Останнє оновлення :
18/03/2026
Кардіотонічну   Digoxin  
ін'єкція
Стійкість в розчинах Стійкість сумішей Фактори, що впливають на стабільність Сумісність Шлях введення Список літератури pdf
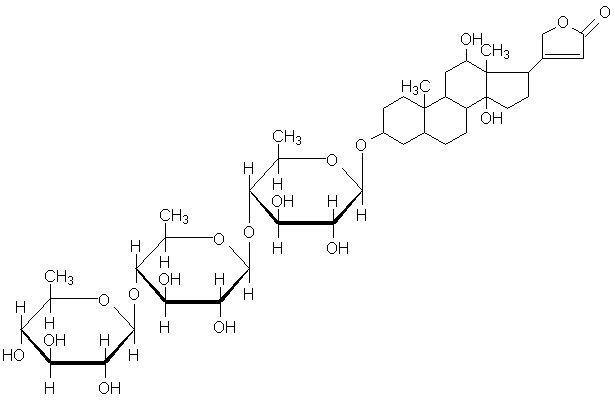
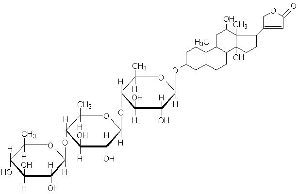
   Хімічна структура  

Торгова назва   Торгова назва     

Торгові назви є орієнтовними, а склад допоміжних речовин може бути різним залежно від країни та виробника

Cardixin Єгипет
Celoxin Індія
Digibind Нова Зеландія, Сполучені Штати Америки
Digocard Аргентина, Еквадор
Digosin Японія
Digoxin Іран, Аргентина, Великобританія, Данія, Еквадор, Канада, Польща, Сполучені Штати Америки, Угорщина, Фінляндія, Швеція
Digoxina Іспанія, Аргентина, Венесуела, Еквадор, Мексика
Digoxine Греція, Франція, Швейцарія
Geoxin Індія
Lanibos Саудівська Аравія
Lanicor Німеччина
Lanoxin Єгипет, Іран, Ірландія, Італія, Бельгія, Великобританія, Люксембург, Малайзія, Нідерланди, Нова Зеландія, Норвегія, Об'єднані Арабські Емірати, Португалія, Саудівська Аравія, Сполучені Штати Америки, Чилі
Loxinan Мексика
Сумісність   ін'єкція   Сумісність : Digoxin              
explication_incompatibilite_molecules
З'єднання Розчинник Список літератури
Миттєві опади Несумісні
ін'єкція Digoxin 250 µg/ml
ін'єкція Amiodarone hydrochloride 6 mg/ml
Глюкоза 5% 1611
сумісний
ін'єкція Digoxin 250 µg/ml
ін'єкція Amoxicillin sodium / clavulanic acid 100/10 mg/ml
3824
Миттєві опади Несумісні
ін'єкція Digoxin 250 µg/ml
ін'єкція Amphotericin B cholesteryl sulfate complex 0.83 mg/ml
Глюкоза 5% 921
сумісний
ін'єкція Digoxin 250 µg/ml
ін'єкція Anidulafungin 0.5 mg/ml
Глюкоза 5% 1982
сумісний
ін'єкція Digoxin 250 µg/ml
ін'єкція Caffeine 10 mg/ml
Жодного 3964
сумісний
ін'єкція Digoxin
Глюкоза 5% 618
сумісний
ін'єкція Digoxin 250 µg/ml
ін'єкція Bivalirudin 5 mg/ml
Глюкоза 5% 1713
сумісний
ін'єкція Digoxin 2 µg/ml
ін'єкція Bretylium tosilate 1 mg/ml
Натрію хлорид 0,9% 1193
сумісний
ін'єкція Digoxin 2 µg/ml
ін'єкція Bretylium tosilate 1 mg/ml
Глюкоза 5% 1193
сумісний
ін'єкція Digoxin 250 µg/ml
ін'єкція Cefiderocol sulfate tosylate 20 mg/mL
Натрію хлорид 0,9% 4528
сумісний
ін'єкція Digoxin 250 µg/ml
ін'єкція Cefiderocol sulfate tosylate 20 mg/mL
Глюкоза 5% 4528
сумісний
ін'єкція Digoxin 250 µg/ml
