Última actualização :
18/03/2026
Cardiotónico   Digoxin  
injetável
Estabilidade em soluções simples Estabilidade em misturas Factores que afectam a sua estabilidade Compatibilidade Método de administração Bibliografía pdf
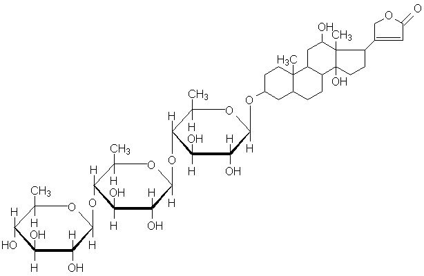
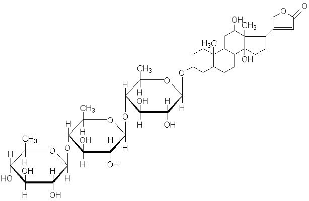
   estrutura química  

Nomes comerciais nos diversos países   Nomes comerciais nos diversos países     

OS NOMES COMERCIAIS SÃO INDICATIVOS E OS EXCIPIENTES DA FORMULAÇÃO PODEM SER DIFERENTES CONFORME O PAÍS E FABRICANTE.

Cardixin Egipto
Celoxin Índia
Digibind Estados Unidos de América, nova Zelândia
Digocard Argentina, Equator
Digosin Japón
Digoxin Argentina, Canadá, Dinamarca, Equator, Estados Unidos de América, Finlandia, Gran-bretanha, Hungria, Irã, Polonia, Suècia
Digoxina Argentina, Equator, Espanha, México, Venezuela
Digoxine França, Grècia, Suicia
Geoxin Índia
Lanibos Arábia Saudita
Lanicor Alemanha
Lanoxin Arábia Saudita, Bélgica, Chilli, Egipto, Emirados Árabes Unidos, Estados Unidos de América, Gran-bretanha, Irã, Irlanda, Itália, Luxemburgo, Malásia, Noruega, nova Zelândia, Países Baixos, Portugal
Loxinan México
Compatibilidade   injetável   Compatibilidade : Digoxin              
Este ecrã indica as compatibilidades ou incompatibilidades com, neste caso, o tipo de incompatibilidade (precipitação, mudança de cor, modificação de uma emulsão, etc.). As compatibilidades mostradas aqui são principalmente físicas, com a estabilidade química de cada molécula raramente sendo avaliada. A avaliação dessas misturas foi estudada para considerar a possibilidade de administração do local Y ao paciente. Estes dados não podem ser usados para fazer misturas antecipadamente em sacos ou seringas. Este tipo de informação está disponível na tela “Estabilidade na mistura».
molécula Solvente Bibliografia
Precipitação imediata Incompatível
injetável Digoxin 250 µg/ml
injetável Amiodarone hydrochloride 6 mg/ml
Glucose 5% 1611
Compatível
injetável Digoxin 250 µg/ml
injetável Amoxicillin sodium / clavulanic acid 100/10 mg/ml
3824
Precipitação imediata Incompatível
injetável Digoxin 250 µg/ml
injetável Amphotericin B cholesteryl sulfate complex 0.83 mg/ml
Glucose 5% 921
Compatível
injetável Digoxin 250 µg/ml
injetável Anidulafungin 0.5 mg/ml
Glucose 5% 1982
Compatível
injetável Digoxin 250 µg/ml
injetável Caffeine 10 mg/ml
nenhum 3964
Compatível
injetável Digoxin
Glucose 5% 618
Compatível
injetável Digoxin 250 µg/ml
injetável Bivalirudin 5 mg/ml
Glucose 5% 1713
Compatível
injetável Digoxin 2 µg/ml
injetável Bretylium tosilate 1 mg/ml
cloreto de sódio 0,9% 1193
Compatível
injetável Digoxin 2 µg/ml
injetável Bretylium tosilate 1 mg/ml
Glucose 5% 1193
Compatível
injetável Digoxin 250 µg/ml
injetável Cefiderocol sulfate tosylate 20 mg/mL
cloreto de sódio 0,9% 4528
Compatível
injetável Digoxin 250 µg/ml
injetável Cefiderocol sulfate tosylate 20 mg/mL
Glucose 5% 4528
Compatível
injetável Digoxin 250 µg/ml
injetável Cefmetazole sodium 100 mg/ml
Agua para injectaveis 93
Compatível
injetável Digoxin 250 µg/ml
injetável Ceftaroline fosamil 2,22 mg/ml
Glucose 5% 3249
Compatível
injetável Digoxin 250 µg/ml
injetável Ceftaroline fosamil 2,22 mg/ml
cloreto de sódio 0,9% 3249
Compatível
injetável Digoxin 250 µg/ml
injetável Ceftaroline fosamil 2,22 mg/ml
Ringer lactato 3249
Compatível
