آخر تحديث :
18/03/2026
مقوي القلب   Digoxin  
حقن
الاستقرار في حلول استقرار مخاليط العوامل التي تؤثر على الاستقرار التوافق طريقة التعاطي مراجع pdf
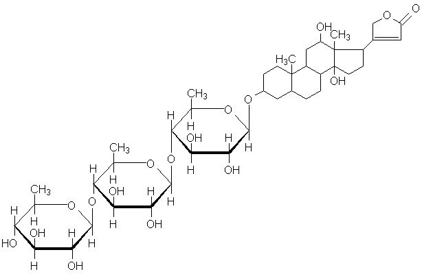
   التركيب الكيميائي  

حجز الاسم التجاري   حجز الاسم التجاري     

تحذير الأسماء التجاريه المختلفه قد تحتوي علي محتوي إضافات مختلفة حسب الدوله و المعمل

Cardixin مصر
Celoxin الهند
Digibind الولايات المتحدة, زيلاندا الجديدة
Digocard الأرجنتين, الإكوادور
Digosin اليابان
Digoxin إيران, الأرجنتين, الإكوادور, الدنمارك, السويد, الولايات المتحدة, بريطانيا العظمي, بولندا, فنلندا, كندا, هنغاريا
Digoxina إسبانيا, الأرجنتين, الإكوادور, المكسيك, فنزويلا
Digoxine سويسرا, فرنسا, يونان
Geoxin الهند
Lanibos العربية السعودية
Lanicor ألمانيا
Lanoxin إيران, إيطاليا, الإمارات العربية المتحدة, البرتغال, العربية السعودية, النرويج, الولايات المتحدة, ايرلندا, بريطانيا العظمي, بلجيكا, تشيلي, زيلاندا الجديدة, لوكسمبورغ, ماليزيا, مصر, هولندا
Loxinan المكسيك
التوافق   حقن   التوافق : Digoxin              
This screen indicates the compatibilities or incompatibilities with, in this case, the type of incompatibility (precipitation, color change, modification of an emulsion, etc.). The compatibilities shown here are mostly physical only, with the chemical stability of each molecule rarely being assessed. The evaluation of these mixtures was studied to consider the possibility of Y-site administration to the patient. These data cannot be used for making mixtures in advance in bags or syringes. This type of information is available in the screen "Stability in mixture ».
مركب مذيب مراجع
هطول فوري غير متوافق
حقن Digoxin 250 µg/ml
حقن Amiodarone hydrochloride 6 mg/ml
الجلوكوز %5 1611
kompatibel
حقن Digoxin 250 µg/ml
حقن Amoxicillin sodium / clavulanic acid 100/10 mg/ml
3824
هطول فوري غير متوافق
حقن Digoxin 250 µg/ml
حقن Amphotericin B cholesteryl sulfate complex 0.83 mg/ml
الجلوكوز %5 921
kompatibel
حقن Digoxin 250 µg/ml
حقن Anidulafungin 0.5 mg/ml
الجلوكوز %5 1982
kompatibel
حقن Digoxin 250 µg/ml
حقن Caffeine 10 mg/ml
لا شيء 3964
kompatibel
حقن Digoxin
الجلوكوز %5 618
kompatibel
حقن Digoxin 250 µg/ml
حقن Bivalirudin 5 mg/ml
الجلوكوز %5 1713
kompatibel
حقن Digoxin 2 µg/ml
حقن Bretylium tosilate 1 mg/ml
كلوريد الصوديوم 0.9% 1193
kompatibel
حقن Digoxin 2 µg/ml
حقن Bretylium tosilate 1 mg/ml
الجلوكوز %5 1193
kompatibel
حقن Digoxin 250 µg/ml
حقن Cefiderocol sulfate tosylate 20 mg/mL
كلوريد الصوديوم 0.9% 4528
kompatibel
حقن Digoxin 250 µg/ml
حقن Cefiderocol sulfate tosylate 20 mg/mL
الجلوكوز %5 4528
kompatibel
حقن Digoxin 250 µg/ml
حقن Cefmetazole sodium 100 mg/ml
حقن المياه لل 93
kompatibel
حقن Digoxin 250 µg/ml
حقن Ceftaroline fosamil 2,22 mg/ml
الجلوكوز %5 3249
kompatibel
حقن Digoxin 250 µg/ml
حقن Ceftaroline fosamil 2,22 mg/ml
كلوريد الصوديوم 0.9% 3249
kompatibel
حقن Digoxin 250 µg/ml
حقن Ceftaroline fosamil 2,22 mg/ml
محلول رينجر  اللاكتات 3249
kompatibel
حقن Digoxin 250 µg/ml
