Pēdējā atjaunošana :
18/03/2026
Kardiotonisks līdzeklis   Digoxin  
Injekcija
Šķīduma stabilitāte Maisījuma stabilitāte Stabilitāti ietekmējoši faktori Saderība Levadīšanas veids Literatūras saraksts pdf
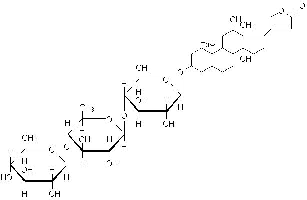
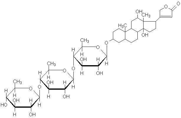
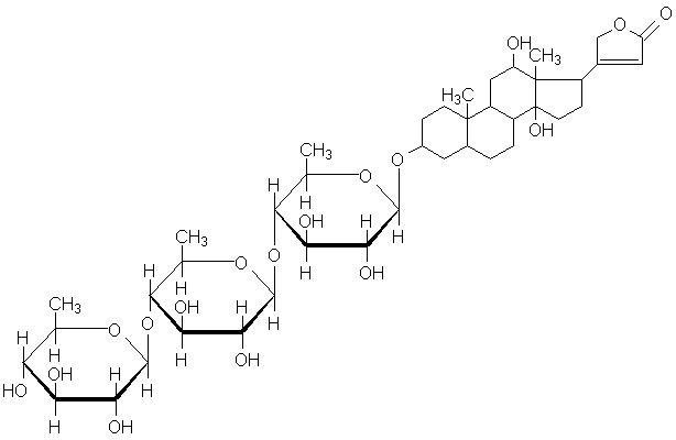
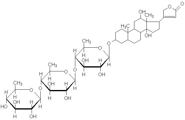
   Ķīmiskā uzbūve   

Oriģinālais nosaukums   Oriģinālais nosaukums     

Tirdzniecības nosaukumi ir apzīmējoši un palīgvielas var atšķirties dažādām valstīm un laboratorijām

Cardixin Ēģipte
Celoxin Indija
Digibind Amerikas Savienotās Valstis, Jaunzēlande
Digocard Argentīna, Ekvadora
Digosin Japāna
Digoxin Amerikas Savienotās Valstis, Argentīna, Dānija, Ekvadora, Irāna, Kanāda, Lielbritānija, Polija, Somija, Ungārija, Zviedrija
Digoxina Argentīna, Ekvadora, Meksika, Spānija, Venecuēla
Digoxine Francija, Grieķija, Šveice
Geoxin Indija
Lanibos Saūda Arābija
Lanicor Vācija
Lanoxin Amerikas Savienotās Valstis, Apvienotie Arābu Emirāti, Beļģija, Čīle, Ēģipte, Holande, Irāna, Īrija, Itālija, Jaunzēlande, Lielbritānija, Luksemburga, Malaizija, Norvēģija, Portugāle, Saūda Arābija
Loxinan Meksika
Saderība   Injekcija   Saderība : Digoxin              
Šī tabula parāda zāļu saderību vai nesaderību, pēc iespējas arī nesaderības tipu (precipitācija, krāsas maiņa, emulsijas sadalīšanās utt). Parādītas šeit saderības ir pārsvarā tikai fizikālās, pēc iespējas tiek parādīta ķīmiskā stabilitāte katrai molekulai. Šo maisījumu analīze tikai veikta, lai izprastu iespējamību ievadīt zāles Y-savienojuma vietā sistēmā pacientam. Šie dati nevar tikt izmantoti, lai pagatavot zāļu maisījumus vēlākai lietošanai maisos vai šļircēs. Šī informācija ir pieejama sadaļā "Maisījuma stabilitāte".