injetável Digoxin 250 µg/ml
injetável Ceftobiprole medocaril sodium 2 mg/ml
Ringer lactato 2269
Compatível
injetável Digoxin 250 µg/ml
injetável Ceftobiprole medocaril sodium 2 mg/ml
cloreto de sódio 0,9% 2269
Compatível
injetável Digoxin 250 µg/ml
injetável Ceftobiprole medocaril sodium 2 mg/ml
Glucose 5% 2269
Compatível
injetável Digoxin 250 µg/ml
injetável Ciprofloxacin lactate 2 mg/ml
cloreto de sódio 0,9% 288
Compatível
injetável Digoxin 250 µg/ml
injetável Cisatracurium besylate 0.1 >> 5 mg/ml
Glucose 5% 299
Compatível
injetável Digoxin 250 µg/ml
Nutrição parenterica (mistura binária) 301
Compatível
injetável Digoxin 2.5 µg/ml
injetável Cimetidine hydrochloride 3 mg/ml
Glucose 5% 1201
Compatível
injetável Digoxin 250 µg/ml
injetável Ciprofloxacin lactate 2 mg/ml
cloreto de sódio 0,9% 289
Compatível
injetável Digoxin 50 µg/ml
injetável Cloxacillin sodium 100 mg/ml
Agua para injectaveis 3012
Compatível
injetável Digoxin 250 µg/ml
Nutrição parenteral (com lípidos) 1415
Compatível
injetável Digoxin 250 µg/ml
injetável Ceftolozane / tazobactam 10/5 mg/ml
cloreto de sódio 0,9% 3828
Compatível
injetável Digoxin 250 µg/ml
injetável Ceftolozane / tazobactam 10/5 mg/ml
Glucose 5% 3828
Compatível
injetável Digoxin 250 µg/ml
injetável Ciprofloxacin lactate 2 mg/ml
Glucose 5% 288
Compatível
injetável Digoxin 0.4 µg/ml
Nutrição parenteral (com lípidos) 1338
Compatível
injetável Digoxin 250 µg/ml
injetável Dexmedetomidine 4 µg/ml
cloreto de sódio 0,9% 1712
Compatível
injetável Digoxin 500 µg/ml
injetável Diltiazem hydrochloride 1 & 5 mg/ml
cloreto de sódio 0,9% 198
Compatível
injetável Digoxin
injetável Dimenhydrinate
2087
Mudança de cor após 24 horas Incompatível
injetável Digoxin 4 µg/ml
injetável Dobutamine hydrochloride 1 mg/ml
Glucose 5% 1058
Mudança de cor após 24 horas Incompatível
injetável Digoxin 4 µg/ml
injetável Dobutamine hydrochloride 1 mg/ml
cloreto de sódio 0,9% 1058
Compatível
injetável Digoxin 250 µg/ml
injetável Doripenem 5 mg/ml
cloreto de sódio 0,9% 2262
Compatível
injetável Digoxin 250 µg/ml
injetável Doripenem 5 mg/ml
Glucose 5% 2262
Compatível
injetável Digoxin 250 µg/ml
injetável Famotidine
Glucose 5% 397
Compatível
injetável Digoxin 250 µg/ml
injetável Fenoldopam mesylate 80 µg/ml
cloreto de sódio 0,9% 1803
Compatível
injetável Digoxin 100 µg/ml
injetável Fentanyl citrate 50 µg/ml
Glucose 5% 63
Compatível
injetável Digoxin 25 µg/ml
injetável Flucloxacillin sodium 20 mg/ml
cloreto de sódio 0,9% 1232
Produção de bolhas de gás Incompatível
injetável Digoxin 250 µg/ml
injetável Fluconazole 2 mg/ml
cloreto de sódio 0,9% 496
Compatível
injetável Digoxin 50 µg/ml
Ringer lactato 4603
Produção de bolhas de gás Incompatível
injetável Digoxin 250 µg/ml
injetável Foscarnet sodium 24 mg/ml
nenhum 73
Compatível
injetável Digoxin
Ringer lactato 618
Compatível
injetável Digoxin 250 µg/ml
injetável Fosfomycin 30 mg/ml
Glucose 5% 4055
Compatível
injetável Digoxin 250 µg/ml
injetável Fosfomycin 30 mg/ml
cloreto de sódio 0,9% 4055
Compatível
injetável Digoxin 25 µg/ml
injetável Furosemide 1 mg/ml
cloreto de sódio 0,9% 1232
Compatível
injetável Digoxin 250 µg/ml
injetável Hetastarch 60 mg/ml
solvente específico 1721
Compatível
injetável Digoxin 0,25 µg/ml
injetável Imipenem-Cilastatin / Relebactam 5 mg/ml
Glucose 5% 4433
Compatível
injetável Digoxin 0,25 µg/ml
