légales