Senaste uppdateringen :
18/03/2026
Kardiotonikum   Digoxin  
injektion
Lösningars stabilitet Stabilitet i blandningar Faktorer som påverkar stabiliteten Kompatibilitet Administreringssätt Hänvisningar pdf
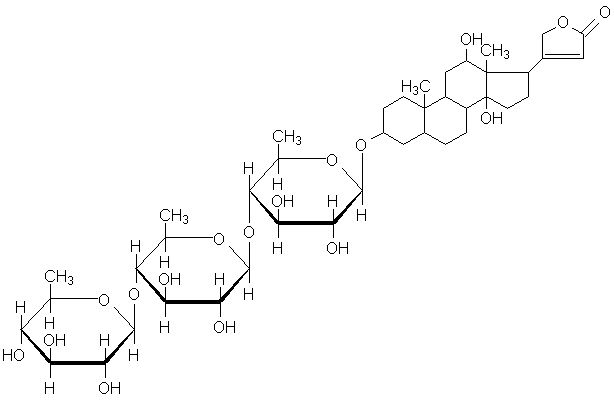
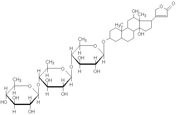
   Molekylstruktur  

Varunamn   Varunamn     

Angivna handelsnamn på läkemedel är enbart vägledande då formulering inklusive hjälpämnen kan variera mellan länder och tillverkare

Cardixin Egypten
Celoxin Indien
Digibind Förenta Staterna, nya Zeeland
Digocard Argentina, Ecuador
Digosin Japan
Digoxin Argentina, Danmark, Ecuador, Finland, Förenta Staterna, Iran, Kanada, Polen, Storbritannien, Sverige, Ungern
Digoxina Argentina, Ecuador, Mexiko, Spanien, Venezuela
Digoxine Frankrike, Grekland, Schweiz
Geoxin Indien
Lanibos Saudi-Arabien
Lanicor Tyskland
Lanoxin Belgien, Chile, Egypten, Förenade Arabemiraten, Förenta Staterna, Iran, Irland, Italien, Luxemburg, Malaysia, Nederländerna, Norge, nya Zeeland, Portugal, Saudi-Arabien, Storbritannien
Loxinan Mexiko
Kompatibilitet   injektion   Kompatibilitet : Digoxin              
Den här skärmen visar kompatibiliteten eller inkompatibiliteten med, i detta fall, typen av inkompatibilitet (utfällning, färgförändring, modifiering av en emulsion, etc.). De kompatibiliteter som visas här är oftast endast fysiska, varvid den kemiska stabiliteten för varje molekyl sällan utvärderas. Utvärderingen av dessa blandningar studerades för att överväga möjligheten för Y-platsadministrering till patienten. Dessa data kan inte användas för att göra blandningar i förväg i påsar eller sprutor. Denna typ av information finns på skärmen "Stabilitet i blandning".
Substans Lösningsmedel Hänvisningar
Omedelbar nederbörd Oförenlig
injektion Digoxin 250 µg/ml
injektion Amiodarone hydrochloride 6 mg/ml
Glukos 5 % 1611
Kompatibel
injektion Digoxin 250 µg/ml
injektion Amoxicillin sodium / clavulanic acid 100/10 mg/ml
3824
Omedelbar nederbörd Oförenlig
injektion Digoxin 250 µg/ml
injektion Amphotericin B cholesteryl sulfate complex 0.83 mg/ml
Glukos 5 % 921
Kompatibel
injektion Digoxin 250 µg/ml
injektion Anidulafungin 0.5 mg/ml
Glukos 5 % 1982
Kompatibel
injektion Digoxin 250 µg/ml
injektion Caffeine 10 mg/ml
Ingen 3964
Kompatibel
injektion Digoxin
Glukos 5 % 618
Kompatibel
injektion Digoxin 250 µg/ml
injektion Bivalirudin 5 mg/ml
Glukos 5 % 1713
Kompatibel
injektion Digoxin 2 µg/ml
injektion Bretylium tosilate 1 mg/ml
Natriumklorid 0,9 % 1193
Kompatibel
injektion Digoxin 2 µg/ml
injektion Bretylium tosilate 1 mg/ml
Glukos 5 % 1193
Kompatibel
injektion Digoxin 250 µg/ml
injektion Cefiderocol sulfate tosylate 20 mg/mL
Natriumklorid 0,9 % 4528
Kompatibel
injektion Digoxin 250 µg/ml
injektion Cefiderocol sulfate tosylate 20 mg/mL
Glukos 5 % 4528
Kompatibel
injektion Digoxin 250 µg/ml
injektion Cefmetazole sodium 100 mg/ml
Vatten för injektion 93
Kompatibel
injektion Digoxin 250 µg/ml
injektion Ceftaroline fosamil 2,22 mg/ml
Glukos 5 % 3249
Kompatibel
injektion Digoxin 250 µg/ml
injektion Ceftaroline fosamil 2,22 mg/ml
Natriumklorid 0,9 % 3249
Kompatibel
injektion Digoxin 250 µg/ml
injektion Ceftaroline fosamil 2,22 mg/ml
Ringer-laktatlösning 3249
Kompatibel
injektion Digoxin 250 µg/ml
injektion Ceftobiprole medocaril sodium 2 mg/ml
