Cập nhật lần cuối :
18/03/2026
Thuốc khử cực giống cura   Pancuronium bromide  
Dạng tiêm
Tính ổn định của các dung dịch Độ ổn định khi trộn lẫn Những yếu tố ảnh hưởng đến độ ổn định Khả năng tương thích Đường dùng Tài liệu tham khảo Pdf
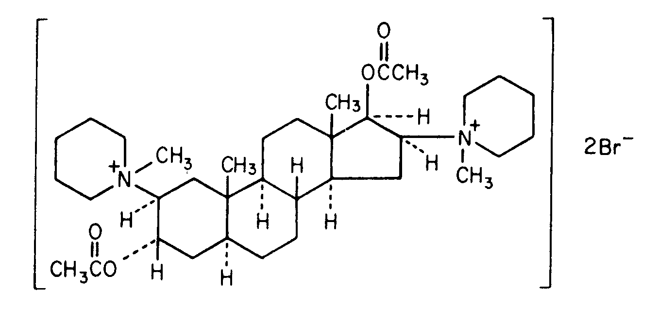
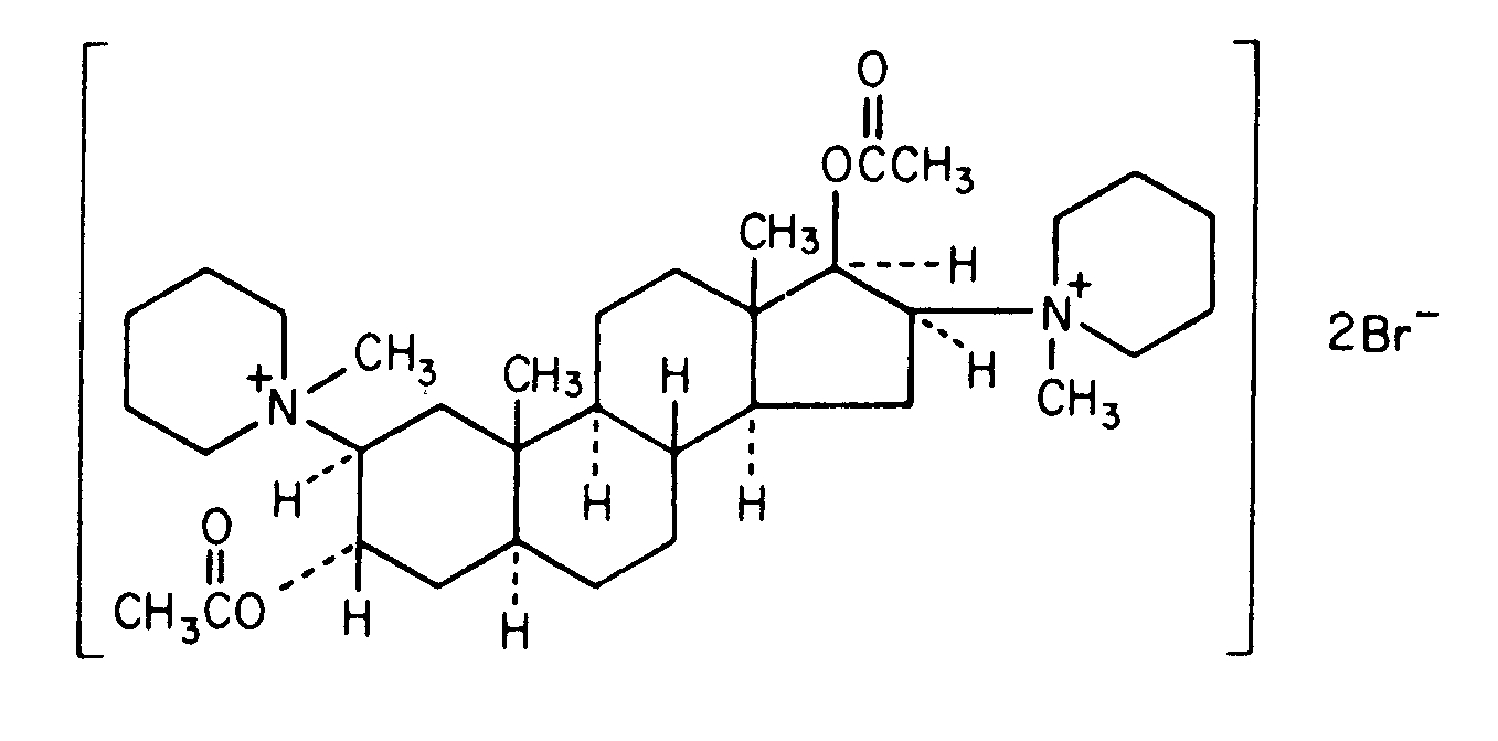
   Cấu trúc hóa học  

Tên thương mại   Tên thương mại     

Các tên thương mại được cung cấp và thành phần tá dược có thể khác nhau giữa các quốc gia và các hãng dược

Pancuronium bromide injection Canada, Hoa Kỳ
Khả năng tương thích   Dạng tiêm   Khả năng tương thích : Pancuronium bromide              
Màn hình này cho biết khả năng tương thích hoặc không tương thích, trong trường hợp này là loại không tương thích (kết tủa, thay đổi màu sắc, sửa đổi nhũ tương, v.v.). Sự tương hợp được chỉ ra ở đây chủ yếu chỉ là vật lý, với độ ổn định hóa học của mỗi phân tử hiếm khi được đánh giá. Việc đánh giá các hỗn hợp này được nghiên cứu để xem xét khả năng sử dụng vị trí Y cho bệnh nhân. Những dữ liệu này không thể được sử dụng để tạo hỗn hợp trước trong túi hoặc ống tiêm. Loại thông tin này có sẵn trong màn hình "Độ ổn định trong hỗn hợp».
