Ultimo aggiornamento :
18/03/2026
Cardiotonico   Digoxin  
Iniezione
Stabilità in soluzione Stabilità in miscela Fattori che influenzano la stabilità Compatibilità metodo di iniezione Bibliografia pdf
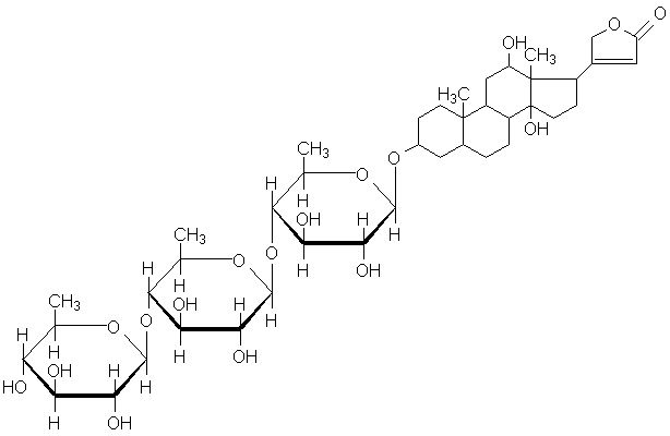
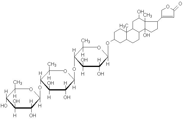
   Struttura chimica  

Nome commerciale   Nome commerciale     

Trade names are indicative and excipients composition can be different depending on the country and manufacturers

Cardixin Egitto
Celoxin India
Digibind nuova Zelanda, Stati Uniti d’America
Digocard Argentina, Ecuador
Digosin Giappone
Digoxin Argentina, Canada, Danimarca, Ecuador, Finlandia, Gran Bretagna, Iran, Polonia, Stati Uniti d’America, Svezia, Ungheria
Digoxina Argentina, Ecuador, Messico, Spagna, Venezuela
Digoxine Francia, Grecia, Svizzera
Geoxin India
Lanibos Arabia Saudita
Lanicor Germania
Lanoxin Arabia Saudita, Belgio, Chile, Egitto, Emirati Arabi Uniti, Gran Bretagna, Iran, Irlanda, Italia, Lussemburgo, Malaysia, Norvegia, nuova Zelanda, Paesi Bassi, Portogallo, Stati Uniti d’America
Loxinan Messico
Compatibilità   Iniezione   Compatibilità : Digoxin              
explication_incompatibilite_molecules
Molecola Solvente Bibliografia
Precipitazioni immediate Incompatibile
Iniezione Digoxin 250 µg/ml
Iniezione Amiodarone hydrochloride 6 mg/ml
Glucosio 5% 1611
Compatibile
Iniezione Digoxin 250 µg/ml
Iniezione Amoxicillin sodium / clavulanic acid 100/10 mg/ml
3824
Precipitazioni immediate Incompatibile
Iniezione Digoxin 250 µg/ml
Iniezione Amphotericin B cholesteryl sulfate complex 0.83 mg/ml
Glucosio 5% 921
Compatibile
Iniezione Digoxin 250 µg/ml
Iniezione Anidulafungin 0.5 mg/ml
Glucosio 5% 1982
Compatibile
Iniezione Digoxin 250 µg/ml
Iniezione Caffeine 10 mg/ml
Nessuno 3964
Compatibile
Iniezione Digoxin
Glucosio 5% 618
Compatibile
Iniezione Digoxin 250 µg/ml
Iniezione Bivalirudin 5 mg/ml
Glucosio 5% 1713
Compatibile
Iniezione Digoxin 2 µg/ml
Iniezione Bretylium tosilate 1 mg/ml
Cloruro di sodio 0,9% 1193
Compatibile
Iniezione Digoxin 2 µg/ml
Iniezione Bretylium tosilate 1 mg/ml
Glucosio 5% 1193
Compatibile
Iniezione Digoxin 250 µg/ml
Iniezione Cefiderocol sulfate tosylate 20 mg/mL
Cloruro di sodio 0,9% 4528
Compatibile
Iniezione Digoxin 250 µg/ml
Iniezione Cefiderocol sulfate tosylate 20 mg/mL
Glucosio 5% 4528
Compatibile
Iniezione Digoxin 250 µg/ml
Iniezione Cefmetazole sodium 100 mg/ml