ін'єкція Cefmetazole sodium 100 mg/ml
Вода для ін'єкцій 93
сумісний
ін'єкція Digoxin 250 µg/ml
ін'єкція Ceftaroline fosamil 2,22 mg/ml
Глюкоза 5% 3249
сумісний
ін'єкція Digoxin 250 µg/ml
ін'єкція Ceftaroline fosamil 2,22 mg/ml
Натрію хлорид 0,9% 3249
сумісний
ін'єкція Digoxin 250 µg/ml
ін'єкція Ceftaroline fosamil 2,22 mg/ml
Розчин лактату Рінгера 3249
сумісний
ін'єкція Digoxin 250 µg/ml
ін'єкція Ceftobiprole medocaril sodium 2 mg/ml
Розчин лактату Рінгера 2269
сумісний
ін'єкція Digoxin 250 µg/ml
ін'єкція Ceftobiprole medocaril sodium 2 mg/ml
Натрію хлорид 0,9% 2269
сумісний
ін'єкція Digoxin 250 µg/ml
ін'єкція Ceftobiprole medocaril sodium 2 mg/ml
Глюкоза 5% 2269
сумісний
ін'єкція Digoxin 250 µg/ml
ін'єкція Ciprofloxacin lactate 2 mg/ml
Натрію хлорид 0,9% 288
сумісний
ін'єкція Digoxin 250 µg/ml
ін'єкція Cisatracurium besylate 0.1 >> 5 mg/ml
Глюкоза 5% 299
сумісний
ін'єкція Digoxin 250 µg/ml
Парентеральне харчування (бінарна суміш) 301
сумісний
ін'єкція Digoxin 2.5 µg/ml
ін'єкція Cimetidine hydrochloride 3 mg/ml
Глюкоза 5% 1201
сумісний
ін'єкція Digoxin 250 µg/ml
ін'єкція Ciprofloxacin lactate 2 mg/ml
Натрію хлорид 0,9% 289
сумісний
ін'єкція Digoxin 50 µg/ml
ін'єкція Cloxacillin sodium 100 mg/ml
Вода для ін'єкцій 3012
сумісний
ін'єкція Digoxin 250 µg/ml
Парентеральне харчування (ліпідами) 1415
сумісний
ін'єкція Digoxin 250 µg/ml
ін'єкція Ceftolozane / tazobactam 10/5 mg/ml
Натрію хлорид 0,9% 3828
сумісний
ін'єкція Digoxin 250 µg/ml
ін'єкція Ceftolozane / tazobactam 10/5 mg/ml
Глюкоза 5% 3828
сумісний
ін'єкція Digoxin 250 µg/ml
ін'єкція Ciprofloxacin lactate 2 mg/ml
Глюкоза 5% 288
сумісний
ін'єкція Digoxin 0.4 µg/ml
Парентеральне харчування (ліпідами) 1338
сумісний
ін'єкція Digoxin 250 µg/ml
ін'єкція Dexmedetomidine 4 µg/ml
Натрію хлорид 0,9% 1712
сумісний
ін'єкція Digoxin 500 µg/ml
ін'єкція Diltiazem hydrochloride 1 & 5 mg/ml
Натрію хлорид 0,9% 198
сумісний
ін'єкція Digoxin
ін'єкція Dimenhydrinate
2087
Зміна кольору через 24 годин Несумісні
ін'єкція Digoxin 4 µg/ml
ін'єкція Dobutamine hydrochloride 1 mg/ml
Глюкоза 5% 1058
Зміна кольору через 24 годин Несумісні
ін'єкція Digoxin 4 µg/ml
ін'єкція Dobutamine hydrochloride 1 mg/ml
Натрію хлорид 0,9% 1058
сумісний
ін'єкція Digoxin 250 µg/ml
