Última actualização :
18/03/2026
Curarizante   Pancuronium bromide  
injetável
Estabilidade em soluções simples Estabilidade em misturas Factores que afectam a sua estabilidade Compatibilidade Método de administração Bibliografía pdf
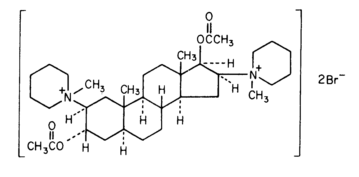
   estrutura química  

Nomes comerciais nos diversos países   Nomes comerciais nos diversos países     

OS NOMES COMERCIAIS SÃO INDICATIVOS E OS EXCIPIENTES DA FORMULAÇÃO PODEM SER DIFERENTES CONFORME O PAÍS E FABRICANTE.

Pancuronium bromide injection Canadá, Estados Unidos de América
Compatibilidade   injetável   Compatibilidade : Pancuronium bromide              
Este ecrã indica as compatibilidades ou incompatibilidades com, neste caso, o tipo de incompatibilidade (precipitação, mudança de cor, modificação de uma emulsão, etc.). As compatibilidades mostradas aqui são principalmente físicas, com a estabilidade química de cada molécula raramente sendo avaliada. A avaliação dessas misturas foi estudada para considerar a possibilidade de administração do local Y ao paciente. Estes dados não podem ser usados para fazer misturas antecipadamente em sacos ou seringas. Este tipo de informação está disponível na tela “Estabilidade na mistura».
molécula Solvente Bibliografia
Compatível
injetável Pancuronium bromide 0.05 mg/ml
injetável Aminophylline 1 mg/ml
Glucose 5% 402
Compatível
injetável Pancuronium bromide 0.05 mg/ml
injetável Cefazolin sodium 10 mg/ml
Glucose 5% 402
Compatível
injetável Pancuronium bromide 0.05 mg/ml
injetável Cefuroxime sodium 7.5 mg/ml
Glucose 5% 402
Compatível
injetável Pancuronium bromide 0.05 mg/ml
injetável Cimetidine hydrochloride 6 mg/ml
Glucose 5% 402
Compatível
injetável Pancuronium bromide 0.2 mg/ml
injetável Ciprofloxacin lactate 2 mg/ml
Glucose 5% 285
Compatível
injetável Pancuronium bromide 0.05 mg/ml
injetável Co-trimoxazole 3.2/0.64 mg/ml
Glucose 5% 402
Compatível
injetável Pancuronium bromide
injetável Dexmedetomidine
5042
Precipitação imediata Incompatível
injetável Pancuronium bromide 0.05 mg/ml
injetável Diazepam 5 mg/ml
Glucose 5% 402
Compatível
injetável Pancuronium bromide 0.05 mg/ml
injetável Dobutamine hydrochloride 1 mg/ml
Glucose 5% 402
Compatível
injetável Pancuronium bromide 0.05 mg/ml
injetável Dopamine hydrochloride 1.6 mg/ml
Glucose 5% 402
Compatível
injetável Pancuronium bromide 0.05 mg/ml
injetável Epinephrine hydrochloride 4 µg/ml
Glucose 5% 402
Compatível
injetável Pancuronium bromide 0.05 mg/ml
injetável Esmolol hydrochloride 10 mg/ml
Glucose 5% 402
Turvação imediata Incompatível
injetável Pancuronium bromide
injetável Etomidate
5011
Compatível
injetável Pancuronium bromide 2 mg/ml
injetável Etomidate 2 mg/ml
nenhum 319
Compatível
injetável Pancuronium bromide 0.1 mg/ml
injetável Fenoldopam mesylate 80 µg/ml
cloreto de sódio 0,9% 1803
Compatível
injetável Pancuronium bromide 0.05 mg/ml
injetável Fentanyl citrate 10 µg/ml
Glucose 5% 402
Compatível
injetável Pancuronium bromide 0,5 mg/ml
injetável Fluconazole 2 mg/ml
cloreto de sódio 0,9% 255
Compatível
injetável Pancuronium bromide 0.05 mg/ml
injetável Gentamicin sulfate 2 mg/ml
Glucose 5% 402