Acqua per preparato iniettabile 93
Compatibile
Iniezione Digoxin 250 µg/ml
Iniezione Ceftaroline fosamil 2,22 mg/ml
Glucosio 5% 3249
Compatibile
Iniezione Digoxin 250 µg/ml
Iniezione Ceftaroline fosamil 2,22 mg/ml
Cloruro di sodio 0,9% 3249
Compatibile
Iniezione Digoxin 250 µg/ml
Iniezione Ceftaroline fosamil 2,22 mg/ml
Ringer lattato 3249
Compatibile
Iniezione Digoxin 250 µg/ml
Iniezione Ceftobiprole medocaril sodium 2 mg/ml
Ringer lattato 2269
Compatibile
Iniezione Digoxin 250 µg/ml
Iniezione Ceftobiprole medocaril sodium 2 mg/ml
Cloruro di sodio 0,9% 2269
Compatibile
Iniezione Digoxin 250 µg/ml
Iniezione Ceftobiprole medocaril sodium 2 mg/ml
Glucosio 5% 2269
Compatibile
Iniezione Digoxin 250 µg/ml
Iniezione Ciprofloxacin lactate 2 mg/ml
Cloruro di sodio 0,9% 288
Compatibile
Iniezione Digoxin 250 µg/ml
Iniezione Cisatracurium besylate 0.1 >> 5 mg/ml
Glucosio 5% 299
Compatibile
Iniezione Digoxin 250 µg/ml
Nutrizione parenterale (privo di lipidi) 301
Compatibile
Iniezione Digoxin 2.5 µg/ml
Iniezione Cimetidine hydrochloride 3 mg/ml
Glucosio 5% 1201
Compatibile
Iniezione Digoxin 250 µg/ml
Iniezione Ciprofloxacin lactate 2 mg/ml
Cloruro di sodio 0,9% 289
Compatibile
Iniezione Digoxin 50 µg/ml
Iniezione Cloxacillin sodium 100 mg/ml
Acqua per preparato iniettabile 3012
Compatibile
Iniezione Digoxin 250 µg/ml
Nutrizione parenterale (con lipidi) 1415
Compatibile
Iniezione Digoxin 250 µg/ml
Iniezione Ceftolozane / tazobactam 10/5 mg/ml
Cloruro di sodio 0,9% 3828
Compatibile
Iniezione Digoxin 250 µg/ml
Iniezione Ceftolozane / tazobactam 10/5 mg/ml
Glucosio 5% 3828
Compatibile
Iniezione Digoxin 250 µg/ml
Iniezione Ciprofloxacin lactate 2 mg/ml
Glucosio 5% 288
Compatibile
Iniezione Digoxin 0.4 µg/ml
Nutrizione parenterale (con lipidi) 1338
Compatibile
Iniezione Digoxin 250 µg/ml
Iniezione Dexmedetomidine 4 µg/ml
Cloruro di sodio 0,9% 1712
Compatibile
Iniezione Digoxin 500 µg/ml
Iniezione Diltiazem hydrochloride 1 & 5 mg/ml
Cloruro di sodio 0,9% 198
Compatibile
Iniezione Digoxin
Iniezione Dimenhydrinate
2087
Cambio colore dopo 24 ore Incompatibile
Iniezione Digoxin 4 µg/ml
Iniezione Dobutamine hydrochloride 1 mg/ml
Glucosio 5% 1058
Cambio colore dopo 24 ore Incompatibile
Iniezione Digoxin 4 µg/ml
Iniezione Dobutamine hydrochloride 1 mg/ml
Cloruro di sodio 0,9% 1058
Compatibile
Iniezione Digoxin 250 µg/ml
Iniezione Doripenem 5 mg/ml
