Posledná aktualizácia :
18/03/2026
kardiotonikum   Digoxin  
Injekcia
Stabilita roztokov Stabilita v zmesiach Faktory ovplyvňujúce stabilitu Kompatibility spôsob podania Odkazy na literatúru PDF
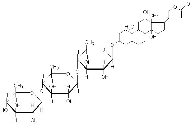
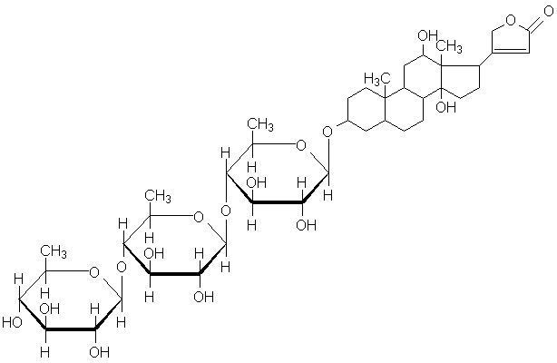
   Chemický vzorec  

Obchodný názov   Obchodný názov     

Obchodné názvy sú orientačné, a zloženie pomocných látok sa môže líšiť v závislosti od krajiny a výrobcu.

Cardixin Egypt
Celoxin India
Digibind nový Zéland, Spojené štáty Americké
Digocard Argentína, Ekvádor
Digosin Japonsko
Digoxin Argentína, Dánsko, Ekvádor, Fínsko, Irán, Kanada, Maďarsko, Poľsko, Spojené štáty Americké, Švédsko, Veľká Británia
Digoxina Argentína, Ekvádor, Mexiko, Španielsko, Venezuela
Digoxine Francúzsko, Grécko, Švajčiarsko
Geoxin India
Lanibos Saudská Arábia
Lanicor Nemecko
Lanoxin Belgicko, Čile, Egypt, Holandsko, Irán, Írsko, Luxembursko, Malajzia, Nórsko, nový Zéland, Portugalsko, Saudská Arábia, Spojené arabské emiráty, Spojené štáty Americké, Taliansko, Veľká Británia
Loxinan Mexiko
Kompatibility   Injekcia   Kompatibility : Digoxin              
Toto okno zobrazuje kompatibility alebo inkombatibility, v prípade inkompatibility aj jej typ (vyzrážanie, zmena farby, zmena emulzie atď.). Tu vymenované kompatibility sú väčšinou len fyzikálne, chemická stabilita každej zo zlúčenín sa hodnotila len zriedkavo. Tieto zmesi sa skúmali za účelom možnosti súbežného podávania pacientovi cez infúznu spojku Y. Údaje sa nedajú použiť na prípravu zmesí vo vakoch alebo striekačkách. Taká informácia sa nachádza v okne „Stabilita v zmesiach“.
