Zadnji put ažurirano :
18/03/2026
kardiotonici   Digoxin  
injekcija
Stabilizacija rješenja Stabilnost mješavine Stabilizacijski faktor Kompatibilnosti način davanja lijeka Bibliografija pdf
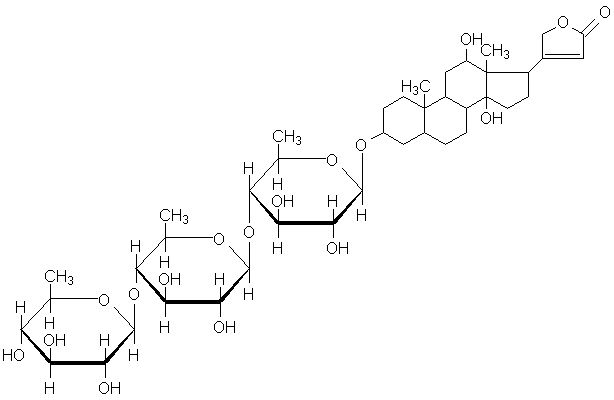
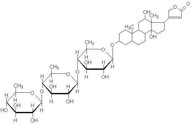
   Kemijska struktura  

Nekomercijalni   Nekomercijalni     

Zaštićeni nazivi su indikativni i sastav ekscipijensa može biti različit ovisno o državi i laboratorijima

Cardixin Egipat
Celoxin Indija
Digibind novi Zeland, S A D
Digocard Argentina, Ekvador
Digosin Japan
Digoxin Argentina, Danska, Ekvador, Finska, Iran, Kanada, Madžarska, Poljska, S A D, Švedska, Velika Britanija
Digoxina Argentina, Ekvador, Meksiko, Španjolska, Venecuela
Digoxine Francuska, Grčka, Švicarska
Geoxin Indija
Lanibos Saudijska Arabija
Lanicor Njemačka
Lanoxin Belgija, Čile, Egipat, Iran, Irska, Italija, Luksemburg, Malezija, Nizozemska, Norveška, novi Zeland, Portugal, S A D, Saudijska Arabija, Ujedinjeni Arapski Emirati, Velika Britanija
Loxinan Meksiko
Kompatibilnosti   injekcija   Kompatibilnosti : Digoxin              
Ovdje su prikazane kompatibilnosti ili nekompatibilnosti s tipom nekompatibilnosti (taloženje, promjena boje, modifikacija emulzije itd.) u ovom slučaju. Kompatibilnosti prikazane ovdje najčešće su fizikalne dok se kemijska stabilnost molekule rijetko procjenjuje. Procjena ovih mikstura je proučavana kako bi se razmotrila mogućnost primjene lijeka putem Y-mjesta. Ovi se podaci ne smiju koristiti za pripremu mikstura unaprijed u vrećicama ili štrcaljkama. Ova vrsta informacije se može pronaći u odjeljku « stabilnost u miksturama ».