injetável Imipenem-Cilastatin / Relebactam 5 mg/ml
cloreto de sódio 0,9% 4433
Compatível
injetável Digoxin 250 µg/ml
injetável Isavuconazonium sulfate 1.5 mg/ml
Glucose 5% 3829
Compatível
injetável Digoxin 250 µg/ml
injetável Isavuconazonium sulfate 1.5 mg/ml
cloreto de sódio 0,9% 3829
Compatível
injetável Digoxin 50 µg/ml
injetável Ketamine hydrochloride 50 mg/ml
2109
Precipitação imediata Incompatível
injetável Digoxin 250 µg/ml
injetável Lansoprazole 0.55 mg/ml
cloreto de sódio 0,9% 1625
Compatível
injetável Digoxin 250 µg/ml
injetável Levosimendan 0,025 & 0,05 mg/ml
4571
Compatível
injetável Digoxin 1 µg/ml
injetável Lidocaine hydrochloride 2 mg/ml
Ringer lactato 619
Compatível
injetável Digoxin 1 µg/ml
injetável Lidocaine hydrochloride 2 mg/ml
Glucose 5% 619
Compatível
injetável Digoxin 1 µg/ml
injetável Lidocaine hydrochloride 2 mg/ml
cloreto de sódio 0,9% 619
Compatível
injetável Digoxin 250 µg/ml
injetável Linezolid 2 mg/ml
nenhum 1925
Compatível
injetável Digoxin 250 µg/ml
injetável Meropenem 50 mg/ml
Agua para injectaveis 4319
Compatível
injetável Digoxin 250 µg/ml
injetável Meropenem 1 & 50 mg/ml
cloreto de sódio 0,9% 266
Compatível
injetável Digoxin 100 µg/ml
injetável Midazolam hydrochloride 1 mg/ml
Glucose 5% 176
Compatível
injetável Digoxin 50 & 125 µg/ml
injetável Milrinone lactate 0.1 & 0.35 mg/ml
Glucose 5% 191
Compatível
injetável Digoxin 250 µg/ml
injetável Morphine sulfate 1 mg/ml
Glucose 5% 62
Compatível
injetável Digoxin 50 µg/ml
injetável N-acetylcysteine 200 mg/ml
nenhum 3766
Compatível
injetável Digoxin 50 µg/ml
injetável Naloxone hydrochloride 0.4 mg/ml
nenhum 3408
Precipitação após 4 horas Incompatível
injetável Digoxin
injetável Pantoprazole sodium
2090
Compatível
injetável Digoxin 250 µg/ml
injetável Pethidine hydrochloride 10 mg/ml
Glucose 5% 62
Compatível
injetável Digoxin 250 µg/ml
injetável Plazomicin sulfate 24 mg/ml
cloreto de sódio 0,9% 4145
Compatível
injetável Digoxin 250 µg/ml
injetável Potassium chloride 40 mEq/l
Glucose 5% 730
Compatível
injetável Digoxin 250 µg/ml
injetável Potassium chloride 40 mEq/l
Ringer lactato 730
Compatível
injetável Digoxin 250 µg/ml
injetável Potassium chloride 40 mEq/l
cloreto de sódio 0,9% 730
Compatível
injetável Digoxin 250 µg/ml
injetável Propofol 10 mg/ml
nenhum 300
Compatível
injetável Digoxin 250 µg/ml
injetável Remifentanil hydrochloride 25 & 250 µg/ml
cloreto de sódio 0,9% 59
Compatível
injetável Digoxin 0,25 µg/ml
injetável Sulbactam/durlobactam 15/15 mg/ml
cloreto de sódio 0,9% 4801
Compatível
injetável Digoxin 250 µg/ml
injetável Tacrolimus 1000 µg/ml
cloreto de sódio 0,9% 479
Compatível
injetável Digoxin 250 µg/ml
injetável Tedizolid phosphate 0.8 mg/ml
cloreto de sódio 0,9% 3827
Compatível
injetável Digoxin 250 µg/ml
injetável Telavancin hydrochloride 7.5 mg/ml
Ringer lactato 3254
Compatível
injetável Digoxin 2 µg/ml
injetável Verapamil hydrochloride 0,08 mg/ml
cloreto de sódio 0,9% 706
Compatível
injetável Digoxin
cloreto de sódio 0,9% 618
Instabilidade da emulsão após 1 hora Incompatível
injetável Digoxin 250 µg/ml
injetável Propofol
660
Turvação imediata Incompatível
injetável Digoxin 250 µg/ml
injetável Telavancin hydrochloride 7,5 mg/ml
cloreto de sódio 0,9% 3254
Turvação imediata Incompatível
injetável Digoxin 250 µg/ml
injetável Telavancin hydrochloride 7,5 mg/ml
Glucose 5% 3254

  Mentions Légales