Zlúčenina rozpúšťadlo odkazy na lieteratúru
Okamžité zrážanie nezlučiteľný
Injekcia Digoxin 250 µg/ml
Injekcia Amiodarone hydrochloride 6 mg/ml
5% glukóza 1611
kompatibilný
Injekcia Digoxin 250 µg/ml
Injekcia Amoxicillin sodium / clavulanic acid 100/10 mg/ml
3824
Okamžité zrážanie nezlučiteľný
Injekcia Digoxin 250 µg/ml
Injekcia Amphotericin B cholesteryl sulfate complex 0.83 mg/ml
5% glukóza 921
kompatibilný
Injekcia Digoxin 250 µg/ml
Injekcia Anidulafungin 0.5 mg/ml
5% glukóza 1982
kompatibilný
Injekcia Digoxin 250 µg/ml
Injekcia Caffeine 10 mg/ml
Žiadny 3964
kompatibilný
Injekcia Digoxin
5% glukóza 618
kompatibilný
Injekcia Digoxin 250 µg/ml
Injekcia Bivalirudin 5 mg/ml
5% glukóza 1713
kompatibilný
Injekcia Digoxin 2 µg/ml
Injekcia Bretylium tosilate 1 mg/ml
0,9% chlorid sodný 1193
kompatibilný
Injekcia Digoxin 2 µg/ml
Injekcia Bretylium tosilate 1 mg/ml
5% glukóza 1193
kompatibilný
Injekcia Digoxin 250 µg/ml
Injekcia Cefiderocol sulfate tosylate 20 mg/mL
0,9% chlorid sodný 4528
kompatibilný
Injekcia Digoxin 250 µg/ml
Injekcia Cefiderocol sulfate tosylate 20 mg/mL
5% glukóza 4528
kompatibilný
Injekcia Digoxin 250 µg/ml
Injekcia Cefmetazole sodium 100 mg/ml
voda na injekciu 93
kompatibilný
Injekcia Digoxin 250 µg/ml
Injekcia Ceftaroline fosamil 2,22 mg/ml
5% glukóza 3249
kompatibilný
Injekcia Digoxin 250 µg/ml
Injekcia Ceftaroline fosamil 2,22 mg/ml
0,9% chlorid sodný 3249
kompatibilný
Injekcia Digoxin 250 µg/ml
Injekcia Ceftaroline fosamil 2,22 mg/ml
Ringerov laktátový roztok 3249
kompatibilný
Injekcia Digoxin 250 µg/ml
Injekcia Ceftobiprole medocaril sodium 2 mg/ml
Ringerov laktátový roztok 2269
kompatibilný
Injekcia Digoxin 250 µg/ml
Injekcia Ceftobiprole medocaril sodium 2 mg/ml
0,9% chlorid sodný 2269
kompatibilný
Injekcia Digoxin 250 µg/ml
Injekcia Ceftobiprole medocaril sodium 2 mg/ml
5% glukóza 2269
kompatibilný
Injekcia Digoxin 250 µg/ml
Injekcia Ciprofloxacin lactate 2 mg/ml
0,9% chlorid sodný 288
kompatibilný
Injekcia Digoxin 250 µg/ml
Injekcia Cisatracurium besylate 0.1 >> 5 mg/ml
5% glukóza 299
kompatibilný
Injekcia Digoxin 250 µg/ml
parenterálna výživa (binárna zmes) 301
kompatibilný
Injekcia Digoxin 2.5 µg/ml
Injekcia Cimetidine hydrochloride 3 mg/ml
5% glukóza 1201
kompatibilný
Injekcia Digoxin 250 µg/ml
Injekcia Ciprofloxacin lactate 2 mg/ml
0,9% chlorid sodný 289
kompatibilný
Injekcia Digoxin 50 µg/ml
Injekcia Cloxacillin sodium 100 mg/ml
voda na injekciu 3012
kompatibilný
Injekcia Digoxin 250 µg/ml
Parenterálna výživa (lipidy) 1415
kompatibilný
Injekcia Digoxin 250 µg/ml
Injekcia Ceftolozane / tazobactam 10/5 mg/ml
0,9% chlorid sodný 3828
kompatibilný
Injekcia Digoxin 250 µg/ml
Injekcia Ceftolozane / tazobactam 10/5 mg/ml
5% glukóza 3828