Savienojums Šķīdinātājs Literatūras saraksts
Tūlītēji nokrišņi Nesavienojams
Injekcija Digoxin 250 µg/ml
Injekcija Amiodarone hydrochloride 6 mg/ml
5% glikoze 1611
Savietojams
Injekcija Digoxin 250 µg/ml
Injekcija Amoxicillin sodium / clavulanic acid 100/10 mg/ml
3824
Tūlītēji nokrišņi Nesavienojams
Injekcija Digoxin 250 µg/ml
Injekcija Amphotericin B cholesteryl sulfate complex 0.83 mg/ml
5% glikoze 921
Savietojams
Injekcija Digoxin 250 µg/ml
Injekcija Anidulafungin 0.5 mg/ml
5% glikoze 1982
Savietojams
Injekcija Digoxin 250 µg/ml
Injekcija Caffeine 10 mg/ml
Nekāds 3964
Savietojams
Injekcija Digoxin
5% glikoze 618
Savietojams
Injekcija Digoxin 250 µg/ml
Injekcija Bivalirudin 5 mg/ml
5% glikoze 1713
Savietojams
Injekcija Digoxin 2 µg/ml
Injekcija Bretylium tosilate 1 mg/ml
Nātrija hlorīds 0.9% 1193
Savietojams
Injekcija Digoxin 2 µg/ml
Injekcija Bretylium tosilate 1 mg/ml
5% glikoze 1193
Savietojams
Injekcija Digoxin 250 µg/ml
Injekcija Cefiderocol sulfate tosylate 20 mg/mL
Nātrija hlorīds 0.9% 4528
Savietojams
Injekcija Digoxin 250 µg/ml
Injekcija Cefiderocol sulfate tosylate 20 mg/mL
5% glikoze 4528
Savietojams
Injekcija Digoxin 250 µg/ml
Injekcija Cefmetazole sodium 100 mg/ml
Ūdens injekcijām 93
Savietojams
Injekcija Digoxin 250 µg/ml
Injekcija Ceftaroline fosamil 2,22 mg/ml
5% glikoze 3249
Savietojams
Injekcija Digoxin 250 µg/ml
Injekcija Ceftaroline fosamil 2,22 mg/ml
Nātrija hlorīds 0.9% 3249
Savietojams
Injekcija Digoxin 250 µg/ml
Injekcija Ceftaroline fosamil 2,22 mg/ml
Ringera laktāta šķīdums 3249
Savietojams
Injekcija Digoxin 250 µg/ml
Injekcija Ceftobiprole medocaril sodium 2 mg/ml
Ringera laktāta šķīdums 2269
Savietojams
Injekcija Digoxin 250 µg/ml
Injekcija Ceftobiprole medocaril sodium 2 mg/ml
Nātrija hlorīds 0.9% 2269
Savietojams
Injekcija Digoxin 250 µg/ml
Injekcija Ceftobiprole medocaril sodium 2 mg/ml
5% glikoze 2269
Savietojams
Injekcija Digoxin 250 µg/ml
Injekcija Ciprofloxacin lactate 2 mg/ml
Nātrija hlorīds 0.9% 288
Savietojams
Injekcija Digoxin 250 µg/ml
Injekcija Cisatracurium besylate 0.1 >> 5 mg/ml
5% glikoze 299
Savietojams
Injekcija Digoxin 250 µg/ml
Parenterāla barošana (lipīdu-free) 301
Savietojams
Injekcija Digoxin 2.5 µg/ml
Injekcija Cimetidine hydrochloride 3 mg/ml
5% glikoze 1201
Savietojams
Injekcija Digoxin 250 µg/ml
Injekcija Ciprofloxacin lactate 2 mg/ml
Nātrija hlorīds 0.9% 289
Savietojams
Injekcija Digoxin 50 µg/ml
Injekcija Cloxacillin sodium 100 mg/ml
Ūdens injekcijām 3012
Savietojams
Injekcija Digoxin 250 µg/ml
Parenterāla barošana (ar lipīdiem) 1415
Savietojams
Injekcija Digoxin 250 µg/ml
Injekcija Ceftolozane / tazobactam 10/5 mg/ml
Nātrija hlorīds 0.9% 3828
Savietojams
Injekcija Digoxin 250 µg/ml
Injekcija Ceftolozane / tazobactam 10/5 mg/ml
5% glikoze 3828
Savietojams
