Последно актуализиране :
18/03/2026
Кардиотонично средство   Digoxin  
Инжекция/Инжекционен
Стабилност на разтвори Стабилност на смеси Фактори, повлияващи стабилността Съвместимост Път на въвеждане Библиография Pdf
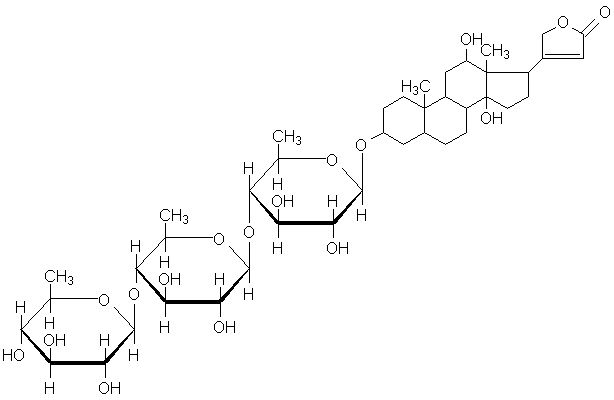
   Химична структура  

Търговско наименование   Търговско наименование     

Търговските имена са примерни и съставът на помощните вещества може да бъде различен в зависимост от държавата и лабораториите

Cardixin Египет
Celoxin Индия
Digibind нова Зеландия, Съединени Американски щати / САЩ
Digocard Аржентина, Еквадор
Digosin Япония
Digoxin Аржентина, Великобритания, Дания, Еквадор, Иран, Канада, Полша, Съединени Американски щати / САЩ, Унгария, Финландия, Швеция
Digoxina Аржентина, Венецуела, Еквадор, Испания, Мексико
Digoxine Гърция, Франция, Швейцария
Geoxin Индия
Lanibos Саудитска Арабия
Lanicor Германия
Lanoxin Белгия, Великобритания, Египет, Иран, Ирландия, Италия, Люксенбург, Малайзия, нова Зеландия, Норвегия, Обединени арабски емирства, Португалия, Саудитска Арабия, Съединени Американски щати / САЩ, Холандия, Чили
Loxinan Мексико
Съвместимост   Инжекция/Инжекционен   Съвместимост : Digoxin              
Този екран показва съвместимостта или несъвместимостта с, в този случай, вида на несъвместимостта (утаяване, промяна на цвета, модификация на емулсия и др.). Показаните тук съвместимости са предимно физически, като рядко се оценява химическата стабилност на всяка молекула. Оценката на тези смеси беше проучена, за да се разгледа възможността за приложение на Y-място на пациента. Тези данни не могат да се използват за предварително приготвяне на смеси в торбички или спринцовки. Този тип информация е достъпна на екрана "Стабилност в сместа".
Състав / молекула Разтворител Библиография
Незабавни валежи Несъвместим
Инжекция/Инжекционен Digoxin 250 µg/ml
Инжекция/Инжекционен Amiodarone hydrochloride 6 mg/ml
Glucose 5% 1611
съвместим
Инжекция/Инжекционен Digoxin 250 µg/ml
Инжекция/Инжекционен Amoxicillin sodium / clavulanic acid 100/10 mg/ml
3824
Незабавни валежи Несъвместим
Инжекция/Инжекционен Digoxin 250 µg/ml
Инжекция/Инжекционен Amphotericin B cholesteryl sulfate complex 0.83 mg/ml
Glucose 5% 921
съвместим
Инжекция/Инжекционен Digoxin 250 µg/ml
Инжекция/Инжекционен Anidulafungin 0.5 mg/ml
Glucose 5% 1982
съвместим
Инжекция/Инжекционен Digoxin 250 µg/ml
Инжекция/Инжекционен Caffeine 10 mg/ml
Няма 3964
съвместим
Инжекция/Инжекционен Digoxin
Glucose 5% 618
съвместим
Инжекция/Инжекционен Digoxin 250 µg/ml
Инжекция/Инжекционен Bivalirudin 5 mg/ml
Glucose 5% 1713
съвместим
Инжекция/Инжекционен Digoxin 2 µg/ml
Инжекция/Инжекционен Bretylium tosilate 1 mg/ml
Sodium chloride 0,9% 1193
съвместим
Инжекция/Инжекционен Digoxin 2 µg/ml
Инжекция/Инжекционен Bretylium tosilate 1 mg/ml
Glucose 5% 1193
съвместим
Инжекция/Инжекционен Digoxin 250 µg/ml
Инжекция/Инжекционен Cefiderocol sulfate tosylate 20 mg/mL
