Son güncelleme :
18/03/2026
Kardiyotonik   Digoxin  
Enjeksiyon
Çözeltilerin stabilitesi Karışımlardaki stabilitesi Stabiliteyi etkileyen faktörler Uyumluluk Uygulama yöntemi Kaynaklar pdf
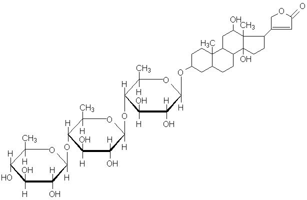
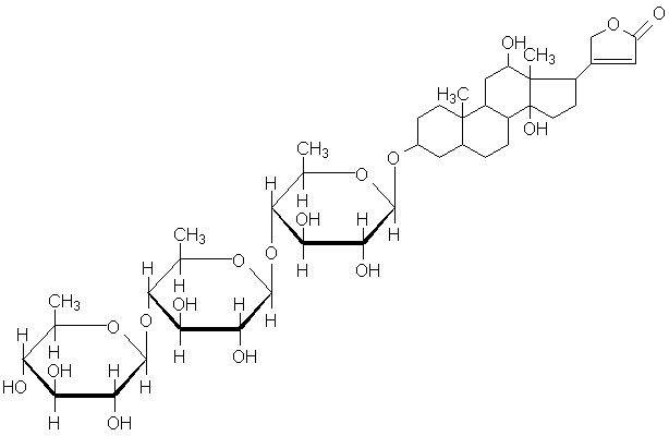
   Kimyasal yapı   

Ticari isim   Ticari isim     

Trade names are indicative and excipients composition can be different depending on the country and manufacturers

Cardixin Mısır
Celoxin Hindistan
Digibind Amerika Birleşik Devletleri, yeni Zelanda
Digocard Arjantin, Ekvador
Digosin Japonya
Digoxin Amerika Birleşik Devletleri, Arjantin, Büyük Britanya, Danimarka, Ekvador, Finlandiya, İran, İsveç, Kanada, Macaristan, Polonya
Digoxina Arjantin, Ekvador, İspanya, Meksika, Venezuela
Digoxine Fransa, İsviçre, Yunanistan
Geoxin Hindistan
Lanibos Suudi Arabistan
Lanicor Almanya
Lanoxin Amerika Birleşik Devletleri, Belçika, Birleşik Arap Emirlikleri, Büyük Britanya, Hollanda, İran, İrlanda, İtalya, Lüksemburg, Malezya, Mısır, Norveç, Portekiz, Şili, Suudi Arabistan, yeni Zelanda
Loxinan Meksika
Uyumluluk   Enjeksiyon    Uyumluluk : Digoxin              
Bu ekran, bu durumda uyumsuzluk tipiyle (çökelme, renk değişimi, bir emülsiyonun modifikasyonu, vb.) Uyumlulukları veya uyumsuzlukları gösterir. Burada gösterilen uyumluluklar çoğunlukla yalnızca fizikseldir ve her molekülün kimyasal stabilitesi nadiren değerlendirilir. Bu karışımların değerlendirilmesi, hastaya Y bölgesi uygulama olasılığını göz önünde bulundurmak için çalışıldı. Bu veriler önceden torba veya şırıngalarda karışım yapmak için kullanılamaz. Bu tür bilgiler "Karışımda stabilite" ekranında mevcuttur.