Ringer-laktatlösning 2269
Kompatibel
injektion Digoxin 250 µg/ml
injektion Ceftobiprole medocaril sodium 2 mg/ml
Natriumklorid 0,9 % 2269
Kompatibel
injektion Digoxin 250 µg/ml
injektion Ceftobiprole medocaril sodium 2 mg/ml
Glukos 5 % 2269
Kompatibel
injektion Digoxin 250 µg/ml
injektion Ciprofloxacin lactate 2 mg/ml
Natriumklorid 0,9 % 288
Kompatibel
injektion Digoxin 250 µg/ml
injektion Cisatracurium besylate 0.1 >> 5 mg/ml
Glukos 5 % 299
Kompatibel
injektion Digoxin 250 µg/ml
Parenteral nutrition (binär blandning) 301
Kompatibel
injektion Digoxin 2.5 µg/ml
injektion Cimetidine hydrochloride 3 mg/ml
Glukos 5 % 1201
Kompatibel
injektion Digoxin 250 µg/ml
injektion Ciprofloxacin lactate 2 mg/ml
Natriumklorid 0,9 % 289
Kompatibel
injektion Digoxin 50 µg/ml
injektion Cloxacillin sodium 100 mg/ml
Vatten för injektion 3012
Kompatibel
injektion Digoxin 250 µg/ml
Parenteral nutrition (med lipider) 1415
Kompatibel
injektion Digoxin 250 µg/ml
injektion Ceftolozane / tazobactam 10/5 mg/ml
Natriumklorid 0,9 % 3828
Kompatibel
injektion Digoxin 250 µg/ml
injektion Ceftolozane / tazobactam 10/5 mg/ml
Glukos 5 % 3828
Kompatibel
injektion Digoxin 250 µg/ml
injektion Ciprofloxacin lactate 2 mg/ml
Glukos 5 % 288
Kompatibel
injektion Digoxin 0.4 µg/ml
Parenteral nutrition (med lipider) 1338
Kompatibel
injektion Digoxin 250 µg/ml
injektion Dexmedetomidine 4 µg/ml
Natriumklorid 0,9 % 1712
Kompatibel
injektion Digoxin 500 µg/ml
injektion Diltiazem hydrochloride 1 & 5 mg/ml
Natriumklorid 0,9 % 198
Kompatibel
injektion Digoxin
injektion Dimenhydrinate
2087
Färgändring efter 24 timmar Oförenlig
injektion Digoxin 4 µg/ml
injektion Dobutamine hydrochloride 1 mg/ml
Glukos 5 % 1058
Färgändring efter 24 timmar Oförenlig
injektion Digoxin 4 µg/ml
injektion Dobutamine hydrochloride 1 mg/ml
Natriumklorid 0,9 % 1058
Kompatibel
injektion Digoxin 250 µg/ml
injektion Doripenem 5 mg/ml
Natriumklorid 0,9 % 2262
Kompatibel
injektion Digoxin 250 µg/ml
injektion Doripenem 5 mg/ml
Glukos 5 % 2262
Kompatibel
injektion Digoxin 250 µg/ml
injektion Famotidine
Glukos 5 % 397
Kompatibel
injektion Digoxin 250 µg/ml
injektion Fenoldopam mesylate 80 µg/ml
Natriumklorid 0,9 % 1803
Kompatibel
injektion Digoxin 100 µg/ml
injektion Fentanyl citrate 50 µg/ml
Glukos 5 % 63
Kompatibel
injektion Digoxin 25 µg/ml
injektion Flucloxacillin sodium 20 mg/ml
Natriumklorid 0,9 % 1232
Produktion av gasbubblor Oförenlig
injektion Digoxin 250 µg/ml
injektion Fluconazole 2 mg/ml
Natriumklorid 0,9 % 496
Kompatibel
injektion Digoxin 50 µg/ml
Ringer-laktatlösning 4603
Produktion av gasbubblor Oförenlig
injektion Digoxin 250 µg/ml
injektion Foscarnet sodium 24 mg/ml
Ingen 73
Kompatibel
injektion Digoxin
Ringer-laktatlösning 618
Kompatibel
injektion Digoxin 250 µg/ml
injektion Fosfomycin 30 mg/ml
Glukos 5 % 4055
Kompatibel
injektion Digoxin 250 µg/ml
injektion Fosfomycin 30 mg/ml
Natriumklorid 0,9 % 4055
Kompatibel
injektion Digoxin 25 µg/ml
injektion Furosemide 1 mg/ml
Natriumklorid 0,9 % 1232
Kompatibel
injektion Digoxin 250 µg/ml
injektion Hetastarch 60 mg/ml
specifikt lösningsmedel 1721
Kompatibel
injektion Digoxin 0,25 µg/ml
injektion Imipenem-Cilastatin / Relebactam 5 mg/ml
Glukos 5 % 4433
Kompatibel
injektion Digoxin 0,25 µg/ml
injektion Imipenem-Cilastatin / Relebactam 5 mg/ml
