Dernière mise à jour :
18/03/2026
Cardiotonique   Digoxin  
injectable
Stabilité des solutions Stabilité en mélange Facteur influençant la stabilité Compatibilités Voie d’administration Bibliographie pdf
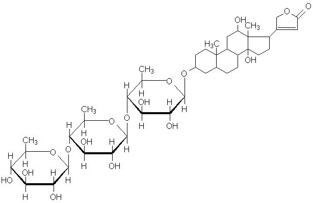
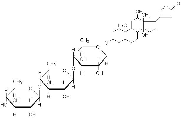
   Structure chimique  

Noms commerciaux   Noms commerciaux     

Les noms commerciaux sont donnés à titre indicatif et la composition en excipients peut être différente selon les pays et selon les laboratoires

Cardixin Egypte
Celoxin Inde
Digibind Etats Unis d’Amérique, Nouvelle Zélande
Digocard Argentine, Equateur
Digosin Japon
Digoxin Argentine, Canada, Danemark, Equateur, Etats Unis d’Amérique, Finlande, Grande Bretagne, Hongrie, Iran, Pologne, Suède
Digoxina Argentine, Equateur, Espagne, Mexique, Vénézuela
Digoxine France, Grèce, Suisse
Geoxin Inde
Lanibos Arabie Saoudite
Lanicor Allemagne
Lanoxin Arabie Saoudite, Belgique, Chili, Egypte, Emirats Arabes Unis , Etats Unis d’Amérique, Grande Bretagne, Iran, Irlande, Italie, Luxembourg, Malaisie, Norvège, Nouvelle Zélande, Pays bas, Portugal
Loxinan Mexique
Compatibilités   injectable   Compatibilités : Digoxin              
Cet écran indique les compatibilités ou incompatibilités avec, dans ce cas, le type d'incompatibilité (précipitation, changement de couleur, modification d'une émulsion, etc.). Les compatibilités présentées ici sont pour la plupart uniquement physiques, la stabilité chimique de chaque molécule étant rarement évaluée. L'évaluation de ces mélanges a été étudiée pour envisager la possibilité d'une administration en site Y au patient. Ces données ne peuvent pas être utilisées pour préparer des mélanges à l'avance dans des poches de perfusion ou des seringues. Ce type d'informations est disponible dans l'écran « Stabilité en mélange ».
Molécule Solvant Bibliographie
Précipitation immédiate Incompatible
injectable Digoxin 250 µg/ml
injectable Amiodarone hydrochloride 6 mg/ml
Glucose 5% 1611
Compatible
injectable Digoxin 250 µg/ml
injectable Amoxicillin sodium / clavulanic acid 100/10 mg/ml
3824
Précipitation immédiate Incompatible
injectable Digoxin 250 µg/ml
injectable Amphotericin B cholesteryl sulfate complex 0.83 mg/ml
Glucose 5% 921
Compatible
injectable Digoxin 250 µg/ml
injectable Anidulafungin 0.5 mg/ml
Glucose 5% 1982
Compatible
injectable Digoxin 250 µg/ml
injectable Caffeine 10 mg/ml
Aucun 3964
Compatible
injectable Digoxin
Glucose 5% 618
Compatible
injectable Digoxin 250 µg/ml
injectable Bivalirudin 5 mg/ml
Glucose 5% 1713
Compatible
injectable Digoxin 2 µg/ml
injectable Bretylium tosilate 1 mg/ml
Chlorure de sodium 0,9% 1193
Compatible
injectable Digoxin 2 µg/ml
injectable Bretylium tosilate 1 mg/ml
Glucose 5% 1193
Compatible
injectable Digoxin 250 µg/ml
injectable Cefiderocol sulfate tosylate 20 mg/mL
Chlorure de sodium 0,9% 4528
Compatible
injectable Digoxin 250 µg/ml
injectable Cefiderocol sulfate tosylate 20 mg/mL
Glucose 5% 4528
Compatible
injectable Digoxin 250 µg/ml
injectable Cefmetazole sodium 100 mg/ml
Eau pour préparation injectable 93
Compatible
injectable Digoxin 250 µg/ml
injectable Ceftaroline fosamil 2,22 mg/ml
Glucose 5% 3249
Compatible
injectable Digoxin 250 µg/ml
injectable Ceftaroline fosamil 2,22 mg/ml
Chlorure de sodium 0,9% 3249
Compatible
injectable Digoxin 250 µg/ml
injectable Ceftaroline fosamil 2,22 mg/ml
Ringer lactate 3249
Compatible
injectable Digoxin 250 µg/ml