Phân tử Dung môi Mục lục
Tương thích
Dạng tiêm Pancuronium bromide 0.05 mg/ml
Dạng tiêm Aminophylline 1 mg/ml
Glucose 5% 402
Tương thích
Dạng tiêm Pancuronium bromide 0.05 mg/ml
Dạng tiêm Cefazolin sodium 10 mg/ml
Glucose 5% 402
Tương thích
Dạng tiêm Pancuronium bromide 0.05 mg/ml
Dạng tiêm Cefuroxime sodium 7.5 mg/ml
Glucose 5% 402
Tương thích
Dạng tiêm Pancuronium bromide 0.05 mg/ml
Dạng tiêm Cimetidine hydrochloride 6 mg/ml
Glucose 5% 402
Tương thích
Dạng tiêm Pancuronium bromide 0.2 mg/ml
Dạng tiêm Ciprofloxacin lactate 2 mg/ml
Glucose 5% 285
Tương thích
Dạng tiêm Pancuronium bromide 0.05 mg/ml
Dạng tiêm Co-trimoxazole 3.2/0.64 mg/ml
Glucose 5% 402
Tương thích
Dạng tiêm Pancuronium bromide
Dạng tiêm Dexmedetomidine
5042
Lượng mưa ngay lập tức Không tương thích
Dạng tiêm Pancuronium bromide 0.05 mg/ml
Dạng tiêm Diazepam 5 mg/ml
Glucose 5% 402
Tương thích
Dạng tiêm Pancuronium bromide 0.05 mg/ml
Dạng tiêm Dobutamine hydrochloride 1 mg/ml
Glucose 5% 402
Tương thích
Dạng tiêm Pancuronium bromide 0.05 mg/ml
Dạng tiêm Dopamine hydrochloride 1.6 mg/ml
Glucose 5% 402
Tương thích
Dạng tiêm Pancuronium bromide 0.05 mg/ml
Dạng tiêm Epinephrine hydrochloride 4 µg/ml
Glucose 5% 402
Tương thích
Dạng tiêm Pancuronium bromide 0.05 mg/ml
Dạng tiêm Esmolol hydrochloride 10 mg/ml
Glucose 5% 402
Độ đục ngay lập tức Không tương thích
Dạng tiêm Pancuronium bromide
Dạng tiêm Etomidate
5011
Tương thích
Dạng tiêm Pancuronium bromide 2 mg/ml
Dạng tiêm Etomidate 2 mg/ml
Không 319
Tương thích
Dạng tiêm Pancuronium bromide 0.1 mg/ml
Dạng tiêm Fenoldopam mesylate 80 µg/ml
NaCl 0,9% 1803
Tương thích
Dạng tiêm Pancuronium bromide 0.05 mg/ml
Dạng tiêm Fentanyl citrate 10 µg/ml
Glucose 5% 402
Tương thích
Dạng tiêm Pancuronium bromide 0,5 mg/ml
Dạng tiêm Fluconazole 2 mg/ml
NaCl 0,9% 255
Tương thích
Dạng tiêm Pancuronium bromide 0.05 mg/ml
Dạng tiêm Gentamicin sulfate 2 mg/ml
Glucose 5% 402
Tương thích
Dạng tiêm Pancuronium bromide 0.05 mg/ml
Dạng tiêm Heparin sodium 40 UI/ml
Glucose 5% 402
Tương thích
Dạng tiêm Pancuronium bromide 0.05 mg/ml
Dạng tiêm Hydrocortisone sodium succinate 1 mg/ml
Glucose 5% 402
Tương thích
Dạng tiêm Pancuronium bromide
Glucose 5% 755
Tương thích
Dạng tiêm Pancuronium bromide
Dung dịch Ringer’s lactate 755
Tương thích
Dạng tiêm Pancuronium bromide 0.1 mg/ml
Dạng tiêm Hetastarch 60 mg/ml
dung môi cụ thể 1721
Tương thích
Dạng tiêm Pancuronium bromide 0.05 mg/ml
Dạng tiêm Isoprenaline hydrochloride 0.004 mg/ml
Glucose 5% 402
Tương thích
Dạng tiêm Pancuronium bromide 2 mg/ml