Natriumklorid 0,9 % 4433
Kompatibel
injektion Digoxin 250 µg/ml
injektion Isavuconazonium sulfate 1.5 mg/ml
Glukos 5 % 3829
Kompatibel
injektion Digoxin 250 µg/ml
injektion Isavuconazonium sulfate 1.5 mg/ml
Natriumklorid 0,9 % 3829
Kompatibel
injektion Digoxin 50 µg/ml
injektion Ketamine hydrochloride 50 mg/ml
2109
Omedelbar nederbörd Oförenlig
injektion Digoxin 250 µg/ml
injektion Lansoprazole 0.55 mg/ml
Natriumklorid 0,9 % 1625
Kompatibel
injektion Digoxin 250 µg/ml
injektion Levosimendan 0,025 & 0,05 mg/ml
4571
Kompatibel
injektion Digoxin 1 µg/ml
injektion Lidocaine hydrochloride 2 mg/ml
Ringer-laktatlösning 619
Kompatibel
injektion Digoxin 1 µg/ml
injektion Lidocaine hydrochloride 2 mg/ml
Glukos 5 % 619
Kompatibel
injektion Digoxin 1 µg/ml
injektion Lidocaine hydrochloride 2 mg/ml
Natriumklorid 0,9 % 619
Kompatibel
injektion Digoxin 250 µg/ml
injektion Linezolid 2 mg/ml
Ingen 1925
Kompatibel
injektion Digoxin 250 µg/ml
injektion Meropenem 50 mg/ml
Vatten för injektion 4319
Kompatibel
injektion Digoxin 250 µg/ml
injektion Meropenem 1 & 50 mg/ml
Natriumklorid 0,9 % 266
Kompatibel
injektion Digoxin 100 µg/ml
injektion Midazolam hydrochloride 1 mg/ml
Glukos 5 % 176
Kompatibel
injektion Digoxin 50 & 125 µg/ml
injektion Milrinone lactate 0.1 & 0.35 mg/ml
Glukos 5 % 191
Kompatibel
injektion Digoxin 250 µg/ml
injektion Morphine sulfate 1 mg/ml
Glukos 5 % 62
Kompatibel
injektion Digoxin 50 µg/ml
injektion N-acetylcysteine 200 mg/ml
Ingen 3766
Kompatibel
injektion Digoxin 50 µg/ml
injektion Naloxone hydrochloride 0.4 mg/ml
Ingen 3408
Utfällning efter 4 timmar Oförenlig
injektion Digoxin
injektion Pantoprazole sodium
2090
Kompatibel
injektion Digoxin 250 µg/ml
injektion Pethidine hydrochloride 10 mg/ml
Glukos 5 % 62
Kompatibel
injektion Digoxin 250 µg/ml
injektion Plazomicin sulfate 24 mg/ml
Natriumklorid 0,9 % 4145
Kompatibel
injektion Digoxin 250 µg/ml
injektion Potassium chloride 40 mEq/l
Glukos 5 % 730
Kompatibel
injektion Digoxin 250 µg/ml
injektion Potassium chloride 40 mEq/l
Ringer-laktatlösning 730
Kompatibel
injektion Digoxin 250 µg/ml
injektion Potassium chloride 40 mEq/l
Natriumklorid 0,9 % 730
Kompatibel
injektion Digoxin 250 µg/ml
injektion Propofol 10 mg/ml
Ingen 300
Kompatibel
injektion Digoxin 250 µg/ml
injektion Remifentanil hydrochloride 25 & 250 µg/ml
Natriumklorid 0,9 % 59
Kompatibel
injektion Digoxin 0,25 µg/ml
injektion Sulbactam/durlobactam 15/15 mg/ml
Natriumklorid 0,9 % 4801
Kompatibel
injektion Digoxin 250 µg/ml
injektion Tacrolimus 1000 µg/ml
Natriumklorid 0,9 % 479
Kompatibel
injektion Digoxin 250 µg/ml
injektion Tedizolid phosphate 0.8 mg/ml
Natriumklorid 0,9 % 3827
Kompatibel
injektion Digoxin 250 µg/ml
injektion Telavancin hydrochloride 7.5 mg/ml
Ringer-laktatlösning 3254
Kompatibel
injektion Digoxin 2 µg/ml
injektion Verapamil hydrochloride 0,08 mg/ml
Natriumklorid 0,9 % 706
Kompatibel
injektion Digoxin
Natriumklorid 0,9 % 618
Emulsionens instabilitet efter 1 timme Oförenlig
injektion Digoxin 250 µg/ml
injektion Propofol
660
Omedelbar grumlighet Oförenlig
injektion Digoxin 250 µg/ml
injektion Telavancin hydrochloride 7,5 mg/ml
Natriumklorid 0,9 % 3254
Omedelbar grumlighet Oförenlig
injektion Digoxin 250 µg/ml
injektion Telavancin hydrochloride 7,5 mg/ml
Glukos 5 % 3254

  Mentions Légales