injectable Ceftobiprole medocaril sodium 2 mg/ml
Ringer lactate 2269
Compatible
injectable Digoxin 250 µg/ml
injectable Ceftobiprole medocaril sodium 2 mg/ml
Chlorure de sodium 0,9% 2269
Compatible
injectable Digoxin 250 µg/ml
injectable Ceftobiprole medocaril sodium 2 mg/ml
Glucose 5% 2269
Compatible
injectable Digoxin 250 µg/ml
injectable Ciprofloxacin lactate 2 mg/ml
Chlorure de sodium 0,9% 288
Compatible
injectable Digoxin 250 µg/ml
injectable Cisatracurium besylate 0.1 >> 5 mg/ml
Glucose 5% 299
Compatible
injectable Digoxin 250 µg/ml
Nutrition parentérale (mélange binaire) 301
Compatible
injectable Digoxin 2.5 µg/ml
injectable Cimetidine hydrochloride 3 mg/ml
Glucose 5% 1201
Compatible
injectable Digoxin 250 µg/ml
injectable Ciprofloxacin lactate 2 mg/ml
Chlorure de sodium 0,9% 289
Compatible
injectable Digoxin 50 µg/ml
injectable Cloxacillin sodium 100 mg/ml
Eau pour préparation injectable 3012
Compatible
injectable Digoxin 250 µg/ml
Nutrition parentérale (mélange ternaire) 1415
Compatible
injectable Digoxin 250 µg/ml
injectable Ceftolozane / tazobactam 10/5 mg/ml
Chlorure de sodium 0,9% 3828
Compatible
injectable Digoxin 250 µg/ml
injectable Ceftolozane / tazobactam 10/5 mg/ml
Glucose 5% 3828
Compatible
injectable Digoxin 250 µg/ml
injectable Ciprofloxacin lactate 2 mg/ml
Glucose 5% 288
Compatible
injectable Digoxin 0.4 µg/ml
Nutrition parentérale (mélange ternaire) 1338
Compatible
injectable Digoxin 250 µg/ml
injectable Dexmedetomidine 4 µg/ml
Chlorure de sodium 0,9% 1712
Compatible
injectable Digoxin 500 µg/ml
injectable Diltiazem hydrochloride 1 & 5 mg/ml
Chlorure de sodium 0,9% 198
Compatible
injectable Digoxin
injectable Dimenhydrinate
2087
Changement de couleur en 24 heures Incompatible
injectable Digoxin 4 µg/ml
injectable Dobutamine hydrochloride 1 mg/ml
Glucose 5% 1058
Changement de couleur en 24 heures Incompatible
injectable Digoxin 4 µg/ml
injectable Dobutamine hydrochloride 1 mg/ml
Chlorure de sodium 0,9% 1058
Compatible
injectable Digoxin 250 µg/ml
injectable Doripenem 5 mg/ml
Chlorure de sodium 0,9% 2262
Compatible
injectable Digoxin 250 µg/ml
injectable Doripenem 5 mg/ml
Glucose 5% 2262
Compatible
injectable Digoxin 250 µg/ml
injectable Famotidine
Glucose 5% 397
Compatible
injectable Digoxin 250 µg/ml
injectable Fenoldopam mesylate 80 µg/ml
Chlorure de sodium 0,9% 1803
Compatible
injectable Digoxin 100 µg/ml
injectable Fentanyl citrate 50 µg/ml
Glucose 5% 63
Compatible
injectable Digoxin 25 µg/ml
injectable Flucloxacillin sodium 20 mg/ml
Chlorure de sodium 0,9% 1232
Dégagement gazeux Incompatible
injectable Digoxin 250 µg/ml
injectable Fluconazole 2 mg/ml
Chlorure de sodium 0,9% 496
Compatible
injectable Digoxin 50 µg/ml
Ringer lactate 4603
Dégagement gazeux Incompatible
injectable Digoxin 250 µg/ml
injectable Foscarnet sodium 24 mg/ml
Aucun 73
Compatible
injectable Digoxin
Ringer lactate 618
Compatible
injectable Digoxin 250 µg/ml
injectable Fosfomycin 30 mg/ml
Glucose 5% 4055
Compatible
injectable Digoxin 250 µg/ml
injectable Fosfomycin 30 mg/ml
Chlorure de sodium 0,9% 4055
Compatible
injectable Digoxin 25 µg/ml
injectable Furosemide 1 mg/ml
Chlorure de sodium 0,9% 1232
Compatible
injectable Digoxin 250 µg/ml
injectable Hetastarch 60 mg/ml
Solvant spécifique 1721
Compatible
injectable Digoxin 0,25 µg/ml
injectable Imipenem-Cilastatin / Relebactam 5 mg/ml
Glucose 5% 4433
Compatible
injectable Digoxin 0,25 µg/ml
injectable Imipenem-Cilastatin / Relebactam 5 mg/ml