ін'єкція Doripenem 5 mg/ml
Натрію хлорид 0,9% 2262
сумісний
ін'єкція Digoxin 250 µg/ml
ін'єкція Doripenem 5 mg/ml
Глюкоза 5% 2262
сумісний
ін'єкція Digoxin 250 µg/ml
ін'єкція Famotidine
Глюкоза 5% 397
сумісний
ін'єкція Digoxin 250 µg/ml
ін'єкція Fenoldopam mesylate 80 µg/ml
Натрію хлорид 0,9% 1803
сумісний
ін'єкція Digoxin 100 µg/ml
ін'єкція Fentanyl citrate 50 µg/ml
Глюкоза 5% 63
сумісний
ін'єкція Digoxin 25 µg/ml
ін'єкція Flucloxacillin sodium 20 mg/ml
Натрію хлорид 0,9% 1232
Виробництво бульбашок газу Несумісні
ін'єкція Digoxin 250 µg/ml
ін'єкція Fluconazole 2 mg/ml
Натрію хлорид 0,9% 496
сумісний
ін'єкція Digoxin 50 µg/ml
Розчин лактату Рінгера 4603
Виробництво бульбашок газу Несумісні
ін'єкція Digoxin 250 µg/ml
ін'єкція Foscarnet sodium 24 mg/ml
Жодного 73
сумісний
ін'єкція Digoxin
Розчин лактату Рінгера 618
сумісний
ін'єкція Digoxin 250 µg/ml
ін'єкція Fosfomycin 30 mg/ml
Глюкоза 5% 4055
сумісний
ін'єкція Digoxin 250 µg/ml
ін'єкція Fosfomycin 30 mg/ml
Натрію хлорид 0,9% 4055
сумісний
ін'єкція Digoxin 25 µg/ml
ін'єкція Furosemide 1 mg/ml
Натрію хлорид 0,9% 1232
сумісний
ін'єкція Digoxin 250 µg/ml
ін'єкція Hetastarch 60 mg/ml
специфічний розчинник 1721
сумісний
ін'єкція Digoxin 0,25 µg/ml
ін'єкція Imipenem-Cilastatin / Relebactam 5 mg/ml
Глюкоза 5% 4433
сумісний
ін'єкція Digoxin 0,25 µg/ml
ін'єкція Imipenem-Cilastatin / Relebactam 5 mg/ml
Натрію хлорид 0,9% 4433
сумісний
ін'єкція Digoxin 250 µg/ml
ін'єкція Isavuconazonium sulfate 1.5 mg/ml
Глюкоза 5% 3829
сумісний
ін'єкція Digoxin 250 µg/ml
ін'єкція Isavuconazonium sulfate 1.5 mg/ml
Натрію хлорид 0,9% 3829
сумісний
ін'єкція Digoxin 50 µg/ml
ін'єкція Ketamine hydrochloride 50 mg/ml
2109
Миттєві опади Несумісні
ін'єкція Digoxin 250 µg/ml
ін'єкція Lansoprazole 0.55 mg/ml
Натрію хлорид 0,9% 1625
сумісний
ін'єкція Digoxin 250 µg/ml
ін'єкція Levosimendan 0,025 & 0,05 mg/ml
4571
сумісний
ін'єкція Digoxin 1 µg/ml
ін'єкція Lidocaine hydrochloride 2 mg/ml
Розчин лактату Рінгера 619
сумісний
ін'єкція Digoxin 1 µg/ml
ін'єкція Lidocaine hydrochloride 2 mg/ml
Глюкоза 5% 619
сумісний
ін'єкція Digoxin 1 µg/ml
ін'єкція Lidocaine hydrochloride 2 mg/ml
Натрію хлорид 0,9% 619
сумісний
ін'єкція Digoxin 250 µg/ml
ін'єкція Linezolid 2 mg/ml
Жодного 1925
сумісний
ін'єкція Digoxin 250 µg/ml