Cloruro di sodio 0,9% 2262
Compatibile
Iniezione Digoxin 250 µg/ml
Iniezione Doripenem 5 mg/ml
Glucosio 5% 2262
Compatibile
Iniezione Digoxin 250 µg/ml
Iniezione Famotidine
Glucosio 5% 397
Compatibile
Iniezione Digoxin 250 µg/ml
Iniezione Fenoldopam mesylate 80 µg/ml
Cloruro di sodio 0,9% 1803
Compatibile
Iniezione Digoxin 100 µg/ml
Iniezione Fentanyl citrate 50 µg/ml
Glucosio 5% 63
Compatibile
Iniezione Digoxin 25 µg/ml
Iniezione Flucloxacillin sodium 20 mg/ml
Cloruro di sodio 0,9% 1232
Produzione di bolle di gas Incompatibile
Iniezione Digoxin 250 µg/ml
Iniezione Fluconazole 2 mg/ml
Cloruro di sodio 0,9% 496
Compatibile
Iniezione Digoxin 50 µg/ml
Ringer lattato 4603
Produzione di bolle di gas Incompatibile
Iniezione Digoxin 250 µg/ml
Iniezione Foscarnet sodium 24 mg/ml
Nessuno 73
Compatibile
Iniezione Digoxin
Ringer lattato 618
Compatibile
Iniezione Digoxin 250 µg/ml
Iniezione Fosfomycin 30 mg/ml
Glucosio 5% 4055
Compatibile
Iniezione Digoxin 250 µg/ml
Iniezione Fosfomycin 30 mg/ml
Cloruro di sodio 0,9% 4055
Compatibile
Iniezione Digoxin 25 µg/ml
Iniezione Furosemide 1 mg/ml
Cloruro di sodio 0,9% 1232
Compatibile
Iniezione Digoxin 250 µg/ml
Iniezione Hetastarch 60 mg/ml
solvente specifico 1721
Compatibile
Iniezione Digoxin 0,25 µg/ml
Iniezione Imipenem-Cilastatin / Relebactam 5 mg/ml
Glucosio 5% 4433
Compatibile
Iniezione Digoxin 0,25 µg/ml
Iniezione Imipenem-Cilastatin / Relebactam 5 mg/ml
Cloruro di sodio 0,9% 4433
Compatibile
Iniezione Digoxin 250 µg/ml
Iniezione Isavuconazonium sulfate 1.5 mg/ml
Glucosio 5% 3829
Compatibile
Iniezione Digoxin 250 µg/ml
Iniezione Isavuconazonium sulfate 1.5 mg/ml
Cloruro di sodio 0,9% 3829
Compatibile
Iniezione Digoxin 50 µg/ml
Iniezione Ketamine hydrochloride 50 mg/ml
2109
Precipitazioni immediate Incompatibile
Iniezione Digoxin 250 µg/ml
Iniezione Lansoprazole 0.55 mg/ml
Cloruro di sodio 0,9% 1625
Compatibile
Iniezione Digoxin 250 µg/ml
Iniezione Levosimendan 0,025 & 0,05 mg/ml
4571
Compatibile
Iniezione Digoxin 1 µg/ml
Iniezione Lidocaine hydrochloride 2 mg/ml
Ringer lattato 619
Compatibile
Iniezione Digoxin 1 µg/ml
Iniezione Lidocaine hydrochloride 2 mg/ml
Glucosio 5% 619
Compatibile
Iniezione Digoxin 1 µg/ml
Iniezione Lidocaine hydrochloride 2 mg/ml
Cloruro di sodio 0,9% 619
Compatibile
Iniezione Digoxin 250 µg/ml
Iniezione Linezolid 2 mg/ml
Nessuno 1925
Compatibile
Iniezione Digoxin 250 µg/ml
Iniezione Meropenem 50 mg/ml