kompatibilný
Injekcia Digoxin 250 µg/ml
Injekcia Ciprofloxacin lactate 2 mg/ml
5% glukóza 288
kompatibilný
Injekcia Digoxin 0.4 µg/ml
Parenterálna výživa (lipidy) 1338
kompatibilný
Injekcia Digoxin 250 µg/ml
Injekcia Dexmedetomidine 4 µg/ml
0,9% chlorid sodný 1712
kompatibilný
Injekcia Digoxin 500 µg/ml
Injekcia Diltiazem hydrochloride 1 & 5 mg/ml
0,9% chlorid sodný 198
kompatibilný
Injekcia Digoxin
Injekcia Dimenhydrinate
2087
Zmena farby po 24 hodinách nezlučiteľný
Injekcia Digoxin 4 µg/ml
Injekcia Dobutamine hydrochloride 1 mg/ml
5% glukóza 1058
Zmena farby po 24 hodinách nezlučiteľný
Injekcia Digoxin 4 µg/ml
Injekcia Dobutamine hydrochloride 1 mg/ml
0,9% chlorid sodný 1058
kompatibilný
Injekcia Digoxin 250 µg/ml
Injekcia Doripenem 5 mg/ml
0,9% chlorid sodný 2262
kompatibilný
Injekcia Digoxin 250 µg/ml
Injekcia Doripenem 5 mg/ml
5% glukóza 2262
kompatibilný
Injekcia Digoxin 250 µg/ml
Injekcia Famotidine
5% glukóza 397
kompatibilný
Injekcia Digoxin 250 µg/ml
Injekcia Fenoldopam mesylate 80 µg/ml
0,9% chlorid sodný 1803
kompatibilný
Injekcia Digoxin 100 µg/ml
Injekcia Fentanyl citrate 50 µg/ml
5% glukóza 63
kompatibilný
Injekcia Digoxin 25 µg/ml
Injekcia Flucloxacillin sodium 20 mg/ml
0,9% chlorid sodný 1232
Výroba plynových bublín nezlučiteľný
Injekcia Digoxin 250 µg/ml
Injekcia Fluconazole 2 mg/ml
0,9% chlorid sodný 496
kompatibilný
Injekcia Digoxin 50 µg/ml
Ringerov laktátový roztok 4603
Výroba plynových bublín nezlučiteľný
Injekcia Digoxin 250 µg/ml
Injekcia Foscarnet sodium 24 mg/ml
Žiadny 73
kompatibilný
Injekcia Digoxin
Ringerov laktátový roztok 618
kompatibilný
Injekcia Digoxin 250 µg/ml
Injekcia Fosfomycin 30 mg/ml
5% glukóza 4055
kompatibilný
Injekcia Digoxin 250 µg/ml
Injekcia Fosfomycin 30 mg/ml
0,9% chlorid sodný 4055
kompatibilný
Injekcia Digoxin 25 µg/ml
Injekcia Furosemide 1 mg/ml
0,9% chlorid sodný 1232
kompatibilný
Injekcia Digoxin 250 µg/ml
Injekcia Hetastarch 60 mg/ml
Špeciálne rozpúšťadlá 1721
kompatibilný
Injekcia Digoxin 0,25 µg/ml
Injekcia Imipenem-Cilastatin / Relebactam 5 mg/ml
5% glukóza 4433
kompatibilný
Injekcia Digoxin 0,25 µg/ml
Injekcia Imipenem-Cilastatin / Relebactam 5 mg/ml
0,9% chlorid sodný 4433
kompatibilný
Injekcia Digoxin 250 µg/ml
Injekcia Isavuconazonium sulfate 1.5 mg/ml
5% glukóza 3829
kompatibilný
Injekcia Digoxin 250 µg/ml
Injekcia Isavuconazonium sulfate 1.5 mg/ml
0,9% chlorid sodný 3829
kompatibilný
Injekcia Digoxin 50 µg/ml
Injekcia Ketamine hydrochloride 50 mg/ml
2109
Okamžité zrážanie nezlučiteľný
Injekcia Digoxin 250 µg/ml
Injekcia Lansoprazole 0.55 mg/ml
0,9% chlorid sodný 1625
kompatibilný
Injekcia Digoxin 250 µg/ml
Injekcia Levosimendan 0,025 & 0,05 mg/ml
4571
kompatibilný
Injekcia Digoxin 1 µg/ml