Bileşik Çözücü Kaynaklar
Acil yağış uyumsuz
Enjeksiyon Digoxin 250 µg/ml
Enjeksiyon Amiodarone hydrochloride 6 mg/ml
Glukoz %5 1611
Uyumlu
Enjeksiyon Digoxin 250 µg/ml
Enjeksiyon Amoxicillin sodium / clavulanic acid 100/10 mg/ml
3824
Acil yağış uyumsuz
Enjeksiyon Digoxin 250 µg/ml
Enjeksiyon Amphotericin B cholesteryl sulfate complex 0.83 mg/ml
Glukoz %5 921
Uyumlu
Enjeksiyon Digoxin 250 µg/ml
Enjeksiyon Anidulafungin 0.5 mg/ml
Glukoz %5 1982
Uyumlu
Enjeksiyon Digoxin 250 µg/ml
Enjeksiyon Caffeine 10 mg/ml
Yok 3964
Uyumlu
Enjeksiyon Digoxin
Glukoz %5 618
Uyumlu
Enjeksiyon Digoxin 250 µg/ml
Enjeksiyon Bivalirudin 5 mg/ml
Glukoz %5 1713
Uyumlu
Enjeksiyon Digoxin 2 µg/ml
Enjeksiyon Bretylium tosilate 1 mg/ml
Sodyum klorür % 0,9 1193
Uyumlu
Enjeksiyon Digoxin 2 µg/ml
Enjeksiyon Bretylium tosilate 1 mg/ml
Glukoz %5 1193
Uyumlu
Enjeksiyon Digoxin 250 µg/ml
Enjeksiyon Cefiderocol sulfate tosylate 20 mg/mL
Sodyum klorür % 0,9 4528
Uyumlu
Enjeksiyon Digoxin 250 µg/ml
Enjeksiyon Cefiderocol sulfate tosylate 20 mg/mL
Glukoz %5 4528
Uyumlu
Enjeksiyon Digoxin 250 µg/ml
Enjeksiyon Cefmetazole sodium 100 mg/ml
Enjeksiyonluk su 93
Uyumlu
Enjeksiyon Digoxin 250 µg/ml
Enjeksiyon Ceftaroline fosamil 2,22 mg/ml
Glukoz %5 3249
Uyumlu
Enjeksiyon Digoxin 250 µg/ml
Enjeksiyon Ceftaroline fosamil 2,22 mg/ml
Sodyum klorür % 0,9 3249
Uyumlu
Enjeksiyon Digoxin 250 µg/ml
Enjeksiyon Ceftaroline fosamil 2,22 mg/ml
Laktatlı ringer 3249
Uyumlu
Enjeksiyon Digoxin 250 µg/ml
Enjeksiyon Ceftobiprole medocaril sodium 2 mg/ml
Laktatlı ringer 2269
Uyumlu
Enjeksiyon Digoxin 250 µg/ml
Enjeksiyon Ceftobiprole medocaril sodium 2 mg/ml
Sodyum klorür % 0,9 2269
Uyumlu
Enjeksiyon Digoxin 250 µg/ml
Enjeksiyon Ceftobiprole medocaril sodium 2 mg/ml
Glukoz %5 2269
Uyumlu
Enjeksiyon Digoxin 250 µg/ml
Enjeksiyon Ciprofloxacin lactate 2 mg/ml
Sodyum klorür % 0,9 288
Uyumlu
Enjeksiyon Digoxin 250 µg/ml
Enjeksiyon Cisatracurium besylate 0.1 >> 5 mg/ml
Glukoz %5 299
Uyumlu
Enjeksiyon Digoxin 250 µg/ml
Parenteral beslenme (ikili karışım) 301
Uyumlu
Enjeksiyon Digoxin 2.5 µg/ml
Enjeksiyon Cimetidine hydrochloride 3 mg/ml
Glukoz %5 1201
Uyumlu
Enjeksiyon Digoxin 250 µg/ml
Enjeksiyon Ciprofloxacin lactate 2 mg/ml
Sodyum klorür % 0,9 289
Uyumlu
Enjeksiyon Digoxin 50 µg/ml
Enjeksiyon Cloxacillin sodium 100 mg/ml
Enjeksiyonluk su 3012
Uyumlu
Enjeksiyon Digoxin 250 µg/ml
Parenteral beslenme (Lipidler) 1415
Uyumlu
Enjeksiyon Digoxin 250 µg/ml
Enjeksiyon Ceftolozane / tazobactam 10/5 mg/ml
Sodyum klorür % 0,9 3828
Uyumlu
Enjeksiyon Digoxin 250 µg/ml
Enjeksiyon Ceftolozane / tazobactam 10/5 mg/ml
Glukoz %5 3828
Uyumlu