Sodium chloride 0,9% 4528
съвместим
Инжекция/Инжекционен Digoxin 250 µg/ml
Инжекция/Инжекционен Cefiderocol sulfate tosylate 20 mg/mL
Glucose 5% 4528
съвместим
Инжекция/Инжекционен Digoxin 250 µg/ml
Инжекция/Инжекционен Cefmetazole sodium 100 mg/ml
Вода за инжекции 93
съвместим
Инжекция/Инжекционен Digoxin 250 µg/ml
Инжекция/Инжекционен Ceftaroline fosamil 2,22 mg/ml
Glucose 5% 3249
съвместим
Инжекция/Инжекционен Digoxin 250 µg/ml
Инжекция/Инжекционен Ceftaroline fosamil 2,22 mg/ml
Sodium chloride 0,9% 3249
съвместим
Инжекция/Инжекционен Digoxin 250 µg/ml
Инжекция/Инжекционен Ceftaroline fosamil 2,22 mg/ml
Ринтер лактат 3249
съвместим
Инжекция/Инжекционен Digoxin 250 µg/ml
Инжекция/Инжекционен Ceftobiprole medocaril sodium 2 mg/ml
Ринтер лактат 2269
съвместим
Инжекция/Инжекционен Digoxin 250 µg/ml
Инжекция/Инжекционен Ceftobiprole medocaril sodium 2 mg/ml
Sodium chloride 0,9% 2269
съвместим
Инжекция/Инжекционен Digoxin 250 µg/ml
Инжекция/Инжекционен Ceftobiprole medocaril sodium 2 mg/ml
Glucose 5% 2269
съвместим
Инжекция/Инжекционен Digoxin 250 µg/ml
Инжекция/Инжекционен Ciprofloxacin lactate 2 mg/ml
Sodium chloride 0,9% 288
съвместим
Инжекция/Инжекционен Digoxin 250 µg/ml
Инжекция/Инжекционен Cisatracurium besylate 0.1 >> 5 mg/ml
Glucose 5% 299
съвместим
Инжекция/Инжекционен Digoxin 250 µg/ml
Парентерално хранене (липидите безплатно) 301
съвместим
Инжекция/Инжекционен Digoxin 2.5 µg/ml
Инжекция/Инжекционен Cimetidine hydrochloride 3 mg/ml
Glucose 5% 1201
съвместим
Инжекция/Инжекционен Digoxin 250 µg/ml
Инжекция/Инжекционен Ciprofloxacin lactate 2 mg/ml
Sodium chloride 0,9% 289
съвместим
Инжекция/Инжекционен Digoxin 50 µg/ml
Инжекция/Инжекционен Cloxacillin sodium 100 mg/ml
Вода за инжекции 3012
съвместим
Инжекция/Инжекционен Digoxin 250 µg/ml
Парентерално хранене (с липиди) 1415
съвместим
Инжекция/Инжекционен Digoxin 250 µg/ml
Инжекция/Инжекционен Ceftolozane / tazobactam 10/5 mg/ml
Sodium chloride 0,9% 3828
съвместим
Инжекция/Инжекционен Digoxin 250 µg/ml
Инжекция/Инжекционен Ceftolozane / tazobactam 10/5 mg/ml
Glucose 5% 3828
съвместим
Инжекция/Инжекционен Digoxin 250 µg/ml
Инжекция/Инжекционен Ciprofloxacin lactate 2 mg/ml
Glucose 5% 288
съвместим
Инжекция/Инжекционен Digoxin 0.4 µg/ml
Парентерално хранене (с липиди) 1338
съвместим
Инжекция/Инжекционен Digoxin 250 µg/ml
Инжекция/Инжекционен Dexmedetomidine 4 µg/ml
Sodium chloride 0,9% 1712
съвместим
Инжекция/Инжекционен Digoxin 500 µg/ml
Инжекция/Инжекционен Diltiazem hydrochloride 1 & 5 mg/ml
Sodium chloride 0,9% 198
съвместим
Инжекция/Инжекционен Digoxin
Инжекция/Инжекционен Dimenhydrinate
2087
Промяна на цвета след 24 часа Несъвместим
Инжекция/Инжекционен Digoxin 4 µg/ml
Инжекция/Инжекционен Dobutamine hydrochloride 1 mg/ml
Glucose 5% 1058
Промяна на цвета след 24 часа Несъвместим
Инжекция/Инжекционен Digoxin 4 µg/ml
Инжекция/Инжекционен Dobutamine hydrochloride 1 mg/ml