حقن Ceftobiprole medocaril sodium 2 mg/ml
محلول رينجر  اللاكتات 2269
kompatibel
حقن Digoxin 250 µg/ml
حقن Ceftobiprole medocaril sodium 2 mg/ml
كلوريد الصوديوم 0.9% 2269
kompatibel
حقن Digoxin 250 µg/ml
حقن Ceftobiprole medocaril sodium 2 mg/ml
الجلوكوز %5 2269
kompatibel
حقن Digoxin 250 µg/ml
حقن Ciprofloxacin lactate 2 mg/ml
كلوريد الصوديوم 0.9% 288
kompatibel
حقن Digoxin 250 µg/ml
حقن Cisatracurium besylate 0.1 >> 5 mg/ml
الجلوكوز %5 299
kompatibel
حقن Digoxin 250 µg/ml
 التغذية الوريدية (خالية من الدهن) 301
kompatibel
حقن Digoxin 2.5 µg/ml
حقن Cimetidine hydrochloride 3 mg/ml
الجلوكوز %5 1201
kompatibel
حقن Digoxin 250 µg/ml
حقن Ciprofloxacin lactate 2 mg/ml
كلوريد الصوديوم 0.9% 289
kompatibel
حقن Digoxin 50 µg/ml
حقن Cloxacillin sodium 100 mg/ml
حقن المياه لل 3012
kompatibel
حقن Digoxin 250 µg/ml
التغذية الوريدية (مع الدهون) 1415
kompatibel
حقن Digoxin 250 µg/ml
حقن Ceftolozane / tazobactam 10/5 mg/ml
كلوريد الصوديوم 0.9% 3828
kompatibel
حقن Digoxin 250 µg/ml
حقن Ceftolozane / tazobactam 10/5 mg/ml
الجلوكوز %5 3828
kompatibel
حقن Digoxin 250 µg/ml
حقن Ciprofloxacin lactate 2 mg/ml
الجلوكوز %5 288
kompatibel
حقن Digoxin 0.4 µg/ml
التغذية الوريدية (مع الدهون) 1338
kompatibel
حقن Digoxin 250 µg/ml
حقن Dexmedetomidine 4 µg/ml
كلوريد الصوديوم 0.9% 1712
kompatibel
حقن Digoxin 500 µg/ml
حقن Diltiazem hydrochloride 1 & 5 mg/ml
كلوريد الصوديوم 0.9% 198
kompatibel
حقن Digoxin
حقن Dimenhydrinate
2087
تغير اللون بعد 24 ساعات غير متوافق
حقن Digoxin 4 µg/ml
حقن Dobutamine hydrochloride 1 mg/ml
الجلوكوز %5 1058
تغير اللون بعد 24 ساعات غير متوافق
حقن Digoxin 4 µg/ml
حقن Dobutamine hydrochloride 1 mg/ml
كلوريد الصوديوم 0.9% 1058
kompatibel
حقن Digoxin 250 µg/ml
حقن Doripenem 5 mg/ml
كلوريد الصوديوم 0.9% 2262
kompatibel
حقن Digoxin 250 µg/ml
حقن Doripenem 5 mg/ml
الجلوكوز %5 2262
kompatibel
حقن Digoxin 250 µg/ml
حقن Famotidine
الجلوكوز %5 397
kompatibel
حقن Digoxin 250 µg/ml
حقن Fenoldopam mesylate 80 µg/ml
كلوريد الصوديوم 0.9% 1803
kompatibel
حقن Digoxin 100 µg/ml
حقن Fentanyl citrate 50 µg/ml
الجلوكوز %5 63
kompatibel
حقن Digoxin 25 µg/ml
حقن Flucloxacillin sodium 20 mg/ml
كلوريد الصوديوم 0.9% 1232
إنتاج فقاعات الغاز غير متوافق
حقن Digoxin 250 µg/ml
حقن Fluconazole 2 mg/ml
كلوريد الصوديوم 0.9% 496
kompatibel
حقن Digoxin 50 µg/ml
محلول رينجر  اللاكتات 4603
إنتاج فقاعات الغاز غير متوافق
حقن Digoxin 250 µg/ml
حقن Foscarnet sodium 24 mg/ml
لا شيء 73
kompatibel
حقن Digoxin
محلول رينجر  اللاكتات 618
kompatibel
حقن Digoxin 250 µg/ml
حقن Fosfomycin 30 mg/ml
الجلوكوز %5 4055
kompatibel
حقن Digoxin 250 µg/ml
حقن Fosfomycin 30 mg/ml
كلوريد الصوديوم 0.9% 4055
kompatibel
حقن Digoxin 25 µg/ml
حقن Furosemide 1 mg/ml
كلوريد الصوديوم 0.9% 1232
kompatibel
حقن Digoxin 250 µg/ml
حقن Hetastarch 60 mg/ml
مذيب معين 1721
kompatibel
حقن Digoxin 0,25 µg/ml
حقن Imipenem-Cilastatin / Relebactam 5 mg/ml
الجلوكوز %5 4433
kompatibel
حقن Digoxin 0,25 µg/ml
حقن Imipenem-Cilastatin / Relebactam 5 mg/ml