Dạng tiêm Ketamine hydrochloride 50 mg/ml
2109
Tương thích
Dạng tiêm Pancuronium bromide 1 mg/ml
Dạng tiêm Levofloxacine 5 mg/ml
Glucose 5% 1072
Tương thích
Dạng tiêm Pancuronium bromide 0.05 mg/ml
Dạng tiêm Lorazepam 0.5 mg/ml
Glucose 5% 402
Tương thích
Dạng tiêm Pancuronium bromide 0.05 mg/ml
Dạng tiêm Midazolam hydrochloride 0.05 mg/ml
Glucose 5% 402
Tương thích
Dạng tiêm Pancuronium bromide 2 mg/ml
Dạng tiêm Milrinone lactate 0.8 mg/ml
Glucose 5% 813
Tương thích
Dạng tiêm Pancuronium bromide 0.05 mg/ml
Dạng tiêm Morphine sulfate 1 mg/ml
Glucose 5% 402
Tương thích
Dạng tiêm Pancuronium bromide 2 mg/ml
Dạng tiêm Naloxone hydrochloride 0.4 mg/ml
Không 3408
Tương thích
Dạng tiêm Pancuronium bromide 0.05 mg/ml
Dạng tiêm Nitroglycerin 0.4 mg/ml
Glucose 5% 402
Tương thích
Dạng tiêm Pancuronium bromide 0.05 mg/ml
Dạng tiêm Nitroprusside sodium 0.2 mg/ml
Glucose 5% 402
Tương thích
Dạng tiêm Pancuronium bromide 0.1 mg/ml
Dạng tiêm Oritavancin 0.8 >>2 mg/ml
Glucose 5% 3152
Lượng mưa ngay lập tức Không tương thích
Dạng tiêm Pancuronium bromide
Dạng tiêm Pantoprazole sodium
2090
Tương thích
Dạng tiêm Pancuronium bromide 1 mg/ml
Dạng tiêm Propofol 10 mg/ml
Không 300
Tính không ổn định của nhũ tương sau 4 giờ Không tương thích
Dạng tiêm Pancuronium bromide 1 mg/ml
Dạng tiêm Propofol
660
Tương thích
Dạng tiêm Pancuronium bromide 2 mg/ml
Dạng tiêm Propofol 2 mg/ml
Không 319
Tương thích
Dạng tiêm Pancuronium bromide 0.05 mg/ml
Dạng tiêm Ranitidine hydrochloride 0.5 mg/ml
Glucose 5% 402
Lượng mưa ngay lập tức Không tương thích
Dạng tiêm Pancuronium bromide 2 mg/ml
Dạng tiêm Salbutamol sulfate 1 mg/ml
Không 3216
Lượng mưa ngay lập tức Không tương thích
Dạng tiêm Pancuronium bromide
Dạng tiêm Thiopental sodium
2079
Lượng mưa ngay lập tức Không tương thích
Dạng tiêm Pancuronium bromide 2 mg/ml
Dạng tiêm Thiopental sodium 25 mg/ml
NaCl 0,9% 3767
Lượng mưa ngay lập tức Không tương thích
Dạng tiêm Pancuronium bromide 2 mg/ml
Dạng tiêm Thiopental sodium 25 mg/ml
Nước cất pha tiêm 319
Tương thích
Dạng tiêm Pancuronium bromide 0.008 mg/ml
Dạng tiêm Verapamil hydrochloride 0.08 mg/ml
Glucose 5% 1057
Tương thích
Dạng tiêm Pancuronium bromide
NaCl 0,9% 755
Không tương thích không xác định Không tương thích
Dạng tiêm Pancuronium bromide
Dạng tiêm Thiopental sodium
755
Tương thích
Dạng tiêm Pancuronium bromide 0.05 mg/ml
Dạng tiêm Vancomycin hydrochloride 5 mg/ml
Glucose 5% 402
Tương thích
Dạng tiêm Pancuronium bromide 0.008 mg/ml
Dạng tiêm Verapamil hydrochloride 0.08 mg/ml
NaCl 0,9% 1057

  Mentions Légales