Chlorure de sodium 0,9% 4433
Compatible
injectable Digoxin 250 µg/ml
injectable Isavuconazonium sulfate 1.5 mg/ml
Glucose 5% 3829
Compatible
injectable Digoxin 250 µg/ml
injectable Isavuconazonium sulfate 1.5 mg/ml
Chlorure de sodium 0,9% 3829
Compatible
injectable Digoxin 50 µg/ml
injectable Ketamine hydrochloride 50 mg/ml
2109
Précipitation immédiate Incompatible
injectable Digoxin 250 µg/ml
injectable Lansoprazole 0.55 mg/ml
Chlorure de sodium 0,9% 1625
Compatible
injectable Digoxin 250 µg/ml
injectable Levosimendan 0,025 & 0,05 mg/ml
4571
Compatible
injectable Digoxin 1 µg/ml
injectable Lidocaine hydrochloride 2 mg/ml
Ringer lactate 619
Compatible
injectable Digoxin 1 µg/ml
injectable Lidocaine hydrochloride 2 mg/ml
Glucose 5% 619
Compatible
injectable Digoxin 1 µg/ml
injectable Lidocaine hydrochloride 2 mg/ml
Chlorure de sodium 0,9% 619
Compatible
injectable Digoxin 250 µg/ml
injectable Linezolid 2 mg/ml
Aucun 1925
Compatible
injectable Digoxin 250 µg/ml
injectable Meropenem 50 mg/ml
Eau pour préparation injectable 4319
Compatible
injectable Digoxin 250 µg/ml
injectable Meropenem 1 & 50 mg/ml
Chlorure de sodium 0,9% 266
Compatible
injectable Digoxin 100 µg/ml
injectable Midazolam hydrochloride 1 mg/ml
Glucose 5% 176
Compatible
injectable Digoxin 50 & 125 µg/ml
injectable Milrinone lactate 0.1 & 0.35 mg/ml
Glucose 5% 191
Compatible
injectable Digoxin 250 µg/ml
injectable Morphine sulfate 1 mg/ml
Glucose 5% 62
Compatible
injectable Digoxin 50 µg/ml
injectable N-acetylcysteine 200 mg/ml
Aucun 3766
Compatible
injectable Digoxin 50 µg/ml
injectable Naloxone hydrochloride 0.4 mg/ml
Aucun 3408
Précipitation en 4 heures Incompatible
injectable Digoxin
injectable Pantoprazole sodium
2090
Compatible
injectable Digoxin 250 µg/ml
injectable Pethidine hydrochloride 10 mg/ml
Glucose 5% 62
Compatible
injectable Digoxin 250 µg/ml
injectable Plazomicin sulfate 24 mg/ml
Chlorure de sodium 0,9% 4145
Compatible
injectable Digoxin 250 µg/ml
injectable Potassium chloride 40 mEq/l
Glucose 5% 730
Compatible
injectable Digoxin 250 µg/ml
injectable Potassium chloride 40 mEq/l
Ringer lactate 730
Compatible
injectable Digoxin 250 µg/ml
injectable Potassium chloride 40 mEq/l
Chlorure de sodium 0,9% 730
Compatible
injectable Digoxin 250 µg/ml
injectable Propofol 10 mg/ml
Aucun 300
Compatible
injectable Digoxin 250 µg/ml
injectable Remifentanil hydrochloride 25 & 250 µg/ml
Chlorure de sodium 0,9% 59
Compatible
injectable Digoxin 0,25 µg/ml
injectable Sulbactam/durlobactam 15/15 mg/ml
Chlorure de sodium 0,9% 4801
Compatible
injectable Digoxin 250 µg/ml
injectable Tacrolimus 1000 µg/ml
Chlorure de sodium 0,9% 479
Compatible
injectable Digoxin 250 µg/ml
injectable Tedizolid phosphate 0.8 mg/ml
Chlorure de sodium 0,9% 3827
Compatible
injectable Digoxin 250 µg/ml
injectable Telavancin hydrochloride 7.5 mg/ml
Ringer lactate 3254
Compatible
injectable Digoxin 2 µg/ml
injectable Verapamil hydrochloride 0,08 mg/ml
Chlorure de sodium 0,9% 706
Compatible
injectable Digoxin
Chlorure de sodium 0,9% 618
Instabilité de l'émulsion en 1 heure Incompatible
injectable Digoxin 250 µg/ml
injectable Propofol
660
Turbidité immédiate Incompatible
injectable Digoxin 250 µg/ml
injectable Telavancin hydrochloride 7,5 mg/ml
Chlorure de sodium 0,9% 3254
Turbidité immédiate Incompatible
injectable Digoxin 250 µg/ml
injectable Telavancin hydrochloride 7,5 mg/ml
Glucose 5% 3254

  Mentions Légales