molekula sredstvo za rastapanje Bibliografija
Neposredne oborine inkompatibilan
injekcija Digoxin 250 µg/ml
injekcija Amiodarone hydrochloride 6 mg/ml
glukoza 5% 1611
Kompatibilan
injekcija Digoxin 250 µg/ml
injekcija Amoxicillin sodium / clavulanic acid 100/10 mg/ml
3824
Neposredne oborine inkompatibilan
injekcija Digoxin 250 µg/ml
injekcija Amphotericin B cholesteryl sulfate complex 0.83 mg/ml
glukoza 5% 921
Kompatibilan
injekcija Digoxin 250 µg/ml
injekcija Anidulafungin 0.5 mg/ml
glukoza 5% 1982
Kompatibilan
injekcija Digoxin 250 µg/ml
injekcija Caffeine 10 mg/ml
nijedan 3964
Kompatibilan
injekcija Digoxin
glukoza 5% 618
Kompatibilan
injekcija Digoxin 250 µg/ml
injekcija Bivalirudin 5 mg/ml
glukoza 5% 1713
Kompatibilan
injekcija Digoxin 2 µg/ml
injekcija Bretylium tosilate 1 mg/ml
natrijumkorid 0,9% 1193
Kompatibilan
injekcija Digoxin 2 µg/ml
injekcija Bretylium tosilate 1 mg/ml
glukoza 5% 1193
Kompatibilan
injekcija Digoxin 250 µg/ml
injekcija Cefiderocol sulfate tosylate 20 mg/mL
natrijumkorid 0,9% 4528
Kompatibilan
injekcija Digoxin 250 µg/ml
injekcija Cefiderocol sulfate tosylate 20 mg/mL
glukoza 5% 4528
Kompatibilan
injekcija Digoxin 250 µg/ml
injekcija Cefmetazole sodium 100 mg/ml
čista voda za injektiranje 93
Kompatibilan
injekcija Digoxin 250 µg/ml
injekcija Ceftaroline fosamil 2,22 mg/ml
glukoza 5% 3249
Kompatibilan
injekcija Digoxin 250 µg/ml
injekcija Ceftaroline fosamil 2,22 mg/ml
natrijumkorid 0,9% 3249
Kompatibilan
injekcija Digoxin 250 µg/ml
injekcija Ceftaroline fosamil 2,22 mg/ml
Ringer laktat 3249
Kompatibilan
injekcija Digoxin 250 µg/ml
injekcija Ceftobiprole medocaril sodium 2 mg/ml
Ringer laktat 2269
Kompatibilan
injekcija Digoxin 250 µg/ml
injekcija Ceftobiprole medocaril sodium 2 mg/ml
natrijumkorid 0,9% 2269
Kompatibilan
injekcija Digoxin 250 µg/ml
injekcija Ceftobiprole medocaril sodium 2 mg/ml
glukoza 5% 2269
Kompatibilan
injekcija Digoxin 250 µg/ml
injekcija Ciprofloxacin lactate 2 mg/ml
natrijumkorid 0,9% 288
Kompatibilan
injekcija Digoxin 250 µg/ml
injekcija Cisatracurium besylate 0.1 >> 5 mg/ml
glukoza 5% 299
Kompatibilan
injekcija Digoxin 250 µg/ml
Parenteralna prehrana (bezlipidna) 301
Kompatibilan
injekcija Digoxin 2.5 µg/ml
injekcija Cimetidine hydrochloride 3 mg/ml
glukoza 5% 1201
Kompatibilan
injekcija Digoxin 250 µg/ml
injekcija Ciprofloxacin lactate 2 mg/ml
natrijumkorid 0,9% 289
Kompatibilan
injekcija Digoxin 50 µg/ml
injekcija Cloxacillin sodium 100 mg/ml
čista voda za injektiranje 3012
Kompatibilan
injekcija Digoxin 250 µg/ml
Parenteralna prehrana (lipidima) 1415
Kompatibilan
injekcija Digoxin 250 µg/ml
injekcija Ceftolozane / tazobactam 10/5 mg/ml
natrijumkorid 0,9% 3828
Kompatibilan
injekcija Digoxin 250 µg/ml
injekcija Ceftolozane / tazobactam 10/5 mg/ml
glukoza 5% 3828