ін'єкція Meropenem 50 mg/ml
Вода для ін'єкцій 4319
сумісний
ін'єкція Digoxin 250 µg/ml
ін'єкція Meropenem 1 & 50 mg/ml
Натрію хлорид 0,9% 266
сумісний
ін'єкція Digoxin 100 µg/ml
ін'єкція Midazolam hydrochloride 1 mg/ml
Глюкоза 5% 176
сумісний
ін'єкція Digoxin 50 & 125 µg/ml
ін'єкція Milrinone lactate 0.1 & 0.35 mg/ml
Глюкоза 5% 191
сумісний
ін'єкція Digoxin 250 µg/ml
ін'єкція Morphine sulfate 1 mg/ml
Глюкоза 5% 62
сумісний
ін'єкція Digoxin 50 µg/ml
ін'єкція N-acetylcysteine 200 mg/ml
Жодного 3766
сумісний
ін'єкція Digoxin 50 µg/ml
ін'єкція Naloxone hydrochloride 0.4 mg/ml
Жодного 3408
Опади через 4 год Несумісні
ін'єкція Digoxin
ін'єкція Pantoprazole sodium
2090
сумісний
ін'єкція Digoxin 250 µg/ml
ін'єкція Pethidine hydrochloride 10 mg/ml
Глюкоза 5% 62
сумісний
ін'єкція Digoxin 250 µg/ml
ін'єкція Plazomicin sulfate 24 mg/ml
Натрію хлорид 0,9% 4145
сумісний
ін'єкція Digoxin 250 µg/ml
ін'єкція Potassium chloride 40 mEq/l
Глюкоза 5% 730
сумісний
ін'єкція Digoxin 250 µg/ml
ін'єкція Potassium chloride 40 mEq/l
Розчин лактату Рінгера 730
сумісний
ін'єкція Digoxin 250 µg/ml
ін'єкція Potassium chloride 40 mEq/l
Натрію хлорид 0,9% 730
сумісний
ін'єкція Digoxin 250 µg/ml
ін'єкція Propofol 10 mg/ml
Жодного 300
сумісний
ін'єкція Digoxin 250 µg/ml
ін'єкція Remifentanil hydrochloride 25 & 250 µg/ml
Натрію хлорид 0,9% 59
сумісний
ін'єкція Digoxin 0,25 µg/ml
ін'єкція Sulbactam/durlobactam 15/15 mg/ml
Натрію хлорид 0,9% 4801
сумісний
ін'єкція Digoxin 250 µg/ml
ін'єкція Tacrolimus 1000 µg/ml
Натрію хлорид 0,9% 479
сумісний
ін'єкція Digoxin 250 µg/ml
ін'єкція Tedizolid phosphate 0.8 mg/ml
Натрію хлорид 0,9% 3827
сумісний
ін'єкція Digoxin 250 µg/ml
ін'єкція Telavancin hydrochloride 7.5 mg/ml
Розчин лактату Рінгера 3254
сумісний
ін'єкція Digoxin 2 µg/ml
ін'єкція Verapamil hydrochloride 0,08 mg/ml
Натрію хлорид 0,9% 706
сумісний
ін'єкція Digoxin
Натрію хлорид 0,9% 618
Нестійкість емульсії через 1 год Несумісні
ін'єкція Digoxin 250 µg/ml
ін'єкція Propofol
660
Негайне помутніння Несумісні
ін'єкція Digoxin 250 µg/ml
ін'єкція Telavancin hydrochloride 7,5 mg/ml
Натрію хлорид 0,9% 3254
Негайне помутніння Несумісні
ін'єкція Digoxin 250 µg/ml
ін'єкція Telavancin hydrochloride 7,5 mg/ml
Глюкоза 5% 3254

  Mentions Légales