Останнє оновлення :
18/03/2026
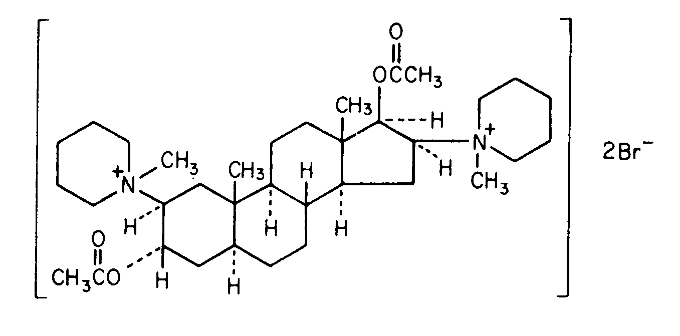
Курариміметик   Pancuronium bromide  
ін'єкція
Стійкість в розчинах Стійкість сумішей Фактори, що впливають на стабільність Сумісність Шлях введення Список літератури pdf
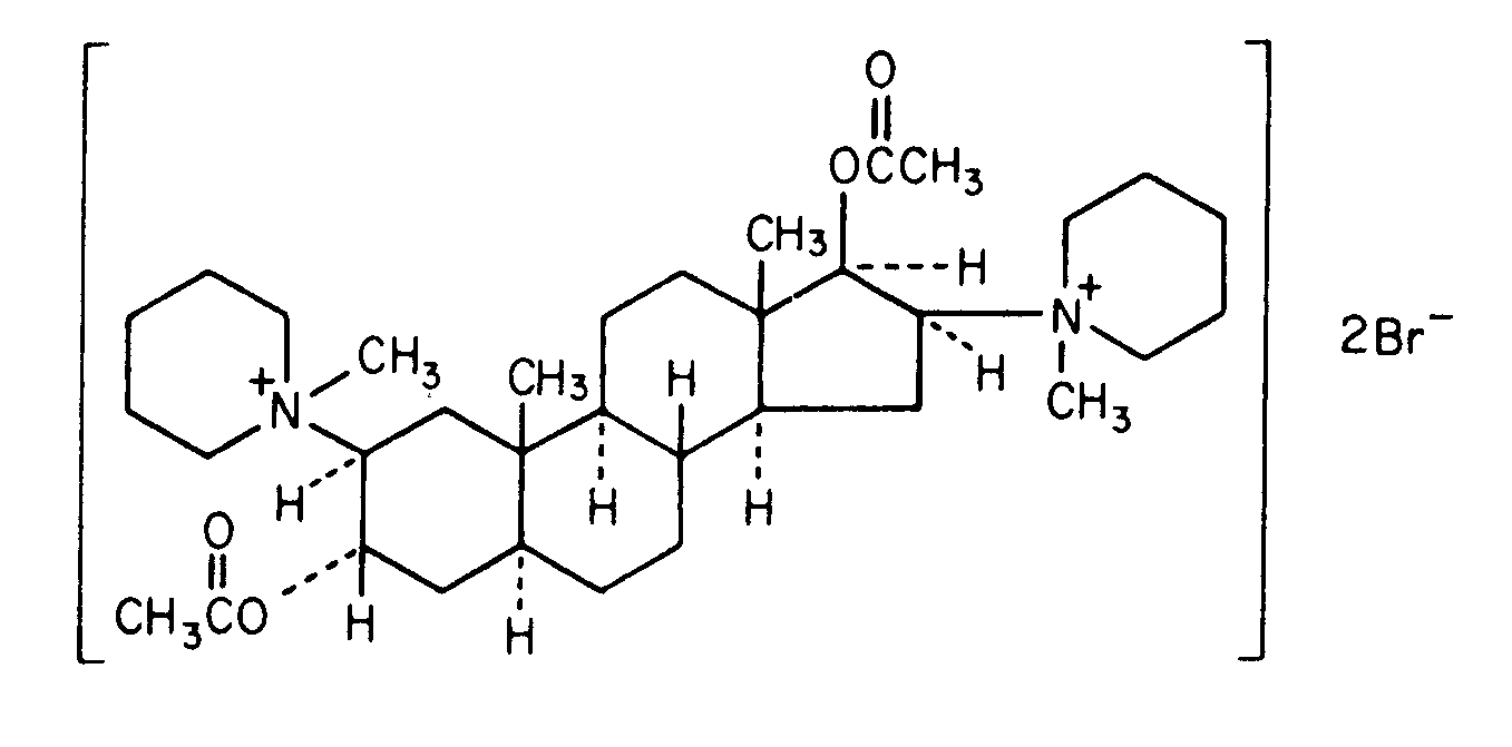
   Хімічна структура  

Торгова назва   Торгова назва     

Торгові назви є орієнтовними, а склад допоміжних речовин може бути різним залежно від країни та виробника

Pancuronium bromide injection Канада, Сполучені Штати Америки
Сумісність   ін'єкція   Сумісність : Pancuronium bromide              
explication_incompatibilite_molecules
З'єднання Розчинник Список літератури
сумісний
ін'єкція Pancuronium bromide 0.05 mg/ml
ін'єкція Aminophylline 1 mg/ml
Глюкоза 5% 402
сумісний
ін'єкція Pancuronium bromide 0.05 mg/ml
ін'єкція Cefazolin sodium 10 mg/ml
Глюкоза 5% 402
сумісний
ін'єкція Pancuronium bromide 0.05 mg/ml
ін'єкція Cefuroxime sodium 7.5 mg/ml
Глюкоза 5% 402
сумісний
ін'єкція Pancuronium bromide 0.05 mg/ml
ін'єкція Cimetidine hydrochloride 6 mg/ml
Глюкоза 5% 402
сумісний
ін'єкція Pancuronium bromide 0.2 mg/ml
ін'єкція Ciprofloxacin lactate 2 mg/ml
Глюкоза 5% 285
сумісний
ін'єкція Pancuronium bromide 0.05 mg/ml
ін'єкція Co-trimoxazole 3.2/0.64 mg/ml
Глюкоза 5% 402
сумісний
ін'єкція Pancuronium bromide
ін'єкція Dexmedetomidine
5042
Миттєві опади Несумісні
ін'єкція Pancuronium bromide 0.05 mg/ml
ін'єкція Diazepam 5 mg/ml
Глюкоза 5% 402
сумісний
ін'єкція Pancuronium bromide 0.05 mg/ml
ін'єкція Dobutamine hydrochloride 1 mg/ml
Глюкоза 5% 402
сумісний
ін'єкція Pancuronium bromide 0.05 mg/ml
ін'єкція Dopamine hydrochloride 1.6 mg/ml
Глюкоза 5% 402
сумісний
ін'єкція Pancuronium bromide 0.05 mg/ml
ін'єкція Epinephrine hydrochloride 4 µg/ml
Глюкоза 5% 402
сумісний
ін'єкція Pancuronium bromide 0.05 mg/ml