Kompatibilan
injekcija Digoxin 250 µg/ml
injekcija Ciprofloxacin lactate 2 mg/ml
glukoza 5% 288
Kompatibilan
injekcija Digoxin 0.4 µg/ml
Parenteralna prehrana (lipidima) 1338
Kompatibilan
injekcija Digoxin 250 µg/ml
injekcija Dexmedetomidine 4 µg/ml
natrijumkorid 0,9% 1712
Kompatibilan
injekcija Digoxin 500 µg/ml
injekcija Diltiazem hydrochloride 1 & 5 mg/ml
natrijumkorid 0,9% 198
Kompatibilan
injekcija Digoxin
injekcija Dimenhydrinate
2087
Promjena boje je nakon 24 sata inkompatibilan
injekcija Digoxin 4 µg/ml
injekcija Dobutamine hydrochloride 1 mg/ml
glukoza 5% 1058
Promjena boje je nakon 24 sata inkompatibilan
injekcija Digoxin 4 µg/ml
injekcija Dobutamine hydrochloride 1 mg/ml
natrijumkorid 0,9% 1058
Kompatibilan
injekcija Digoxin 250 µg/ml
injekcija Doripenem 5 mg/ml
natrijumkorid 0,9% 2262
Kompatibilan
injekcija Digoxin 250 µg/ml
injekcija Doripenem 5 mg/ml
glukoza 5% 2262
Kompatibilan
injekcija Digoxin 250 µg/ml
injekcija Famotidine
glukoza 5% 397
Kompatibilan
injekcija Digoxin 250 µg/ml
injekcija Fenoldopam mesylate 80 µg/ml
natrijumkorid 0,9% 1803
Kompatibilan
injekcija Digoxin 100 µg/ml
injekcija Fentanyl citrate 50 µg/ml
glukoza 5% 63
Kompatibilan
injekcija Digoxin 25 µg/ml
injekcija Flucloxacillin sodium 20 mg/ml
natrijumkorid 0,9% 1232
Proizvodnja mjehurića plina inkompatibilan
injekcija Digoxin 250 µg/ml
injekcija Fluconazole 2 mg/ml
natrijumkorid 0,9% 496
Kompatibilan
injekcija Digoxin 50 µg/ml
Ringer laktat 4603
Proizvodnja mjehurića plina inkompatibilan
injekcija Digoxin 250 µg/ml
injekcija Foscarnet sodium 24 mg/ml
nijedan 73
Kompatibilan
injekcija Digoxin
Ringer laktat 618
Kompatibilan
injekcija Digoxin 250 µg/ml
injekcija Fosfomycin 30 mg/ml
glukoza 5% 4055
Kompatibilan
injekcija Digoxin 250 µg/ml
injekcija Fosfomycin 30 mg/ml
natrijumkorid 0,9% 4055
Kompatibilan
injekcija Digoxin 25 µg/ml
injekcija Furosemide 1 mg/ml
natrijumkorid 0,9% 1232
Kompatibilan
injekcija Digoxin 250 µg/ml
injekcija Hetastarch 60 mg/ml
Specifična otapala 1721
Kompatibilan
injekcija Digoxin 0,25 µg/ml
injekcija Imipenem-Cilastatin / Relebactam 5 mg/ml
glukoza 5% 4433
Kompatibilan
injekcija Digoxin 0,25 µg/ml
injekcija Imipenem-Cilastatin / Relebactam 5 mg/ml
natrijumkorid 0,9% 4433
Kompatibilan
injekcija Digoxin 250 µg/ml
injekcija Isavuconazonium sulfate 1.5 mg/ml
glukoza 5% 3829
Kompatibilan
injekcija Digoxin 250 µg/ml
injekcija Isavuconazonium sulfate 1.5 mg/ml
natrijumkorid 0,9% 3829
Kompatibilan
injekcija Digoxin 50 µg/ml
injekcija Ketamine hydrochloride 50 mg/ml
2109
Neposredne oborine inkompatibilan
injekcija Digoxin 250 µg/ml
injekcija Lansoprazole 0.55 mg/ml
natrijumkorid 0,9% 1625
Kompatibilan
injekcija Digoxin 250 µg/ml
injekcija Levosimendan 0,025 & 0,05 mg/ml
4571
Kompatibilan
injekcija Digoxin 1 µg/ml