Injekcija Digoxin 250 µg/ml
Injekcija Ciprofloxacin lactate 2 mg/ml
5% glikoze 288
Savietojams
Injekcija Digoxin 0.4 µg/ml
Parenterāla barošana (ar lipīdiem) 1338
Savietojams
Injekcija Digoxin 250 µg/ml
Injekcija Dexmedetomidine 4 µg/ml
Nātrija hlorīds 0.9% 1712
Savietojams
Injekcija Digoxin 500 µg/ml
Injekcija Diltiazem hydrochloride 1 & 5 mg/ml
Nātrija hlorīds 0.9% 198
Savietojams
Injekcija Digoxin
Injekcija Dimenhydrinate
2087
Krāsas maiņa pēc 24 stundām Nesavienojams
Injekcija Digoxin 4 µg/ml
Injekcija Dobutamine hydrochloride 1 mg/ml
5% glikoze 1058
Krāsas maiņa pēc 24 stundām Nesavienojams
Injekcija Digoxin 4 µg/ml
Injekcija Dobutamine hydrochloride 1 mg/ml
Nātrija hlorīds 0.9% 1058
Savietojams
Injekcija Digoxin 250 µg/ml
Injekcija Doripenem 5 mg/ml
Nātrija hlorīds 0.9% 2262
Savietojams
Injekcija Digoxin 250 µg/ml
Injekcija Doripenem 5 mg/ml
5% glikoze 2262
Savietojams
Injekcija Digoxin 250 µg/ml
Injekcija Famotidine
5% glikoze 397
Savietojams
Injekcija Digoxin 250 µg/ml
Injekcija Fenoldopam mesylate 80 µg/ml
Nātrija hlorīds 0.9% 1803
Savietojams
Injekcija Digoxin 100 µg/ml
Injekcija Fentanyl citrate 50 µg/ml
5% glikoze 63
Savietojams
Injekcija Digoxin 25 µg/ml
Injekcija Flucloxacillin sodium 20 mg/ml
Nātrija hlorīds 0.9% 1232
Gāzes burbuļu veidošanās Nesavienojams
Injekcija Digoxin 250 µg/ml
Injekcija Fluconazole 2 mg/ml
Nātrija hlorīds 0.9% 496
Savietojams
Injekcija Digoxin 50 µg/ml
Ringera laktāta šķīdums 4603
Gāzes burbuļu veidošanās Nesavienojams
Injekcija Digoxin 250 µg/ml
Injekcija Foscarnet sodium 24 mg/ml
Nekāds 73
Savietojams
Injekcija Digoxin
Ringera laktāta šķīdums 618
Savietojams
Injekcija Digoxin 250 µg/ml
Injekcija Fosfomycin 30 mg/ml
5% glikoze 4055
Savietojams
Injekcija Digoxin 250 µg/ml
Injekcija Fosfomycin 30 mg/ml
Nātrija hlorīds 0.9% 4055
Savietojams
Injekcija Digoxin 25 µg/ml
Injekcija Furosemide 1 mg/ml
Nātrija hlorīds 0.9% 1232
Savietojams
Injekcija Digoxin 250 µg/ml
Injekcija Hetastarch 60 mg/ml
īpašu šķīdinātāju 1721
Savietojams
Injekcija Digoxin 0,25 µg/ml
Injekcija Imipenem-Cilastatin / Relebactam 5 mg/ml
5% glikoze 4433
Savietojams
Injekcija Digoxin 0,25 µg/ml
Injekcija Imipenem-Cilastatin / Relebactam 5 mg/ml
Nātrija hlorīds 0.9% 4433
Savietojams
Injekcija Digoxin 250 µg/ml
Injekcija Isavuconazonium sulfate 1.5 mg/ml
5% glikoze 3829
Savietojams
Injekcija Digoxin 250 µg/ml
Injekcija Isavuconazonium sulfate 1.5 mg/ml
Nātrija hlorīds 0.9% 3829
Savietojams
Injekcija Digoxin 50 µg/ml
Injekcija Ketamine hydrochloride 50 mg/ml
2109
Tūlītēji nokrišņi Nesavienojams
Injekcija Digoxin 250 µg/ml
Injekcija Lansoprazole 0.55 mg/ml
Nātrija hlorīds 0.9% 1625
Savietojams
Injekcija Digoxin 250 µg/ml
Injekcija Levosimendan 0,025 & 0,05 mg/ml
4571
Savietojams
Injekcija Digoxin 1 µg/ml