Sodium chloride 0,9% 1058
съвместим
Инжекция/Инжекционен Digoxin 250 µg/ml
Инжекция/Инжекционен Doripenem 5 mg/ml
Sodium chloride 0,9% 2262
съвместим
Инжекция/Инжекционен Digoxin 250 µg/ml
Инжекция/Инжекционен Doripenem 5 mg/ml
Glucose 5% 2262
съвместим
Инжекция/Инжекционен Digoxin 250 µg/ml
Инжекция/Инжекционен Famotidine
Glucose 5% 397
съвместим
Инжекция/Инжекционен Digoxin 250 µg/ml
Инжекция/Инжекционен Fenoldopam mesylate 80 µg/ml
Sodium chloride 0,9% 1803
съвместим
Инжекция/Инжекционен Digoxin 100 µg/ml
Инжекция/Инжекционен Fentanyl citrate 50 µg/ml
Glucose 5% 63
съвместим
Инжекция/Инжекционен Digoxin 25 µg/ml
Инжекция/Инжекционен Flucloxacillin sodium 20 mg/ml
Sodium chloride 0,9% 1232
Производство на газови мехурчета Несъвместим
Инжекция/Инжекционен Digoxin 250 µg/ml
Инжекция/Инжекционен Fluconazole 2 mg/ml
Sodium chloride 0,9% 496
съвместим
Инжекция/Инжекционен Digoxin 50 µg/ml
Ринтер лактат 4603
Производство на газови мехурчета Несъвместим
Инжекция/Инжекционен Digoxin 250 µg/ml
Инжекция/Инжекционен Foscarnet sodium 24 mg/ml
Няма 73
съвместим
Инжекция/Инжекционен Digoxin
Ринтер лактат 618
съвместим
Инжекция/Инжекционен Digoxin 250 µg/ml
Инжекция/Инжекционен Fosfomycin 30 mg/ml
Glucose 5% 4055
съвместим
Инжекция/Инжекционен Digoxin 250 µg/ml
Инжекция/Инжекционен Fosfomycin 30 mg/ml
Sodium chloride 0,9% 4055
съвместим
Инжекция/Инжекционен Digoxin 25 µg/ml
Инжекция/Инжекционен Furosemide 1 mg/ml
Sodium chloride 0,9% 1232
съвместим
Инжекция/Инжекционен Digoxin 250 µg/ml
Инжекция/Инжекционен Hetastarch 60 mg/ml
Специфична разтворител 1721
съвместим
Инжекция/Инжекционен Digoxin 0,25 µg/ml
Инжекция/Инжекционен Imipenem-Cilastatin / Relebactam 5 mg/ml
Glucose 5% 4433
съвместим
Инжекция/Инжекционен Digoxin 0,25 µg/ml
Инжекция/Инжекционен Imipenem-Cilastatin / Relebactam 5 mg/ml
Sodium chloride 0,9% 4433
съвместим
Инжекция/Инжекционен Digoxin 250 µg/ml
Инжекция/Инжекционен Isavuconazonium sulfate 1.5 mg/ml
Glucose 5% 3829
съвместим
Инжекция/Инжекционен Digoxin 250 µg/ml
Инжекция/Инжекционен Isavuconazonium sulfate 1.5 mg/ml
Sodium chloride 0,9% 3829
съвместим
Инжекция/Инжекционен Digoxin 50 µg/ml
Инжекция/Инжекционен Ketamine hydrochloride 50 mg/ml
2109
Незабавни валежи Несъвместим
Инжекция/Инжекционен Digoxin 250 µg/ml
Инжекция/Инжекционен Lansoprazole 0.55 mg/ml
Sodium chloride 0,9% 1625
съвместим
Инжекция/Инжекционен Digoxin 250 µg/ml
Инжекция/Инжекционен Levosimendan 0,025 & 0,05 mg/ml
4571
съвместим
Инжекция/Инжекционен Digoxin 1 µg/ml
Инжекция/Инжекционен Lidocaine hydrochloride 2 mg/ml
Ринтер лактат 619
съвместим
Инжекция/Инжекционен Digoxin 1 µg/ml
Инжекция/Инжекционен Lidocaine hydrochloride 2 mg/ml
Glucose 5% 619
съвместим
Инжекция/Инжекционен Digoxin 1 µg/ml
Инжекция/Инжекционен Lidocaine hydrochloride 2 mg/ml
Sodium chloride 0,9% 619
съвместим
Инжекция/Инжекционен Digoxin 250 µg/ml
Инжекция/Инжекционен Linezolid 2 mg/ml