injekcija Lidocaine hydrochloride 2 mg/ml
Ringer laktat 619
Kompatibilan
injekcija Digoxin 1 µg/ml
injekcija Lidocaine hydrochloride 2 mg/ml
glukoza 5% 619
Kompatibilan
injekcija Digoxin 1 µg/ml
injekcija Lidocaine hydrochloride 2 mg/ml
natrijumkorid 0,9% 619
Kompatibilan
injekcija Digoxin 250 µg/ml
injekcija Linezolid 2 mg/ml
nijedan 1925
Kompatibilan
injekcija Digoxin 250 µg/ml
injekcija Meropenem 50 mg/ml
čista voda za injektiranje 4319
Kompatibilan
injekcija Digoxin 250 µg/ml
injekcija Meropenem 1 & 50 mg/ml
natrijumkorid 0,9% 266
Kompatibilan
injekcija Digoxin 100 µg/ml
injekcija Midazolam hydrochloride 1 mg/ml
glukoza 5% 176
Kompatibilan
injekcija Digoxin 50 & 125 µg/ml
injekcija Milrinone lactate 0.1 & 0.35 mg/ml
glukoza 5% 191
Kompatibilan
injekcija Digoxin 250 µg/ml
injekcija Morphine sulfate 1 mg/ml
glukoza 5% 62
Kompatibilan
injekcija Digoxin 50 µg/ml
injekcija N-acetylcysteine 200 mg/ml
nijedan 3766
Kompatibilan
injekcija Digoxin 50 µg/ml
injekcija Naloxone hydrochloride 0.4 mg/ml
nijedan 3408
Padavine nakon 4 sata inkompatibilan
injekcija Digoxin
injekcija Pantoprazole sodium
2090
Kompatibilan
injekcija Digoxin 250 µg/ml
injekcija Pethidine hydrochloride 10 mg/ml
glukoza 5% 62
Kompatibilan
injekcija Digoxin 250 µg/ml
injekcija Plazomicin sulfate 24 mg/ml
natrijumkorid 0,9% 4145
Kompatibilan
injekcija Digoxin 250 µg/ml
injekcija Potassium chloride 40 mEq/l
glukoza 5% 730
Kompatibilan
injekcija Digoxin 250 µg/ml
injekcija Potassium chloride 40 mEq/l
Ringer laktat 730
Kompatibilan
injekcija Digoxin 250 µg/ml
injekcija Potassium chloride 40 mEq/l
natrijumkorid 0,9% 730
Kompatibilan
injekcija Digoxin 250 µg/ml
injekcija Propofol 10 mg/ml
nijedan 300
Kompatibilan
injekcija Digoxin 250 µg/ml
injekcija Remifentanil hydrochloride 25 & 250 µg/ml
natrijumkorid 0,9% 59
Kompatibilan
injekcija Digoxin 0,25 µg/ml
injekcija Sulbactam/durlobactam 15/15 mg/ml
natrijumkorid 0,9% 4801
Kompatibilan
injekcija Digoxin 250 µg/ml
injekcija Tacrolimus 1000 µg/ml
natrijumkorid 0,9% 479
Kompatibilan
injekcija Digoxin 250 µg/ml
injekcija Tedizolid phosphate 0.8 mg/ml
natrijumkorid 0,9% 3827
Kompatibilan
injekcija Digoxin 250 µg/ml
injekcija Telavancin hydrochloride 7.5 mg/ml
Ringer laktat 3254
Kompatibilan
injekcija Digoxin 2 µg/ml
injekcija Verapamil hydrochloride 0,08 mg/ml
natrijumkorid 0,9% 706
Kompatibilan
injekcija Digoxin
natrijumkorid 0,9% 618
Nestabilnost emulzije nakon 1 sata inkompatibilan
injekcija Digoxin 250 µg/ml
injekcija Propofol
660
Neposredna zamućenost inkompatibilan
injekcija Digoxin 250 µg/ml
injekcija Telavancin hydrochloride 7,5 mg/ml
natrijumkorid 0,9% 3254
Neposredna zamućenost inkompatibilan
injekcija Digoxin 250 µg/ml
injekcija Telavancin hydrochloride 7,5 mg/ml
glukoza 5% 3254

  Mentions Légales