Enjeksiyon Digoxin 250 µg/ml
Enjeksiyon Ciprofloxacin lactate 2 mg/ml
Glukoz %5 288
Uyumlu
Enjeksiyon Digoxin 0.4 µg/ml
Parenteral beslenme (Lipidler) 1338
Uyumlu
Enjeksiyon Digoxin 250 µg/ml
Enjeksiyon Dexmedetomidine 4 µg/ml
Sodyum klorür % 0,9 1712
Uyumlu
Enjeksiyon Digoxin 500 µg/ml
Enjeksiyon Diltiazem hydrochloride 1 & 5 mg/ml
Sodyum klorür % 0,9 198
Uyumlu
Enjeksiyon Digoxin
Enjeksiyon Dimenhydrinate
2087
24 saat sonra renk değişimi uyumsuz
Enjeksiyon Digoxin 4 µg/ml
Enjeksiyon Dobutamine hydrochloride 1 mg/ml
Glukoz %5 1058
24 saat sonra renk değişimi uyumsuz
Enjeksiyon Digoxin 4 µg/ml
Enjeksiyon Dobutamine hydrochloride 1 mg/ml
Sodyum klorür % 0,9 1058
Uyumlu
Enjeksiyon Digoxin 250 µg/ml
Enjeksiyon Doripenem 5 mg/ml
Sodyum klorür % 0,9 2262
Uyumlu
Enjeksiyon Digoxin 250 µg/ml
Enjeksiyon Doripenem 5 mg/ml
Glukoz %5 2262
Uyumlu
Enjeksiyon Digoxin 250 µg/ml
Enjeksiyon Famotidine
Glukoz %5 397
Uyumlu
Enjeksiyon Digoxin 250 µg/ml
Enjeksiyon Fenoldopam mesylate 80 µg/ml
Sodyum klorür % 0,9 1803
Uyumlu
Enjeksiyon Digoxin 100 µg/ml
Enjeksiyon Fentanyl citrate 50 µg/ml
Glukoz %5 63
Uyumlu
Enjeksiyon Digoxin 25 µg/ml
Enjeksiyon Flucloxacillin sodium 20 mg/ml
Sodyum klorür % 0,9 1232
Gaz kabarcığı üretimi uyumsuz
Enjeksiyon Digoxin 250 µg/ml
Enjeksiyon Fluconazole 2 mg/ml
Sodyum klorür % 0,9 496
Uyumlu
Enjeksiyon Digoxin 50 µg/ml
Laktatlı ringer 4603
Gaz kabarcığı üretimi uyumsuz
Enjeksiyon Digoxin 250 µg/ml
Enjeksiyon Foscarnet sodium 24 mg/ml
Yok 73
Uyumlu
Enjeksiyon Digoxin
Laktatlı ringer 618
Uyumlu
Enjeksiyon Digoxin 250 µg/ml
Enjeksiyon Fosfomycin 30 mg/ml
Glukoz %5 4055
Uyumlu
Enjeksiyon Digoxin 250 µg/ml
Enjeksiyon Fosfomycin 30 mg/ml
Sodyum klorür % 0,9 4055
Uyumlu
Enjeksiyon Digoxin 25 µg/ml
Enjeksiyon Furosemide 1 mg/ml
Sodyum klorür % 0,9 1232
Uyumlu
Enjeksiyon Digoxin 250 µg/ml
Enjeksiyon Hetastarch 60 mg/ml
çözücü Özgül 1721
Uyumlu
Enjeksiyon Digoxin 0,25 µg/ml
Enjeksiyon Imipenem-Cilastatin / Relebactam 5 mg/ml
Glukoz %5 4433
Uyumlu
Enjeksiyon Digoxin 0,25 µg/ml
Enjeksiyon Imipenem-Cilastatin / Relebactam 5 mg/ml
Sodyum klorür % 0,9 4433
Uyumlu
Enjeksiyon Digoxin 250 µg/ml
Enjeksiyon Isavuconazonium sulfate 1.5 mg/ml
Glukoz %5 3829
Uyumlu
Enjeksiyon Digoxin 250 µg/ml
Enjeksiyon Isavuconazonium sulfate 1.5 mg/ml
Sodyum klorür % 0,9 3829
Uyumlu
Enjeksiyon Digoxin 50 µg/ml
Enjeksiyon Ketamine hydrochloride 50 mg/ml
2109
Acil yağış uyumsuz
Enjeksiyon Digoxin 250 µg/ml
Enjeksiyon Lansoprazole 0.55 mg/ml
Sodyum klorür % 0,9 1625
Uyumlu
Enjeksiyon Digoxin 250 µg/ml
Enjeksiyon Levosimendan 0,025 & 0,05 mg/ml
4571
Uyumlu
Enjeksiyon Digoxin 1 µg/ml