كلوريد الصوديوم 0.9% 4433
kompatibel
حقن Digoxin 250 µg/ml
حقن Isavuconazonium sulfate 1.5 mg/ml
الجلوكوز %5 3829
kompatibel
حقن Digoxin 250 µg/ml
حقن Isavuconazonium sulfate 1.5 mg/ml
كلوريد الصوديوم 0.9% 3829
kompatibel
حقن Digoxin 50 µg/ml
حقن Ketamine hydrochloride 50 mg/ml
2109
هطول فوري غير متوافق
حقن Digoxin 250 µg/ml
حقن Lansoprazole 0.55 mg/ml
كلوريد الصوديوم 0.9% 1625
kompatibel
حقن Digoxin 250 µg/ml
حقن Levosimendan 0,025 & 0,05 mg/ml
4571
kompatibel
حقن Digoxin 1 µg/ml
حقن Lidocaine hydrochloride 2 mg/ml
محلول رينجر  اللاكتات 619
kompatibel
حقن Digoxin 1 µg/ml
حقن Lidocaine hydrochloride 2 mg/ml
الجلوكوز %5 619
kompatibel
حقن Digoxin 1 µg/ml
حقن Lidocaine hydrochloride 2 mg/ml
كلوريد الصوديوم 0.9% 619
kompatibel
حقن Digoxin 250 µg/ml
حقن Linezolid 2 mg/ml
لا شيء 1925
kompatibel
حقن Digoxin 250 µg/ml
حقن Meropenem 50 mg/ml
حقن المياه لل 4319
kompatibel
حقن Digoxin 250 µg/ml
حقن Meropenem 1 & 50 mg/ml
كلوريد الصوديوم 0.9% 266
kompatibel
حقن Digoxin 100 µg/ml
حقن Midazolam hydrochloride 1 mg/ml
الجلوكوز %5 176
kompatibel
حقن Digoxin 50 & 125 µg/ml
حقن Milrinone lactate 0.1 & 0.35 mg/ml
الجلوكوز %5 191
kompatibel
حقن Digoxin 250 µg/ml
حقن Morphine sulfate 1 mg/ml
الجلوكوز %5 62
kompatibel
حقن Digoxin 50 µg/ml
حقن N-acetylcysteine 200 mg/ml
لا شيء 3766
kompatibel
حقن Digoxin 50 µg/ml
حقن Naloxone hydrochloride 0.4 mg/ml
لا شيء 3408
هطول الأمطار بعد 4 ساعات غير متوافق
حقن Digoxin
حقن Pantoprazole sodium
2090
kompatibel
حقن Digoxin 250 µg/ml
حقن Pethidine hydrochloride 10 mg/ml
الجلوكوز %5 62
kompatibel
حقن Digoxin 250 µg/ml
حقن Plazomicin sulfate 24 mg/ml
كلوريد الصوديوم 0.9% 4145
kompatibel
حقن Digoxin 250 µg/ml
حقن Potassium chloride 40 mEq/l
الجلوكوز %5 730
kompatibel
حقن Digoxin 250 µg/ml
حقن Potassium chloride 40 mEq/l
محلول رينجر  اللاكتات 730
kompatibel
حقن Digoxin 250 µg/ml
حقن Potassium chloride 40 mEq/l
كلوريد الصوديوم 0.9% 730
kompatibel
حقن Digoxin 250 µg/ml
حقن Propofol 10 mg/ml
لا شيء 300
kompatibel
حقن Digoxin 250 µg/ml
حقن Remifentanil hydrochloride 25 & 250 µg/ml
كلوريد الصوديوم 0.9% 59
kompatibel
حقن Digoxin 0,25 µg/ml
حقن Sulbactam/durlobactam 15/15 mg/ml
كلوريد الصوديوم 0.9% 4801
kompatibel
حقن Digoxin 250 µg/ml
حقن Tacrolimus 1000 µg/ml
كلوريد الصوديوم 0.9% 479
kompatibel
حقن Digoxin 250 µg/ml
حقن Tedizolid phosphate 0.8 mg/ml
كلوريد الصوديوم 0.9% 3827
kompatibel
حقن Digoxin 250 µg/ml
حقن Telavancin hydrochloride 7.5 mg/ml
محلول رينجر  اللاكتات 3254
kompatibel
حقن Digoxin 2 µg/ml
حقن Verapamil hydrochloride 0,08 mg/ml
كلوريد الصوديوم 0.9% 706
kompatibel
حقن Digoxin
كلوريد الصوديوم 0.9% 618
عدم استقرار المستحلب بعد ساعة واحدة غير متوافق
حقن Digoxin 250 µg/ml
حقن Propofol
660
التعكر الفوري غير متوافق
حقن Digoxin 250 µg/ml
حقن Telavancin hydrochloride 7,5 mg/ml
كلوريد الصوديوم 0.9% 3254
التعكر الفوري غير متوافق
حقن Digoxin 250 µg/ml
حقن Telavancin hydrochloride 7,5 mg/ml
الجلوكوز %5 3254

  Mentions Légales