viimane versioon :
18/03/2026
Kardiotooniline ravim   Digoxin  
Süsteravim
Stabiilsus lahustes Stabiilsust mõjutavad tegurid stabiilsust mõjutavad faktorid Sobimatus Manustamis viis Viited pdf
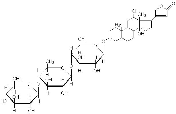
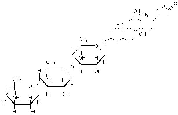
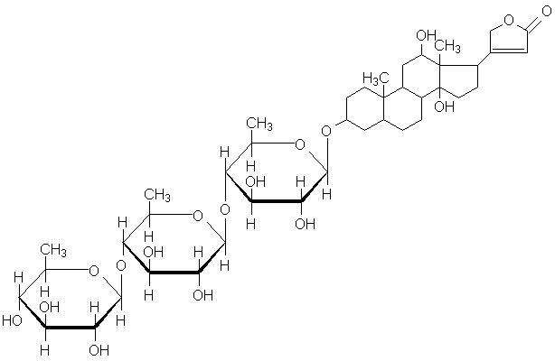
   keemiline struktuur  

Kaubanduslikud nimed erinevates maades   Kaubanduslikud nimed erinevates maades     

Preparaatide nimed on näitlikud ja abianete sisaldus võib erineda sõltuvalt riigist ja laborist

Cardixin Egiptus
Celoxin India
Digibind Ameerika ühendriigid, uus-Meremaa
Digocard Argentiina, Ecuador
Digosin Jaapan
Digoxin Ameerika ühendriigid, Argentiina, Ecuador, Iraan, Kanada, Poola, Rootsi, Soome, Suurbritannia, Taani, Ungari
Digoxina Argentiina, Ecuador, Hispaania, Mehhiko, Venetsueela
Digoxine Kreeka, Prantsusmaa, Sveits
Geoxin India
Lanibos Saudi Araabia
Lanicor Saksamaa
Lanoxin Ameerika ühendriigid, Araabia Ühendemiraadid, Belgia, Egiptus, Holland, Iirimaa, Iraan, Itaalia, Luksemburg, Malaisia, Norra, Portugal, Saudi Araabia, Suurbritannia, Tšiili, uus-Meremaa
Loxinan Mehhiko
Sobimatus   Süsteravim   Sobimatus : Digoxin              
Sellel lehel kuvatakse sobimatusi ja sobimatuse tüüpi (sadenemine, värvuse muutus, emulsiooni modifitseerumine jne). Enamasti on siin lehel kuvatud füüsikalised sobimatused, kuna molekulide keemilist stabiilsust hinnatakse harva. Hinnatud on segude sobivust Y-liinis. Antud infot ei saa kasutada ravimite sobivuse hindamiseks juhul, kui ravimid on segatud süstaldes või infusioonikottides. See info on lehel « stabiilsus segudes ».