Acqua per preparato iniettabile 4319
Compatibile
Iniezione Digoxin 250 µg/ml
Iniezione Meropenem 1 & 50 mg/ml
Cloruro di sodio 0,9% 266
Compatibile
Iniezione Digoxin 100 µg/ml
Iniezione Midazolam hydrochloride 1 mg/ml
Glucosio 5% 176
Compatibile
Iniezione Digoxin 50 & 125 µg/ml
Iniezione Milrinone lactate 0.1 & 0.35 mg/ml
Glucosio 5% 191
Compatibile
Iniezione Digoxin 250 µg/ml
Iniezione Morphine sulfate 1 mg/ml
Glucosio 5% 62
Compatibile
Iniezione Digoxin 50 µg/ml
Iniezione N-acetylcysteine 200 mg/ml
Nessuno 3766
Compatibile
Iniezione Digoxin 50 µg/ml
Iniezione Naloxone hydrochloride 0.4 mg/ml
Nessuno 3408
Precipitazioni dopo 4 ore Incompatibile
Iniezione Digoxin
Iniezione Pantoprazole sodium
2090
Compatibile
Iniezione Digoxin 250 µg/ml
Iniezione Pethidine hydrochloride 10 mg/ml
Glucosio 5% 62
Compatibile
Iniezione Digoxin 250 µg/ml
Iniezione Plazomicin sulfate 24 mg/ml
Cloruro di sodio 0,9% 4145
Compatibile
Iniezione Digoxin 250 µg/ml
Iniezione Potassium chloride 40 mEq/l
Glucosio 5% 730
Compatibile
Iniezione Digoxin 250 µg/ml
Iniezione Potassium chloride 40 mEq/l
Ringer lattato 730
Compatibile
Iniezione Digoxin 250 µg/ml
Iniezione Potassium chloride 40 mEq/l
Cloruro di sodio 0,9% 730
Compatibile
Iniezione Digoxin 250 µg/ml
Iniezione Propofol 10 mg/ml
Nessuno 300
Compatibile
Iniezione Digoxin 250 µg/ml
Iniezione Remifentanil hydrochloride 25 & 250 µg/ml
Cloruro di sodio 0,9% 59
Compatibile
Iniezione Digoxin 0,25 µg/ml
Iniezione Sulbactam/durlobactam 15/15 mg/ml
Cloruro di sodio 0,9% 4801
Compatibile
Iniezione Digoxin 250 µg/ml
Iniezione Tacrolimus 1000 µg/ml
Cloruro di sodio 0,9% 479
Compatibile
Iniezione Digoxin 250 µg/ml
Iniezione Tedizolid phosphate 0.8 mg/ml
Cloruro di sodio 0,9% 3827
Compatibile
Iniezione Digoxin 250 µg/ml
Iniezione Telavancin hydrochloride 7.5 mg/ml
Ringer lattato 3254
Compatibile
Iniezione Digoxin 2 µg/ml
Iniezione Verapamil hydrochloride 0,08 mg/ml
Cloruro di sodio 0,9% 706
Compatibile
Iniezione Digoxin
Cloruro di sodio 0,9% 618
Instabilità dell'emulsione dopo 1 ora Incompatibile
Iniezione Digoxin 250 µg/ml
Iniezione Propofol
660
Torbidità immediata Incompatibile
Iniezione Digoxin 250 µg/ml
Iniezione Telavancin hydrochloride 7,5 mg/ml
Cloruro di sodio 0,9% 3254
Torbidità immediata Incompatibile
Iniezione Digoxin 250 µg/ml
Iniezione Telavancin hydrochloride 7,5 mg/ml
Glucosio 5% 3254

  Mentions Légales