Compatível
injetável Pancuronium bromide 0.05 mg/ml
injetável Heparin sodium 40 UI/ml
Glucose 5% 402
Compatível
injetável Pancuronium bromide 0.05 mg/ml
injetável Hydrocortisone sodium succinate 1 mg/ml
Glucose 5% 402
Compatível
injetável Pancuronium bromide
Glucose 5% 755
Compatível
injetável Pancuronium bromide
Ringer lactato 755
Compatível
injetável Pancuronium bromide 0.1 mg/ml
injetável Hetastarch 60 mg/ml
solvente específico 1721
Compatível
injetável Pancuronium bromide 0.05 mg/ml
injetável Isoprenaline hydrochloride 0.004 mg/ml
Glucose 5% 402
Compatível
injetável Pancuronium bromide 2 mg/ml
injetável Ketamine hydrochloride 50 mg/ml
2109
Compatível
injetável Pancuronium bromide 1 mg/ml
injetável Levofloxacine 5 mg/ml
Glucose 5% 1072
Compatível
injetável Pancuronium bromide 0.05 mg/ml
injetável Lorazepam 0.5 mg/ml
Glucose 5% 402
Compatível
injetável Pancuronium bromide 0.05 mg/ml
injetável Midazolam hydrochloride 0.05 mg/ml
Glucose 5% 402
Compatível
injetável Pancuronium bromide 2 mg/ml
injetável Milrinone lactate 0.8 mg/ml
Glucose 5% 813
Compatível
injetável Pancuronium bromide 0.05 mg/ml
injetável Morphine sulfate 1 mg/ml
Glucose 5% 402
Compatível
injetável Pancuronium bromide 2 mg/ml
injetável Naloxone hydrochloride 0.4 mg/ml
nenhum 3408
Compatível
injetável Pancuronium bromide 0.05 mg/ml
injetável Nitroglycerin 0.4 mg/ml
Glucose 5% 402
Compatível
injetável Pancuronium bromide 0.05 mg/ml
injetável Nitroprusside sodium 0.2 mg/ml
Glucose 5% 402
Compatível
injetável Pancuronium bromide 0.1 mg/ml
injetável Oritavancin 0.8 >>2 mg/ml
Glucose 5% 3152
Precipitação imediata Incompatível
injetável Pancuronium bromide
injetável Pantoprazole sodium
2090
Compatível
injetável Pancuronium bromide 1 mg/ml
injetável Propofol 10 mg/ml
nenhum 300
Instabilidade da emulsão após 4 horas Incompatível
injetável Pancuronium bromide 1 mg/ml
injetável Propofol
660
Compatível
injetável Pancuronium bromide 2 mg/ml
injetável Propofol 2 mg/ml
nenhum 319
Compatível
injetável Pancuronium bromide 0.05 mg/ml
injetável Ranitidine hydrochloride 0.5 mg/ml
Glucose 5% 402
Precipitação imediata Incompatível
injetável Pancuronium bromide 2 mg/ml
injetável Salbutamol sulfate 1 mg/ml
nenhum 3216
Precipitação imediata Incompatível
injetável Pancuronium bromide
injetável Thiopental sodium
2079
Precipitação imediata Incompatível
injetável Pancuronium bromide 2 mg/ml
injetável Thiopental sodium 25 mg/ml
cloreto de sódio 0,9% 3767
Precipitação imediata Incompatível
injetável Pancuronium bromide 2 mg/ml
injetável Thiopental sodium 25 mg/ml
Agua para injectaveis 319
Compatível
injetável Pancuronium bromide 0.008 mg/ml
injetável Verapamil hydrochloride 0.08 mg/ml
Glucose 5% 1057
Compatível
injetável Pancuronium bromide
cloreto de sódio 0,9% 755
Incompatibilidade não especificada Incompatível
injetável Pancuronium bromide
injetável Thiopental sodium
755
Compatível
injetável Pancuronium bromide 0.05 mg/ml
injetável Vancomycin hydrochloride 5 mg/ml
Glucose 5% 402
Compatível
injetável Pancuronium bromide 0.008 mg/ml
injetável Verapamil hydrochloride 0.08 mg/ml
cloreto de sódio 0,9% 1057

  Mentions Légales