ingredient lahusti Viited
Kohene sade Sobimatu
Süsteravim Digoxin 250 µg/ml
Süsteravim Amiodarone hydrochloride 6 mg/ml
glükoos 5% 1611
Ühilduv
Süsteravim Digoxin 250 µg/ml
Süsteravim Amoxicillin sodium / clavulanic acid 100/10 mg/ml
3824
Kohene sade Sobimatu
Süsteravim Digoxin 250 µg/ml
Süsteravim Amphotericin B cholesteryl sulfate complex 0.83 mg/ml
glükoos 5% 921
Ühilduv
Süsteravim Digoxin 250 µg/ml
Süsteravim Anidulafungin 0.5 mg/ml
glükoos 5% 1982
Ühilduv
Süsteravim Digoxin 250 µg/ml
Süsteravim Caffeine 10 mg/ml
mitte ükski 3964
Ühilduv
Süsteravim Digoxin
glükoos 5% 618
Ühilduv
Süsteravim Digoxin 250 µg/ml
Süsteravim Bivalirudin 5 mg/ml
glükoos 5% 1713
Ühilduv
Süsteravim Digoxin 2 µg/ml
Süsteravim Bretylium tosilate 1 mg/ml
naatriumkloriid 0.9% 1193
Ühilduv
Süsteravim Digoxin 2 µg/ml
Süsteravim Bretylium tosilate 1 mg/ml
glükoos 5% 1193
Ühilduv
Süsteravim Digoxin 250 µg/ml
Süsteravim Cefiderocol sulfate tosylate 20 mg/mL
naatriumkloriid 0.9% 4528
Ühilduv
Süsteravim Digoxin 250 µg/ml
Süsteravim Cefiderocol sulfate tosylate 20 mg/mL
glükoos 5% 4528
Ühilduv
Süsteravim Digoxin 250 µg/ml
Süsteravim Cefmetazole sodium 100 mg/ml
süstevesi 93
Ühilduv
Süsteravim Digoxin 250 µg/ml
Süsteravim Ceftaroline fosamil 2,22 mg/ml
glükoos 5% 3249
Ühilduv
Süsteravim Digoxin 250 µg/ml
Süsteravim Ceftaroline fosamil 2,22 mg/ml
naatriumkloriid 0.9% 3249
Ühilduv
Süsteravim Digoxin 250 µg/ml
Süsteravim Ceftaroline fosamil 2,22 mg/ml
Ringer laktaat 3249
Ühilduv
Süsteravim Digoxin 250 µg/ml
Süsteravim Ceftobiprole medocaril sodium 2 mg/ml
Ringer laktaat 2269
Ühilduv
Süsteravim Digoxin 250 µg/ml
Süsteravim Ceftobiprole medocaril sodium 2 mg/ml
naatriumkloriid 0.9% 2269
Ühilduv
Süsteravim Digoxin 250 µg/ml
Süsteravim Ceftobiprole medocaril sodium 2 mg/ml
glükoos 5% 2269
Ühilduv
Süsteravim Digoxin 250 µg/ml
Süsteravim Ciprofloxacin lactate 2 mg/ml
naatriumkloriid 0.9% 288
Ühilduv
Süsteravim Digoxin 250 µg/ml
Süsteravim Cisatracurium besylate 0.1 >> 5 mg/ml
glükoos 5% 299
Ühilduv
Süsteravim Digoxin 250 µg/ml
Parenteraalse toitmise (lipiide tasuta) 301
Ühilduv
Süsteravim Digoxin 2.5 µg/ml
Süsteravim Cimetidine hydrochloride 3 mg/ml
glükoos 5% 1201
Ühilduv
Süsteravim Digoxin 250 µg/ml
Süsteravim Ciprofloxacin lactate 2 mg/ml
naatriumkloriid 0.9% 289
Ühilduv
Süsteravim Digoxin 50 µg/ml
Süsteravim Cloxacillin sodium 100 mg/ml
süstevesi 3012
Ühilduv
Süsteravim Digoxin 250 µg/ml
Parenteraalse toitmise (lipiidide) 1415
Ühilduv
Süsteravim Digoxin 250 µg/ml
Süsteravim Ceftolozane / tazobactam 10/5 mg/ml
naatriumkloriid 0.9% 3828
Ühilduv
Süsteravim Digoxin 250 µg/ml
Süsteravim Ceftolozane / tazobactam 10/5 mg/ml
glükoos 5% 3828
Ühilduv
Süsteravim Digoxin 250 µg/ml