Injekcija Lidocaine hydrochloride 2 mg/ml
Ringera laktāta šķīdums 619
Savietojams
Injekcija Digoxin 1 µg/ml
Injekcija Lidocaine hydrochloride 2 mg/ml
5% glikoze 619
Savietojams
Injekcija Digoxin 1 µg/ml
Injekcija Lidocaine hydrochloride 2 mg/ml
Nātrija hlorīds 0.9% 619
Savietojams
Injekcija Digoxin 250 µg/ml
Injekcija Linezolid 2 mg/ml
Nekāds 1925
Savietojams
Injekcija Digoxin 250 µg/ml
Injekcija Meropenem 50 mg/ml
Ūdens injekcijām 4319
Savietojams
Injekcija Digoxin 250 µg/ml
Injekcija Meropenem 1 & 50 mg/ml
Nātrija hlorīds 0.9% 266
Savietojams
Injekcija Digoxin 100 µg/ml
Injekcija Midazolam hydrochloride 1 mg/ml
5% glikoze 176
Savietojams
Injekcija Digoxin 50 & 125 µg/ml
Injekcija Milrinone lactate 0.1 & 0.35 mg/ml
5% glikoze 191
Savietojams
Injekcija Digoxin 250 µg/ml
Injekcija Morphine sulfate 1 mg/ml
5% glikoze 62
Savietojams
Injekcija Digoxin 50 µg/ml
Injekcija N-acetylcysteine 200 mg/ml
Nekāds 3766
Savietojams
Injekcija Digoxin 50 µg/ml
Injekcija Naloxone hydrochloride 0.4 mg/ml
Nekāds 3408
Nokrišņi pēc 4 stundām Nesavienojams
Injekcija Digoxin
Injekcija Pantoprazole sodium
2090
Savietojams
Injekcija Digoxin 250 µg/ml
Injekcija Pethidine hydrochloride 10 mg/ml
5% glikoze 62
Savietojams
Injekcija Digoxin 250 µg/ml
Injekcija Plazomicin sulfate 24 mg/ml
Nātrija hlorīds 0.9% 4145
Savietojams
Injekcija Digoxin 250 µg/ml
Injekcija Potassium chloride 40 mEq/l
5% glikoze 730
Savietojams
Injekcija Digoxin 250 µg/ml
Injekcija Potassium chloride 40 mEq/l
Ringera laktāta šķīdums 730
Savietojams
Injekcija Digoxin 250 µg/ml
Injekcija Potassium chloride 40 mEq/l
Nātrija hlorīds 0.9% 730
Savietojams
Injekcija Digoxin 250 µg/ml
Injekcija Propofol 10 mg/ml
Nekāds 300
Savietojams
Injekcija Digoxin 250 µg/ml
Injekcija Remifentanil hydrochloride 25 & 250 µg/ml
Nātrija hlorīds 0.9% 59
Savietojams
Injekcija Digoxin 0,25 µg/ml
Injekcija Sulbactam/durlobactam 15/15 mg/ml
Nātrija hlorīds 0.9% 4801
Savietojams
Injekcija Digoxin 250 µg/ml
Injekcija Tacrolimus 1000 µg/ml
Nātrija hlorīds 0.9% 479
Savietojams
Injekcija Digoxin 250 µg/ml
Injekcija Tedizolid phosphate 0.8 mg/ml
Nātrija hlorīds 0.9% 3827
Savietojams
Injekcija Digoxin 250 µg/ml
Injekcija Telavancin hydrochloride 7.5 mg/ml
Ringera laktāta šķīdums 3254
Savietojams
Injekcija Digoxin 2 µg/ml
Injekcija Verapamil hydrochloride 0,08 mg/ml
Nātrija hlorīds 0.9% 706
Savietojams
Injekcija Digoxin
Nātrija hlorīds 0.9% 618
Emulsijas nestabilitāte pēc 1 stundas Nesavienojams
Injekcija Digoxin 250 µg/ml
Injekcija Propofol
660
Tūlītēja duļķainība Nesavienojams
Injekcija Digoxin 250 µg/ml
Injekcija Telavancin hydrochloride 7,5 mg/ml
Nātrija hlorīds 0.9% 3254
Tūlītēja duļķainība Nesavienojams
Injekcija Digoxin 250 µg/ml
Injekcija Telavancin hydrochloride 7,5 mg/ml
5% glikoze 3254

  Mentions Légales