ін'єкція Esmolol hydrochloride 10 mg/ml
Глюкоза 5% 402
Негайне помутніння Несумісні
ін'єкція Pancuronium bromide
ін'єкція Etomidate
5011
сумісний
ін'єкція Pancuronium bromide 2 mg/ml
ін'єкція Etomidate 2 mg/ml
Жодного 319
сумісний
ін'єкція Pancuronium bromide 0.1 mg/ml
ін'єкція Fenoldopam mesylate 80 µg/ml
Натрію хлорид 0,9% 1803
сумісний
ін'єкція Pancuronium bromide 0.05 mg/ml
ін'єкція Fentanyl citrate 10 µg/ml
Глюкоза 5% 402
сумісний
ін'єкція Pancuronium bromide 0,5 mg/ml
ін'єкція Fluconazole 2 mg/ml
Натрію хлорид 0,9% 255
сумісний
ін'єкція Pancuronium bromide 0.05 mg/ml
ін'єкція Gentamicin sulfate 2 mg/ml
Глюкоза 5% 402
сумісний
ін'єкція Pancuronium bromide 0.05 mg/ml
ін'єкція Heparin sodium 40 UI/ml
Глюкоза 5% 402
сумісний
ін'єкція Pancuronium bromide 0.05 mg/ml
ін'єкція Hydrocortisone sodium succinate 1 mg/ml
Глюкоза 5% 402
сумісний
ін'єкція Pancuronium bromide
Глюкоза 5% 755
сумісний
ін'єкція Pancuronium bromide
Розчин лактату Рінгера 755
сумісний
ін'єкція Pancuronium bromide 0.1 mg/ml
ін'єкція Hetastarch 60 mg/ml
специфічний розчинник 1721
сумісний
ін'єкція Pancuronium bromide 0.05 mg/ml
ін'єкція Isoprenaline hydrochloride 0.004 mg/ml
Глюкоза 5% 402
сумісний
ін'єкція Pancuronium bromide 2 mg/ml
ін'єкція Ketamine hydrochloride 50 mg/ml
2109
сумісний
ін'єкція Pancuronium bromide 1 mg/ml
ін'єкція Levofloxacine 5 mg/ml
Глюкоза 5% 1072
сумісний
ін'єкція Pancuronium bromide 0.05 mg/ml
ін'єкція Lorazepam 0.5 mg/ml
Глюкоза 5% 402
сумісний
ін'єкція Pancuronium bromide 0.05 mg/ml
ін'єкція Midazolam hydrochloride 0.05 mg/ml
Глюкоза 5% 402
сумісний
ін'єкція Pancuronium bromide 2 mg/ml
ін'єкція Milrinone lactate 0.8 mg/ml
Глюкоза 5% 813
сумісний
ін'єкція Pancuronium bromide 0.05 mg/ml
ін'єкція Morphine sulfate 1 mg/ml
Глюкоза 5% 402
сумісний