Süsteravim Ciprofloxacin lactate 2 mg/ml
glükoos 5% 288
Ühilduv
Süsteravim Digoxin 0.4 µg/ml
Parenteraalse toitmise (lipiidide) 1338
Ühilduv
Süsteravim Digoxin 250 µg/ml
Süsteravim Dexmedetomidine 4 µg/ml
naatriumkloriid 0.9% 1712
Ühilduv
Süsteravim Digoxin 500 µg/ml
Süsteravim Diltiazem hydrochloride 1 & 5 mg/ml
naatriumkloriid 0.9% 198
Ühilduv
Süsteravim Digoxin
Süsteravim Dimenhydrinate
2087
Värvi muutus 24 tunni pärast Sobimatu
Süsteravim Digoxin 4 µg/ml
Süsteravim Dobutamine hydrochloride 1 mg/ml
glükoos 5% 1058
Värvi muutus 24 tunni pärast Sobimatu
Süsteravim Digoxin 4 µg/ml
Süsteravim Dobutamine hydrochloride 1 mg/ml
naatriumkloriid 0.9% 1058
Ühilduv
Süsteravim Digoxin 250 µg/ml
Süsteravim Doripenem 5 mg/ml
naatriumkloriid 0.9% 2262
Ühilduv
Süsteravim Digoxin 250 µg/ml
Süsteravim Doripenem 5 mg/ml
glükoos 5% 2262
Ühilduv
Süsteravim Digoxin 250 µg/ml
Süsteravim Famotidine
glükoos 5% 397
Ühilduv
Süsteravim Digoxin 250 µg/ml
Süsteravim Fenoldopam mesylate 80 µg/ml
naatriumkloriid 0.9% 1803
Ühilduv
Süsteravim Digoxin 100 µg/ml
Süsteravim Fentanyl citrate 50 µg/ml
glükoos 5% 63
Ühilduv
Süsteravim Digoxin 25 µg/ml
Süsteravim Flucloxacillin sodium 20 mg/ml
naatriumkloriid 0.9% 1232
Gaasimullide tootmine Sobimatu
Süsteravim Digoxin 250 µg/ml
Süsteravim Fluconazole 2 mg/ml
naatriumkloriid 0.9% 496
Ühilduv
Süsteravim Digoxin 50 µg/ml
Ringer laktaat 4603
Gaasimullide tootmine Sobimatu
Süsteravim Digoxin 250 µg/ml
Süsteravim Foscarnet sodium 24 mg/ml
mitte ükski 73
Ühilduv
Süsteravim Digoxin
Ringer laktaat 618
Ühilduv
Süsteravim Digoxin 250 µg/ml
Süsteravim Fosfomycin 30 mg/ml
glükoos 5% 4055
Ühilduv
Süsteravim Digoxin 250 µg/ml
Süsteravim Fosfomycin 30 mg/ml
naatriumkloriid 0.9% 4055
Ühilduv
Süsteravim Digoxin 25 µg/ml
Süsteravim Furosemide 1 mg/ml
naatriumkloriid 0.9% 1232
Ühilduv
Süsteravim Digoxin 250 µg/ml
Süsteravim Hetastarch 60 mg/ml
konkreetsed lahusti 1721
Ühilduv
Süsteravim Digoxin 0,25 µg/ml
Süsteravim Imipenem-Cilastatin / Relebactam 5 mg/ml
glükoos 5% 4433
Ühilduv
Süsteravim Digoxin 0,25 µg/ml
Süsteravim Imipenem-Cilastatin / Relebactam 5 mg/ml
naatriumkloriid 0.9% 4433
Ühilduv
Süsteravim Digoxin 250 µg/ml
Süsteravim Isavuconazonium sulfate 1.5 mg/ml
glükoos 5% 3829
Ühilduv
Süsteravim Digoxin 250 µg/ml
Süsteravim Isavuconazonium sulfate 1.5 mg/ml
naatriumkloriid 0.9% 3829
Ühilduv
Süsteravim Digoxin 50 µg/ml
Süsteravim Ketamine hydrochloride 50 mg/ml
2109
Kohene sade Sobimatu
Süsteravim Digoxin 250 µg/ml
Süsteravim Lansoprazole 0.55 mg/ml
naatriumkloriid 0.9% 1625
Ühilduv
Süsteravim Digoxin 250 µg/ml
Süsteravim Levosimendan 0,025 & 0,05 mg/ml
4571
Ühilduv
Süsteravim Digoxin 1 µg/ml