Enjeksiyon Lidocaine hydrochloride 2 mg/ml
Laktatlı ringer 619
Uyumlu
Enjeksiyon Digoxin 1 µg/ml
Enjeksiyon Lidocaine hydrochloride 2 mg/ml
Glukoz %5 619
Uyumlu
Enjeksiyon Digoxin 1 µg/ml
Enjeksiyon Lidocaine hydrochloride 2 mg/ml
Sodyum klorür % 0,9 619
Uyumlu
Enjeksiyon Digoxin 250 µg/ml
Enjeksiyon Linezolid 2 mg/ml
Yok 1925
Uyumlu
Enjeksiyon Digoxin 250 µg/ml
Enjeksiyon Meropenem 50 mg/ml
Enjeksiyonluk su 4319
Uyumlu
Enjeksiyon Digoxin 250 µg/ml
Enjeksiyon Meropenem 1 & 50 mg/ml
Sodyum klorür % 0,9 266
Uyumlu
Enjeksiyon Digoxin 100 µg/ml
Enjeksiyon Midazolam hydrochloride 1 mg/ml
Glukoz %5 176
Uyumlu
Enjeksiyon Digoxin 50 & 125 µg/ml
Enjeksiyon Milrinone lactate 0.1 & 0.35 mg/ml
Glukoz %5 191
Uyumlu
Enjeksiyon Digoxin 250 µg/ml
Enjeksiyon Morphine sulfate 1 mg/ml
Glukoz %5 62
Uyumlu
Enjeksiyon Digoxin 50 µg/ml
Enjeksiyon N-acetylcysteine 200 mg/ml
Yok 3766
Uyumlu
Enjeksiyon Digoxin 50 µg/ml
Enjeksiyon Naloxone hydrochloride 0.4 mg/ml
Yok 3408
4 saat sonra yağış uyumsuz
Enjeksiyon Digoxin
Enjeksiyon Pantoprazole sodium
2090
Uyumlu
Enjeksiyon Digoxin 250 µg/ml
Enjeksiyon Pethidine hydrochloride 10 mg/ml
Glukoz %5 62
Uyumlu
Enjeksiyon Digoxin 250 µg/ml
Enjeksiyon Plazomicin sulfate 24 mg/ml
Sodyum klorür % 0,9 4145
Uyumlu
Enjeksiyon Digoxin 250 µg/ml
Enjeksiyon Potassium chloride 40 mEq/l
Glukoz %5 730
Uyumlu
Enjeksiyon Digoxin 250 µg/ml
Enjeksiyon Potassium chloride 40 mEq/l
Laktatlı ringer 730
Uyumlu
Enjeksiyon Digoxin 250 µg/ml
Enjeksiyon Potassium chloride 40 mEq/l
Sodyum klorür % 0,9 730
Uyumlu
Enjeksiyon Digoxin 250 µg/ml
Enjeksiyon Propofol 10 mg/ml
Yok 300
Uyumlu
Enjeksiyon Digoxin 250 µg/ml
Enjeksiyon Remifentanil hydrochloride 25 & 250 µg/ml
Sodyum klorür % 0,9 59
Uyumlu
Enjeksiyon Digoxin 0,25 µg/ml
Enjeksiyon Sulbactam/durlobactam 15/15 mg/ml
Sodyum klorür % 0,9 4801
Uyumlu
Enjeksiyon Digoxin 250 µg/ml
Enjeksiyon Tacrolimus 1000 µg/ml
Sodyum klorür % 0,9 479
Uyumlu
Enjeksiyon Digoxin 250 µg/ml
Enjeksiyon Tedizolid phosphate 0.8 mg/ml
Sodyum klorür % 0,9 3827
Uyumlu
Enjeksiyon Digoxin 250 µg/ml
Enjeksiyon Telavancin hydrochloride 7.5 mg/ml
Laktatlı ringer 3254
Uyumlu
Enjeksiyon Digoxin 2 µg/ml
Enjeksiyon Verapamil hydrochloride 0,08 mg/ml
Sodyum klorür % 0,9 706
Uyumlu
Enjeksiyon Digoxin
Sodyum klorür % 0,9 618
1 saat sonra emülsiyonun kararsızlığı uyumsuz
Enjeksiyon Digoxin 250 µg/ml
Enjeksiyon Propofol
660
Anında bulanıklık uyumsuz
Enjeksiyon Digoxin 250 µg/ml
Enjeksiyon Telavancin hydrochloride 7,5 mg/ml
Sodyum klorür % 0,9 3254
Anında bulanıklık uyumsuz
Enjeksiyon Digoxin 250 µg/ml
Enjeksiyon Telavancin hydrochloride 7,5 mg/ml
Glukoz %5 3254

  Mentions Légales