Няма 1925
съвместим
Инжекция/Инжекционен Digoxin 250 µg/ml
Инжекция/Инжекционен Meropenem 50 mg/ml
Вода за инжекции 4319
съвместим
Инжекция/Инжекционен Digoxin 250 µg/ml
Инжекция/Инжекционен Meropenem 1 & 50 mg/ml
Sodium chloride 0,9% 266
съвместим
Инжекция/Инжекционен Digoxin 100 µg/ml
Инжекция/Инжекционен Midazolam hydrochloride 1 mg/ml
Glucose 5% 176
съвместим
Инжекция/Инжекционен Digoxin 50 & 125 µg/ml
Инжекция/Инжекционен Milrinone lactate 0.1 & 0.35 mg/ml
Glucose 5% 191
съвместим
Инжекция/Инжекционен Digoxin 250 µg/ml
Инжекция/Инжекционен Morphine sulfate 1 mg/ml
Glucose 5% 62
съвместим
Инжекция/Инжекционен Digoxin 50 µg/ml
Инжекция/Инжекционен N-acetylcysteine 200 mg/ml
Няма 3766
съвместим
Инжекция/Инжекционен Digoxin 50 µg/ml
Инжекция/Инжекционен Naloxone hydrochloride 0.4 mg/ml
Няма 3408
Валежи след 4 часа Несъвместим
Инжекция/Инжекционен Digoxin
Инжекция/Инжекционен Pantoprazole sodium
2090
съвместим
Инжекция/Инжекционен Digoxin 250 µg/ml
Инжекция/Инжекционен Pethidine hydrochloride 10 mg/ml
Glucose 5% 62
съвместим
Инжекция/Инжекционен Digoxin 250 µg/ml
Инжекция/Инжекционен Plazomicin sulfate 24 mg/ml
Sodium chloride 0,9% 4145
съвместим
Инжекция/Инжекционен Digoxin 250 µg/ml
Инжекция/Инжекционен Potassium chloride 40 mEq/l
Glucose 5% 730
съвместим
Инжекция/Инжекционен Digoxin 250 µg/ml
Инжекция/Инжекционен Potassium chloride 40 mEq/l
Ринтер лактат 730
съвместим
Инжекция/Инжекционен Digoxin 250 µg/ml
Инжекция/Инжекционен Potassium chloride 40 mEq/l
Sodium chloride 0,9% 730
съвместим
Инжекция/Инжекционен Digoxin 250 µg/ml
Инжекция/Инжекционен Propofol 10 mg/ml
Няма 300
съвместим
Инжекция/Инжекционен Digoxin 250 µg/ml
Инжекция/Инжекционен Remifentanil hydrochloride 25 & 250 µg/ml
Sodium chloride 0,9% 59
съвместим
Инжекция/Инжекционен Digoxin 0,25 µg/ml
Инжекция/Инжекционен Sulbactam/durlobactam 15/15 mg/ml
Sodium chloride 0,9% 4801
съвместим
Инжекция/Инжекционен Digoxin 250 µg/ml
Инжекция/Инжекционен Tacrolimus 1000 µg/ml
Sodium chloride 0,9% 479
съвместим
Инжекция/Инжекционен Digoxin 250 µg/ml
Инжекция/Инжекционен Tedizolid phosphate 0.8 mg/ml
Sodium chloride 0,9% 3827
съвместим
Инжекция/Инжекционен Digoxin 250 µg/ml
Инжекция/Инжекционен Telavancin hydrochloride 7.5 mg/ml
Ринтер лактат 3254
съвместим
Инжекция/Инжекционен Digoxin 2 µg/ml
Инжекция/Инжекционен Verapamil hydrochloride 0,08 mg/ml
Sodium chloride 0,9% 706
съвместим
Инжекция/Инжекционен Digoxin
Sodium chloride 0,9% 618
Нестабилност на емулсията след 1 час Несъвместим
Инжекция/Инжекционен Digoxin 250 µg/ml
Инжекция/Инжекционен Propofol
660
Незабавна мътност Несъвместим
Инжекция/Инжекционен Digoxin 250 µg/ml
Инжекция/Инжекционен Telavancin hydrochloride 7,5 mg/ml
Sodium chloride 0,9% 3254
Незабавна мътност Несъвместим
Инжекция/Инжекционен Digoxin 250 µg/ml
Инжекция/Инжекционен Telavancin hydrochloride 7,5 mg/ml
Glucose 5% 3254

  Mentions Légales