Süsteravim Lidocaine hydrochloride 2 mg/ml
Ringer laktaat 619
Ühilduv
Süsteravim Digoxin 1 µg/ml
Süsteravim Lidocaine hydrochloride 2 mg/ml
glükoos 5% 619
Ühilduv
Süsteravim Digoxin 1 µg/ml
Süsteravim Lidocaine hydrochloride 2 mg/ml
naatriumkloriid 0.9% 619
Ühilduv
Süsteravim Digoxin 250 µg/ml
Süsteravim Linezolid 2 mg/ml
mitte ükski 1925
Ühilduv
Süsteravim Digoxin 250 µg/ml
Süsteravim Meropenem 50 mg/ml
süstevesi 4319
Ühilduv
Süsteravim Digoxin 250 µg/ml
Süsteravim Meropenem 1 & 50 mg/ml
naatriumkloriid 0.9% 266
Ühilduv
Süsteravim Digoxin 100 µg/ml
Süsteravim Midazolam hydrochloride 1 mg/ml
glükoos 5% 176
Ühilduv
Süsteravim Digoxin 50 & 125 µg/ml
Süsteravim Milrinone lactate 0.1 & 0.35 mg/ml
glükoos 5% 191
Ühilduv
Süsteravim Digoxin 250 µg/ml
Süsteravim Morphine sulfate 1 mg/ml
glükoos 5% 62
Ühilduv
Süsteravim Digoxin 50 µg/ml
Süsteravim N-acetylcysteine 200 mg/ml
mitte ükski 3766
Ühilduv
Süsteravim Digoxin 50 µg/ml
Süsteravim Naloxone hydrochloride 0.4 mg/ml
mitte ükski 3408
Sade 4 tunni pärast Sobimatu
Süsteravim Digoxin
Süsteravim Pantoprazole sodium
2090
Ühilduv
Süsteravim Digoxin 250 µg/ml
Süsteravim Pethidine hydrochloride 10 mg/ml
glükoos 5% 62
Ühilduv
Süsteravim Digoxin 250 µg/ml
Süsteravim Plazomicin sulfate 24 mg/ml
naatriumkloriid 0.9% 4145
Ühilduv
Süsteravim Digoxin 250 µg/ml
Süsteravim Potassium chloride 40 mEq/l
glükoos 5% 730
Ühilduv
Süsteravim Digoxin 250 µg/ml
Süsteravim Potassium chloride 40 mEq/l
Ringer laktaat 730
Ühilduv
Süsteravim Digoxin 250 µg/ml
Süsteravim Potassium chloride 40 mEq/l
naatriumkloriid 0.9% 730
Ühilduv
Süsteravim Digoxin 250 µg/ml
Süsteravim Propofol 10 mg/ml
mitte ükski 300
Ühilduv
Süsteravim Digoxin 250 µg/ml
Süsteravim Remifentanil hydrochloride 25 & 250 µg/ml
naatriumkloriid 0.9% 59
Ühilduv
Süsteravim Digoxin 0,25 µg/ml
Süsteravim Sulbactam/durlobactam 15/15 mg/ml
naatriumkloriid 0.9% 4801
Ühilduv
Süsteravim Digoxin 250 µg/ml
Süsteravim Tacrolimus 1000 µg/ml
naatriumkloriid 0.9% 479
Ühilduv
Süsteravim Digoxin 250 µg/ml
Süsteravim Tedizolid phosphate 0.8 mg/ml
naatriumkloriid 0.9% 3827
Ühilduv
Süsteravim Digoxin 250 µg/ml
Süsteravim Telavancin hydrochloride 7.5 mg/ml
Ringer laktaat 3254
Ühilduv
Süsteravim Digoxin 2 µg/ml
Süsteravim Verapamil hydrochloride 0,08 mg/ml
naatriumkloriid 0.9% 706
Ühilduv
Süsteravim Digoxin
naatriumkloriid 0.9% 618
Emulsiooni ebastabiilsus 1 tunni pärast Sobimatu
Süsteravim Digoxin 250 µg/ml
Süsteravim Propofol
660
Kohene hägusus Sobimatu
Süsteravim Digoxin 250 µg/ml
Süsteravim Telavancin hydrochloride 7,5 mg/ml
naatriumkloriid 0.9% 3254
Kohene hägusus Sobimatu
Süsteravim Digoxin 250 µg/ml
Süsteravim Telavancin hydrochloride 7,5 mg/ml
glükoos 5% 3254

  Mentions Légales