ін'єкція Pancuronium bromide 2 mg/ml
ін'єкція Naloxone hydrochloride 0.4 mg/ml
Жодного 3408
сумісний
ін'єкція Pancuronium bromide 0.05 mg/ml
ін'єкція Nitroglycerin 0.4 mg/ml
Глюкоза 5% 402
сумісний
ін'єкція Pancuronium bromide 0.05 mg/ml
ін'єкція Nitroprusside sodium 0.2 mg/ml
Глюкоза 5% 402
сумісний
ін'єкція Pancuronium bromide 0.1 mg/ml
ін'єкція Oritavancin 0.8 >>2 mg/ml
Глюкоза 5% 3152
Миттєві опади Несумісні
ін'єкція Pancuronium bromide
ін'єкція Pantoprazole sodium
2090
сумісний
ін'єкція Pancuronium bromide 1 mg/ml
ін'єкція Propofol 10 mg/ml
Жодного 300
Нестійкість емульсії через 4 год Несумісні
ін'єкція Pancuronium bromide 1 mg/ml
ін'єкція Propofol
660
сумісний
ін'єкція Pancuronium bromide 2 mg/ml
ін'єкція Propofol 2 mg/ml
Жодного 319
сумісний
ін'єкція Pancuronium bromide 0.05 mg/ml
ін'єкція Ranitidine hydrochloride 0.5 mg/ml
Глюкоза 5% 402
Миттєві опади Несумісні
ін'єкція Pancuronium bromide 2 mg/ml
ін'єкція Salbutamol sulfate 1 mg/ml
Жодного 3216
Миттєві опади Несумісні
ін'єкція Pancuronium bromide
ін'єкція Thiopental sodium
2079
Миттєві опади Несумісні
ін'єкція Pancuronium bromide 2 mg/ml
ін'єкція Thiopental sodium 25 mg/ml
Натрію хлорид 0,9% 3767
Миттєві опади Несумісні
ін'єкція Pancuronium bromide 2 mg/ml
ін'єкція Thiopental sodium 25 mg/ml
Вода для ін'єкцій 319
сумісний
ін'єкція Pancuronium bromide 0.008 mg/ml
ін'єкція Verapamil hydrochloride 0.08 mg/ml
Глюкоза 5% 1057
сумісний
ін'єкція Pancuronium bromide
Натрію хлорид 0,9% 755
Неуточнена несумісність Несумісні
ін'єкція Pancuronium bromide
ін'єкція Thiopental sodium
755
сумісний
ін'єкція Pancuronium bromide 0.05 mg/ml
ін'єкція Vancomycin hydrochloride 5 mg/ml
Глюкоза 5% 402
сумісний
ін'єкція Pancuronium bromide 0.008 mg/ml
ін'єкція Verapamil hydrochloride 0.08 mg/ml
Натрію хлорид 0,9% 1057

  Mentions Légales