Injekcia Lidocaine hydrochloride 2 mg/ml
Ringerov laktátový roztok 619
kompatibilný
Injekcia Digoxin 1 µg/ml
Injekcia Lidocaine hydrochloride 2 mg/ml
5% glukóza 619
kompatibilný
Injekcia Digoxin 1 µg/ml
Injekcia Lidocaine hydrochloride 2 mg/ml
0,9% chlorid sodný 619
kompatibilný
Injekcia Digoxin 250 µg/ml
Injekcia Linezolid 2 mg/ml
Žiadny 1925
kompatibilný
Injekcia Digoxin 250 µg/ml
Injekcia Meropenem 50 mg/ml
voda na injekciu 4319
kompatibilný
Injekcia Digoxin 250 µg/ml
Injekcia Meropenem 1 & 50 mg/ml
0,9% chlorid sodný 266
kompatibilný
Injekcia Digoxin 100 µg/ml
Injekcia Midazolam hydrochloride 1 mg/ml
5% glukóza 176
kompatibilný
Injekcia Digoxin 50 & 125 µg/ml
Injekcia Milrinone lactate 0.1 & 0.35 mg/ml
5% glukóza 191
kompatibilný
Injekcia Digoxin 250 µg/ml
Injekcia Morphine sulfate 1 mg/ml
5% glukóza 62
kompatibilný
Injekcia Digoxin 50 µg/ml
Injekcia N-acetylcysteine 200 mg/ml
Žiadny 3766
kompatibilný
Injekcia Digoxin 50 µg/ml
Injekcia Naloxone hydrochloride 0.4 mg/ml
Žiadny 3408
Zrážky po 4 hodinách nezlučiteľný
Injekcia Digoxin
Injekcia Pantoprazole sodium
2090
kompatibilný
Injekcia Digoxin 250 µg/ml
Injekcia Pethidine hydrochloride 10 mg/ml
5% glukóza 62
kompatibilný
Injekcia Digoxin 250 µg/ml
Injekcia Plazomicin sulfate 24 mg/ml
0,9% chlorid sodný 4145
kompatibilný
Injekcia Digoxin 250 µg/ml
Injekcia Potassium chloride 40 mEq/l
5% glukóza 730
kompatibilný
Injekcia Digoxin 250 µg/ml
Injekcia Potassium chloride 40 mEq/l
Ringerov laktátový roztok 730
kompatibilný
Injekcia Digoxin 250 µg/ml
Injekcia Potassium chloride 40 mEq/l
0,9% chlorid sodný 730
kompatibilný
Injekcia Digoxin 250 µg/ml
Injekcia Propofol 10 mg/ml
Žiadny 300
kompatibilný
Injekcia Digoxin 250 µg/ml
Injekcia Remifentanil hydrochloride 25 & 250 µg/ml
0,9% chlorid sodný 59
kompatibilný
Injekcia Digoxin 0,25 µg/ml
Injekcia Sulbactam/durlobactam 15/15 mg/ml
0,9% chlorid sodný 4801
kompatibilný
Injekcia Digoxin 250 µg/ml
Injekcia Tacrolimus 1000 µg/ml
0,9% chlorid sodný 479
kompatibilný
Injekcia Digoxin 250 µg/ml
Injekcia Tedizolid phosphate 0.8 mg/ml
0,9% chlorid sodný 3827
kompatibilný
Injekcia Digoxin 250 µg/ml
Injekcia Telavancin hydrochloride 7.5 mg/ml
Ringerov laktátový roztok 3254
kompatibilný
Injekcia Digoxin 2 µg/ml
Injekcia Verapamil hydrochloride 0,08 mg/ml
0,9% chlorid sodný 706
kompatibilný
Injekcia Digoxin
0,9% chlorid sodný 618
Nestabilita emulzie po 1 hodine nezlučiteľný
Injekcia Digoxin 250 µg/ml
Injekcia Propofol
660
Okamžitá zákal nezlučiteľný
Injekcia Digoxin 250 µg/ml
Injekcia Telavancin hydrochloride 7,5 mg/ml
0,9% chlorid sodný 3254
Okamžitá zákal nezlučiteľný
Injekcia Digoxin 250 µg/ml
Injekcia Telavancin hydrochloride 7,5 mg/ml
5% glukóza 3254

  Mentions Légales